Can TEMPO-Oxidized Cellulose Nanofibers Be Used as Additives in Bio-Based Building Materials? A Preliminary Study on Earth Plasters
Abstract
1. Introduction
2. Experimental
2.1. Materials
2.1.1. Cellulose-Based Additives
Cellulose Sources
Preliminary Cellulose Sources Characterization
CNF Production Processes
2.1.2. Raw Earths
2.2. Sample Preparation
2.3. Adhesion Tests
2.4. Capillary Water Absorption
3. Results and Discussion
3.1. Cellulose-Based Additives Characterization
3.2. Raw Earths Characterization
3.3. Earth-Based Plasters
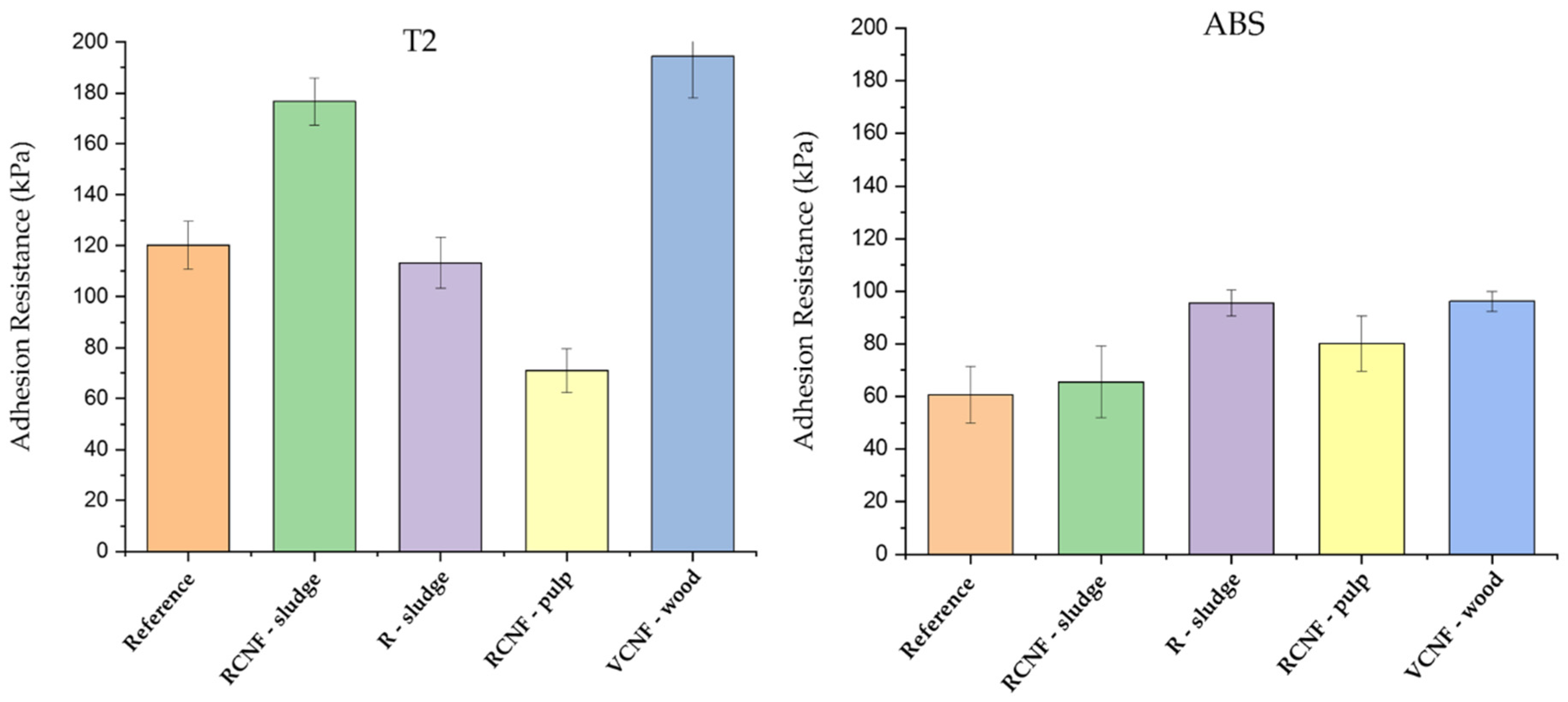
3.3.1. The Adhesion Test
3.3.2. Capillary Absorption Test
4. Conclusions
Supplementary Materials
Author Contributions
Funding
Institutional Review Board Statement
Informed Consent Statement
Data Availability Statement
Conflicts of Interest
References
- Hamilton, I.; Rapf, O. Executive Summary of the 2020 Global Status Report for Buildings and Construction; Global Alliance for Buildings and Construction: Paris, France, 2020; pp. 1–7. [Google Scholar]
- Greenhouse Gas Emissions from Energy Use in Buildings in Europe; European Environmental Agency: Copenaghen, Denmark; Available online: https://www.eea.europa.eu/ims/greenhouse-gas-emissions-from-energy (accessed on 1 December 2022).
