ACTAS: A New Framework for Mechanical and Frictional Characterization in Axisymmetric Compression Test
Abstract
1. Introduction
2. Problem Overview and the Current Common Solutions
2.1. Cylindrical Profile Model
2.2. Avitzur Model
2.3. The Connection between Cylindrical Profile and Avitzur Models
3. Solving the Nonuniformity Problem
- dividing the sample into any desired number of zones,
- conditionally moving the zones’ boundaries,
- simulating the nonlinear material behavior, and
- simulating the discontinuities and singularities occurring after the onset of the foldover by handling the creation, distortion, and destruction of nodes.
4. Mathematical Implementation of ACTAS
4.1. Total Power Dissipation and Deformation Load
4.2. ACT Simulator
- (i)
- an admissible velocity field and the conditions for dynamically defining its internal boundaries (if exist),
- (ii)
- the geometrical domain of the initial sample in its pre-deformed shape, represented by field nodes,
- (iii)
- the ram speed U, which can be a constant or a function of other available variables,
- (iv)
- the initial distributions of the state variables of the defined constitutive law, such as stress and strain,
- (v)
- the constitutive law,
- (vi)
- the constant friction factor m,
- (vii)
- either the time step size or the number of increments N, and
- (viii)
- the conditions for stopping the test, e.g., assigning a final height.