- IPCC Working Group III contribution to the Sixth Assessment Report of the Intergovernmental Panel on Climate Change. In Mitigation of Climate Change Summary for Policymakers (SPM); Cambridge University Press: Cambridge, UK, 2022; ISBN 9781107415416.
- Melià, P.; Ruggieri, G.; Sabbadini, S.; Dotelli, G. Environmental impacts of natural and conventional building materials: A case study on earth plasters. J. Clean. Prod. 2014, 80, 179–186. [Google Scholar] [CrossRef]
- Arduin, D.; Caldas, L.R.; Paiva, R.d.L.M.; Rocha, F. Life Cycle Assessment (LCA) in Earth Construction: A Systematic Literature Review Considering Five Construction Techniques. Sustainability 2022, 14, 3228. [Google Scholar] [CrossRef]
- Ventura, A.; Ouellet-Plamondon, C.; Röck, M.; Hecht, T.; Roy, V.; Higuera, P.; Lecompte, T.; Faria, P.; Hamard, E.; Morel, J.C.; et al. Environmental potential of earth-based building materials: Key facts and issues from a life cycle assessment perspective. In RILEM State-of-the-Art Reports; Springer: Cham, Switzerland, 2022. [Google Scholar]
- Lima, J.; Faria, P. Eco-efficient earthen plasters: The influence of the addition of natural fibers. In Natural Fibres: Advances in Science and Technology Towards Industrial Applications; RILEM Bookseries; Springer: Dordrecht, The Netherlands, 2016; Volume 12, pp. 315–327. [Google Scholar] [CrossRef]
- Imanzadeh, S.; Hibouche, A.; Jarno, A.; Taibi, S. Formulating and optimizing the compressive strength of a raw earth concrete by mixture design. Constr. Build. Mater. 2018, 163, 149–159. [Google Scholar] [CrossRef]
- Zak, P.; Ashour, T.; Korjenic, A.; Korjenic, S.; Wu, W. The influence of natural reinforcement fibers, gypsum and cement on compressive strength of earth bricks materials. Constr. Build. Mater. 2016, 106, 179–188. [Google Scholar] [CrossRef]
- Paiva, R.d.L.M.; Caldas, L.R.; Martins, A.P.d.S.; Toledo Filho, R.D. Potentiality of earth-based mortar containing bamboo particles for GHG emissions reduction. Constr. Build. Mater. 2022, 317, 125971. [Google Scholar] [CrossRef]
- Arrigoni, A.; Grillet, A.C.; Pelosato, R.; Dotelli, G.; Beckett, C.T.S.; Woloszyn, M.; Ciancio, D. Reduction of rammed earth’s hygroscopic performance under stabilisation: An experimental investigation. Build. Environ. 2017, 115, 358–367. [Google Scholar] [CrossRef]
- AL-Rawas, A.A. State-of-the-Art-Review of Collapsible Soils. Sultan Qaboos Univ. J. Sci. 2000, 5, 115. [Google Scholar] [CrossRef]
- Minke, G. Building with Earth: Design and Technology of a Sustainable Architecture; De Gruyter: Berlin, Germany, 2012; ISBN 978-3034608220. [Google Scholar]
- Minke, G. Building with Earth: Design and Technology of a Sustainable Architecture; Birkhäuser, Publishers for Architecture: Basel, Switzerland; Berlin, Germany; Boston, MA, USA, 2006; ISBN 978-3-7643-7477-8. [Google Scholar]
- Losini, A.E.; Grillet, A.C.; Bellotto, M.; Woloszyn, M.; Dotelli, G. Natural additives and biopolymers for raw earth construction stabilization—A review. Constr. Build. Mater. 2021, 304, 124507. [Google Scholar] [CrossRef]
- Pedergnana, M.; Elias-Ozkan, S.T. Impact of various sands and fibres on the physical and mechanical properties of earth mortars for plasters and renders. Constr. Build. Mater. 2021, 308, 125013. [Google Scholar] [CrossRef]
- Santos, T.; Faria, P.; Santos Silva, A. Eco-efficient earth plasters: The effect of sand grading and additions on fresh and mechanical properties. J. Build. Eng. 2021, 33, 101591. [Google Scholar] [CrossRef]
- Lagouin, M.; Aubert, J.E.; Laborel-Préneron, A.; Magniont, C. Influence of chemical, mineralogical and geotechnical characteristics of soil on earthen plaster properties. Constr. Build. Mater. 2021, 304, 124339. [Google Scholar] [CrossRef]
- Santos, T.; Faria, P.; Gomes, M.I. Earth, gypsum and cement-based plasters contribution to indoor comfort and health. In Proceedings of the 3rd RILEM Spring Convention and Conference (RSCC2020), Guimarães, Portugal, 9–14 March 2020; RILEM Bookseries. Springer: Cham, Switzerland, 2021; Volume 32, pp. 105–117, ISBN 978-3-030-76546-0. [Google Scholar]
- Parracha, J.L.; Pereira, A.S.; Velez da Silva, R.; Silva, V.; Faria, P. Effect of innovative bioproducts on the performance of bioformulated earthen plasters. Constr. Build. Mater. 2021, 277, 122261. [Google Scholar] [CrossRef]
- Klemm, D.; Heublein, B.; Fink, H.P.; Bohn, A. Cellulose: Fascinating biopolymer and sustainable raw material. Angew. Chem. Int. Ed. 2005, 44, 3358–3393. [Google Scholar] [CrossRef] [PubMed]
- Dufresne, A. Nanocellulose: From Nature to high Performance Tailored Materials, 2nd ed.; De Gruyter Mouton: Berlin, Germany, 2012; ISBN 9783110254600. [Google Scholar]
- Usov, I.; Nyström, G.; Adamcik, J.; Handschin, S.; Schütz, C.; Fall, A.; Bergström, L.; Mezzenga, R. Understanding nanocellulose chirality and structure-properties relationship at the single fibril level. Nat. Commun. 2015, 6, 7564. [Google Scholar] [CrossRef] [PubMed]
- Reid, M.S.; Villalobos, M.; Cranston, E.D. Benchmarking Cellulose Nanocrystals: From the Laboratory to Industrial Production. Langmuir 2017, 33, 1583–1598. [Google Scholar] [CrossRef]
- Li, F.; Mascheroni, E.; Piergiovanni, L. The potential of nanocellulose in the packaging field: A review. Packag. Technol. Sci. 2015, 28, 475–508. [Google Scholar] [CrossRef]
- Li, J.; Zhang, F.; Zhong, Y.; Zhao, Y.; Gao, P.; Tian, F.; Zhang, X.; Zhou, R.; Cullen, P.J. Emerging Food Packaging Applications of Cellulose Nanocomposites: A Review. Polymers 2022, 14, 4025. [Google Scholar] [CrossRef]
- Salama, A.; Abouzeid, R.; Leong, W.S.; Jeevanandam, J.; Samyn, P.; Dufresne, A.; Bechelany, M.; Barhoum, A. Nanocellulose-based materials for water treatment: Adsorption, photocatalytic degradation, disinfection, antifouling, and nanofiltration. Nanomaterials 2021, 11, 3008. [Google Scholar] [CrossRef]
- Wang, D. A critical review of cellulose-based nanomaterials for water purification in industrial processes. Cellulose 2019, 26, 687–701. [Google Scholar] [CrossRef]
- Ngwabebhoh, F.A.; Yildiz, U. Nature-derived fibrous nanomaterial toward biomedicine and environmental remediation: Today’s state and future prospects. J. Appl. Polym. Sci. 2019, 136, 1–21. [Google Scholar] [CrossRef]
- Corsi, I.; Fiorati, A.; Grassi, G.; Bartolozzi, I.; Daddi, T.; Melone, L.; Punta, C. Environmentally sustainable and ecosafe polysaccharide-based materials for water nano-treatment: An eco-design study. Materials 2018, 11, 1228. [Google Scholar] [CrossRef] [PubMed]
- Lippi, M.; Riva, L.; Caruso, M.; Punta, C. Cellulose for the Production of Air-Filtering Systems: A Critical Review. Materials 2022, 15, 976. [Google Scholar] [CrossRef]
- Calle-Gil, R.; Castillo-Martínez, E.; Carretero-González, J. Cellulose Nanocrystals in Sustainable Energy Systems. Adv. Sustain. Syst. 2022, 6, 2100395. [Google Scholar] [CrossRef]
- Ahmed, A.; Adak, B.; Faruk, M.O.; Mukhopadhyay, S. Nanocellulose Coupled 2D Graphene Nanostructures: Emerging Paradigm for Sustainable Functional Applications. Ind. Eng. Chem. Res. 2021, 60, 10882–10916. [Google Scholar] [CrossRef]
- Mejdoub, R.; Hammi, H.; Suñol, J.J.; Khitouni, M.; M‘nif, A.; Boufi, S. Nanofibrillated cellulose as nanoreinforcement in Portland cement: Thermal, mechanical and microstructural properties. J. Compos. Mater. 2017, 51, 2491–2503. [Google Scholar] [CrossRef]
- Fu, T.; Moon, R.J.; Zavattieri, P.; Youngblood, J.; Weiss, W.J. Cellulose nanomaterials as additives for cementitious materials. In Cellulose-Reinforced Nanofibre Composites: Production, Properties and Applications; Elsevier Ltd.: Amsterdam, The Netherlands, 2017; ISBN 9780081009659. [Google Scholar]
- Jiao, L.; Su, M.; Chen, L.; Wang, Y.; Zhu, H.; Dai, H. Natural cellulose nanofibers as sustainable enhancers in construction cement. PLoS ONE 2016, 11, e0168422. [Google Scholar] [CrossRef]
- Moon, R.J.; Martini, A.; Nairn, J.; Simonsen, J.; Youngblood, J. Cellulose nanomaterials review: Structure, properties and nanocomposites. Chem. Soc. Rev. 2011, 40, 3941–3994. [Google Scholar] [CrossRef]
- Ez-zaki, H.; Riva, L.; Bellotto, M.; Valentini, L.; Garbin, E.; Punta, C.; Artioli, G. Influence of cellulose nanofibrils on the rheology, microstructure and strength of alkali activated ground granulated blast-furnace slag: A comparison with ordinary Portland cement. Mater. Struct. Constr. 2021, 54, 23. [Google Scholar] [CrossRef]
- Camargo, M.M.; Taye, E.A.; Roether, J.A.; Redda, D.T.; Boccaccini, A.R. A review on natural fiber-reinforced geopolymer and cement-based composites. Materials 2020, 13, 4603. [Google Scholar] [CrossRef]
- Stanislas, T.T.; Tendo, J.F.; Teixeira, R.S.; Ojo, E.B.; Komadja, G.C.; Kadivar, M.; Junior, H.S. Effect of cellulose pulp fibres on the physical, mechanical, and thermal performance of extruded earth-based materials. J. Build. Eng. 2021, 39, 102259. [Google Scholar] [CrossRef]
- Stanislas, T.T.; Komadja, G.C.; Ngasoh, O.F.; Obianyo, I.I.; Tendo, J.F.; Onwualu, P.A.; Junior, H.S. Performance and Durability of Cellulose Pulp-Reinforced Extruded Earth-based Composites. Arab. J. Sci. Eng. 2021, 46, 11153–11164. [Google Scholar] [CrossRef]
- Stanislas, T.T.; Komadja, G.C.; Nafu, Y.R.; Mahamat, A.A.; Mejouyo, P.W.H.; Tendo, J.F.; Njeugna, E.; Onwualu, P.A.; Junior, H.S. Potential of raffia nanofibrillated cellulose as a reinforcement in extruded earth-based materials. Case Stud. Constr. Mater. 2022, 16, e00926. [Google Scholar] [CrossRef]
- Takahashi, H.; Omori, S.; Asada, H.; Fukawa, H.; Gotoh, Y.; Morikawa, Y. Mechanical properties of cement-treated soil mixed with cellulose nanofibre. Appl. Sci. 2021, 11, 6425. [Google Scholar] [CrossRef]
- Pierre, G.; Punta, C.; Delattre, C.; Melone, L.; Dubessay, P.; Fiorati, A.; Pastori, N.; Galante, Y.M.; Michaud, P. TEMPO-mediated oxidation of polysaccharides: An ongoing story. Carbohydr. Polym. 2017, 165, 71–85. [Google Scholar] [CrossRef] [PubMed]
- Filipova, I.; Serra, F.; Tarrés, Q.; Mutjé, P.; Delgado-Aguilar, M. Oxidative treatments for cellulose nanofibers production: A comparative study between TEMPO-mediated and ammonium persulfate oxidation. Cellulose 2020, 27, 10671–10688. [Google Scholar] [CrossRef]
- Gallo Stampino, P.; Riva, L.; Punta, C.; Elegir, G.; Bussini, D.; Dotelli, G. Comparative Life Cycle Assessment of Cellulose Nanofibres Production Routes from Virgin and Recycled Raw Materials. Molecules 2021, 26, 2558. [Google Scholar] [CrossRef]
- ISO 5267-1:2002; Method—Schopper-Riegler Method. ISO: Geneva, Switzerland, 2002. Available online: https://www.iso.org (accessed on 1 December 2022).
- ISO 1762:2019; Paper, Board and Pulps—Determination of Residue (ash) on Ignition at 525 Degrees C. ISO: Geneva, Switzerland, 2019. Available online: https://www.iso.org (accessed on 1 December 2022).
- ISO 14453:2014; Pulps—Determination of Acetone-Soluble Matter. ISO: Geneva, Switzerland, 2014. Available online: https://www.iso.org (accessed on 1 December 2022).
- ISO 21436:2020; Pulps—Determination of Lignin Content—Acid Hydrolysis Method. ISO: Geneva, Switzerland, 2020. Available online: https://www.iso.org (accessed on 1 December 2022).
- ISO 5264-2:2011; Pulps—Laboratory Beating—Part 2: PFI Mill Method. ISO: Geneva, Switzerland, 2011. Available online: https://www.iso.org (accessed on 1 December 2022).
- Isogai, A.; Saito, T.; Fukuzumi, H. TEMPO-oxidized cellulose nanofibers. Nanoscale 2011, 3, 71–85. [Google Scholar] [CrossRef]
- Carrasco, F.; Mutjé, P.; Pèlach, M.A. Refining of bleached cellulosic pulps: Characterization by application of the colloidal titration technique. Wood Sci. Technol. 1996, 30, 227–236. [Google Scholar] [CrossRef]
- Pääkko, M.; Ankerfors, M.; Kosonen, H.; Nykänen, A.; Ahola, S.; Österberg, M.; Ruokolainen, J.; Laine, J.; Larsson, P.T.; Ikkala, O.; et al. Enzymatic hydrolysis combined with mechanical shearing and high-pressure homogenization for nanoscale cellulose fibrils and strong gels. Biomacromolecules 2007, 8, 1934–1941. [Google Scholar] [CrossRef]
- Segal, L.; Creely, J.J.; Martin, A.E.; Conrad, C.M. An Empirical Method for Estimating the Degree of Crystallinity of Native Cellulose Using the X-Ray Diffractometer. Text. Res. J. 1959, 29, 786–794. [Google Scholar] [CrossRef]
- Ruangudomsakul, W.; Ruksakulpiwat, C.; Ruksakulpiwat, Y. Preparation and characterization of cellulose nanofibers from cassava pulp. Macromol. Symp. 2015, 354, 170–176. [Google Scholar] [CrossRef]
- ISO 17892-4:2016; Geotechnical Investigation and Testing—Laboratory Testing of Soil—Part 4: Determination of Particle Size Distribution. ISO: Geneva, Switzerland, 2016. Available online: https://www.iso.org (accessed on 1 December 2022).
- ISO 17892-12:2018/Amd 1:2021; Geotechnical Investigation and Testing—Laboratory Testing of Soil—Part 12: Determination of Liquid and Plastic Limits—Amendment 1. ISO: Geneva, Switzerland, 2018. Available online: https://www.iso.org (accessed on 1 December 2022).
- Profex—Open Source XRD and Rietveld Refinement. Available online: https://profex.doebelin.org (accessed on 1 December 2022).
- Doebelin, N.; Kleeberg, R. Profex: A graphical user interface for the Rietveld refinement program BGMN. J. Appl. Crystallogr. 2015, 48, 1573–1580. [Google Scholar] [CrossRef] [PubMed]
- Toby, B.H.; Von Dreele, R.B. GSAS-II: The genesis of a modern open-source all purpose crystallography software package. J. Appl. Crystallogr. 2013, 46, 1058–1063. [Google Scholar] [CrossRef]
- Bish, D.L.; Howard, S.A. Quantitative phase analysis using the Rietveld method. J. Appl. Crystallogr. 1988, 21, 86–91. [Google Scholar] [CrossRef]
- Faria, P.; Lima, J.; Nabais, J.; Silva, V. Assessment of adhesive strength of an earth plaster on different substrates through different methods. In Proceedings of the 5th Historic Mortars Conference HMC2019, Pamplona, Spain, 19–21 June 2019. [Google Scholar]
- UNI CEN ISO/TS 17892-1:2005; Indagini e Prove Geotecniche—Prove di Laboratorio sui Terreni—Parte 1: Determinazione del Contenuto in Acqua. UNI: Milano, Italy, 2005. Available online: www.uni.com (accessed on 1 December 2022).
- EN 15801:2009; Conservation of cultural Property—Test Methods—Determination of Water Absorption by Capillarity. European Standard: Pilsen, Czech Republic, 2009. Available online: https://www.en-standard.eu/ (accessed on 1 December 2022).
- Lima, J.; Faria, P.; Santos Silva, A. Earth Plasters: The Influence of Clay Mineralogy in the Plasters’ Properties. Int. J. Archit. Herit. 2020, 14, 948–963. [Google Scholar] [CrossRef]
- Gomes, M.I.; Faria, P.; Diaz Goncalves, T. Characterization of tunnel excavated earth-based mortars for rammed earth repair. In Earth Construction & Tradition; Feiglstorfer, H., Ed.; IVA–ICRA—Institute for Comparative Research in Architecture: Vienna, Austria, 2016; Volume 1. [Google Scholar]
- Poletto, M.; Ornaghi Júnior, H.L.; Zattera, A.J. Native cellulose: Structure, characterization and thermal properties. Materials 2014, 7, 6105–6119. [Google Scholar] [CrossRef]
- Yang, H.; Yan, R.; Chen, H.; Zheng, C.; Lee, D.H.; Liang, D.T. In-depth investigation of biomass pyrolysis based on three major components: Hemicellulose, cellulose and lignin. Energy Fuels 2006, 20, 388–393. [Google Scholar] [CrossRef]
- Werner, K.; Pommer, L.; Broström, M. Thermal decomposition of hemicelluloses. J. Anal. Appl. Pyrolysis 2014, 110, 130–137. [Google Scholar] [CrossRef]
- Burhenne, L.; Messmer, J.; Aicher, T.; Laborie, M.P. The effect of the biomass components lignin, cellulose and hemicellulose on TGA and fixed bed pyrolysis. J. Anal. Appl. Pyrolysis 2013, 101, 177–184. [Google Scholar] [CrossRef]
- EN 1015-1:1998+A1:2006; Methods of Test for Mortar for Masonry—Part 1: Determination of Particle Size Distribution (by Sieve Analysis). European Standard: Pilsen, Czech Republic, 2007. Available online: https://www.en-standard.eu/ (accessed on 1 December 2022).
- Santos, T.; Faria, P.; Silva, V. Can an earth plaster be efficient when applied on different masonries? J. Build. Eng. 2019, 23, 314–323. [Google Scholar] [CrossRef]
- Gomes, M.I.; Faria, P.; Gonçalves, T.D. Earth-based mortars for repair and protection of rammed earth walls. Stabilization with mineral binders and fibers. J. Clean. Prod. 2018, 172, 2401–2414. [Google Scholar] [CrossRef]









| Cellulose Source | Category | Fiber Length (mm) |
|---|---|---|
| V-wood | Virgin | 1–4 |
| R-pulp | Waste | 1–2 |
| R-sludge | Waste | 0.5–1 |
| Sample | Earth/Sand Ratio w/w | Water %w/wdry | Additive %w/wdry |
|---|---|---|---|
| T2 reference | 1:4 | 0.18 | - |
| T2 RCNF-sludge | 1:4 | 0.18 | 0.1 |
| T2 R-sludge | 1:4 | 0.18 | 0.1 |
| T2 RCNF-pulp | 1:4 | 0.18 | 0.1 |
| T2 VCNF-wood | 1:4 | 0.18 | 0.1 |
| ABS reference | 1:3 | 0.16 | - |
| ABS RCNF-sludge | 1:3 | 0.16 | 0.1 |
| ABS R-sludge | 1:3 | 0.16 | 0.1 |
| ABS RCNF-pulp | 1:3 | 0.16 | 0.1 |
| ABS VCNF-wood | 1:3 | 0.16 | 0.1 |
| Cellulose-Based Additive | Ash Content [%] | Extractives Content [%] | Lignin Content [%] | Holocellulose Content [%] |
|---|---|---|---|---|
| V-wood | <1 | <1 | <1 | 98 |
| R-pulp | 18 | 1 | 14 | 67 |
| R-sludge | 3 | 4 | 23 | 70 |
| Cellulose-Based Additive | Reaction Yield [%] | Oxidation Rate [mmolCOOH/gTOCNF] |
|---|---|---|
| VCNF-wood | 95 | 0.498 |
| RCNF-pulp | 62 | 0.330 |
| RCNF-sludge | 69 | 1.004 |
| T2 | ABS | |
|---|---|---|
| Clay (%) | 22 | 36 |
| Silt (%) | 68 | 44 |
| Sand (%) | 10 | 20 |
| d50 (mm) | 0.009 | 0.012 |
| d90 (mm) | 0.052 | 0.110 |
| Water Content | 3.50 | 3.08 |
| Liquid Limit (%) | 54 | 45 |
| Plastic Limit (%) | 15 | 30 |
| Plasticity index (%) | 39 | 15 |
| Activity Index | 1.86 | 0.42 |
| Shrinkage Limit | 9.5 | 13.7 |
| Specific Gravity | 2.77 | 2.78 |
| Earth | Quartz (%) | Smectite (%) | Illite (%) | Kaolin (%) | Chlorite (%) | Microcline (%) | Albite (%) | Amorph. (%) |
|---|---|---|---|---|---|---|---|---|
| T2 | 36.9 | 9.8 | 15.9 | 5.4 | 4.8 | 4.9 | 4.9 | 16.6 |
| ABS | 32.5 | 8.9 | 10.9 | - | 3.7 | 5.3 | 3.1 | 35.6 |
Disclaimer/Publisher’s Note: The statements, opinions and data contained in all publications are solely those of the individual author(s) and contributor(s) and not of MDPI and/or the editor(s). MDPI and/or the editor(s) disclaim responsibility for any injury to people or property resulting from any ideas, methods, instructions or products referred to in the content. |
© 2022 by the authors. Licensee MDPI, Basel, Switzerland. This article is an open access article distributed under the terms and conditions of the Creative Commons Attribution (CC BY) license (https://creativecommons.org/licenses/by/4.0/).
Share and Cite
Gallo Stampino, P.; Riva, L.; Caruso, M.; Rahman, I.A.; Elegir, G.; Bussini, D.; Marti-Rujas, J.; Dotelli, G.; Punta, C. Can TEMPO-Oxidized Cellulose Nanofibers Be Used as Additives in Bio-Based Building Materials? A Preliminary Study on Earth Plasters. Materials 2023, 16, 74. https://doi.org/10.3390/ma16010074
Gallo Stampino P, Riva L, Caruso M, Rahman IA, Elegir G, Bussini D, Marti-Rujas J, Dotelli G, Punta C. Can TEMPO-Oxidized Cellulose Nanofibers Be Used as Additives in Bio-Based Building Materials? A Preliminary Study on Earth Plasters. Materials. 2023; 16(1):74. https://doi.org/10.3390/ma16010074
Chicago/Turabian StyleGallo Stampino, Paola, Laura Riva, Marco Caruso, Imran Abdul Rahman, Graziano Elegir, Daniele Bussini, Javier Marti-Rujas, Giovanni Dotelli, and Carlo Punta. 2023. "Can TEMPO-Oxidized Cellulose Nanofibers Be Used as Additives in Bio-Based Building Materials? A Preliminary Study on Earth Plasters" Materials 16, no. 1: 74. https://doi.org/10.3390/ma16010074
APA StyleGallo Stampino, P., Riva, L., Caruso, M., Rahman, I. A., Elegir, G., Bussini, D., Marti-Rujas, J., Dotelli, G., & Punta, C. (2023). Can TEMPO-Oxidized Cellulose Nanofibers Be Used as Additives in Bio-Based Building Materials? A Preliminary Study on Earth Plasters. Materials, 16(1), 74. https://doi.org/10.3390/ma16010074