4.3. ACT Analyzer
- (v)
- the load-displacement curve, and
- (vi)
- some geometry measurements of the sample at different time steps.
4.3.1. Step 1: Estimating the Average Stress ()
4.3.2. Step 2: Estimating the Friction Factor ()
4.3.3. Step 3: Updating the Average Stress ()
5. Materials and Methods
6. Creating a Virtual Laboratory Using ACTAS
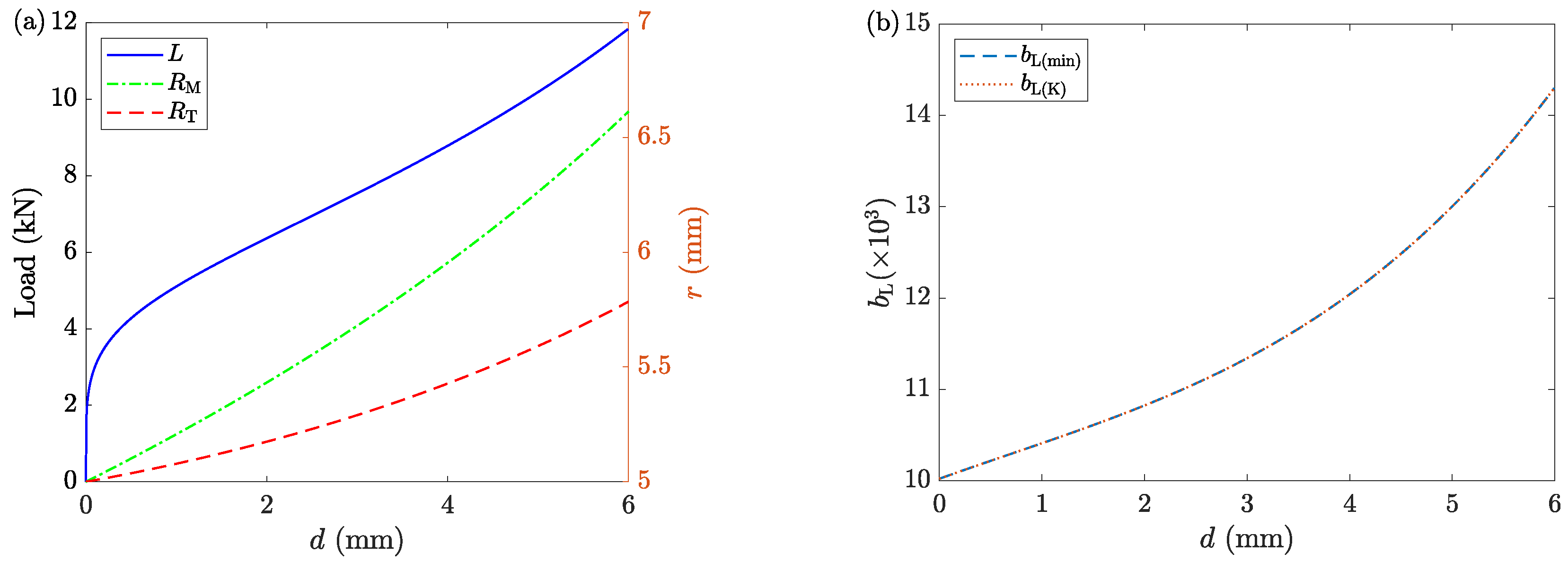
6.1. Case 1: A One-Zone Sample
6.1.1. Velocity Field
6.1.2. ACT Simulator
6.1.3. ACT Analyzer
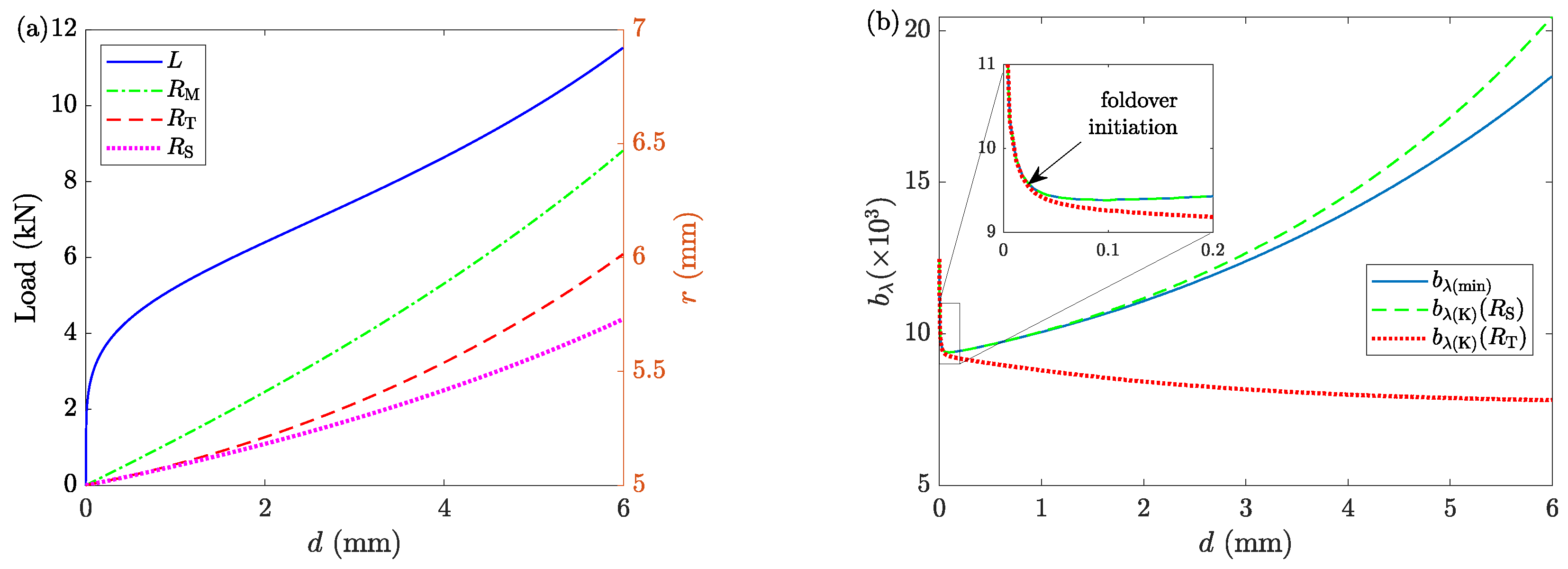
6.2. Case 2: Capturing the Foldover of the Side Surface
6.2.1. Velocity Field
6.2.2. ACT Simulator
6.2.3. ACT Analyzer
7. Benchmarking ACTAS against FEM Virtual Experiments
7.1. ACT Simulator
7.2. ACT Analyzer
8. Results and Discussion
8.1. Average Stress
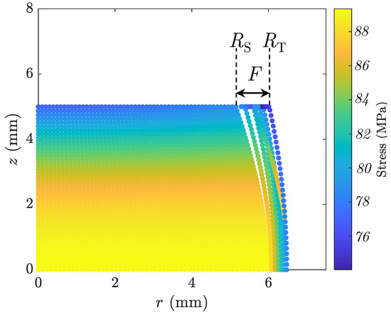
8.2. Stress Distribution throughout the Sample
8.3. Strain Distributions
8.4. Flow Behavior at the Center of the Sample
8.5. Friction Factor
9. Summary and Conclusions
- To employ the ACTA module, closed-form solutions for the unknowns of the model must be available, e.g., the barreling parameters of the velocity fields. Due to the formulation of VFs, the derivation of the closed-form solutions may not be trivial or possible. Instead, one can use kinematics of the VF to estimate the solution of its unknowns; see, e.g., Equation (19).
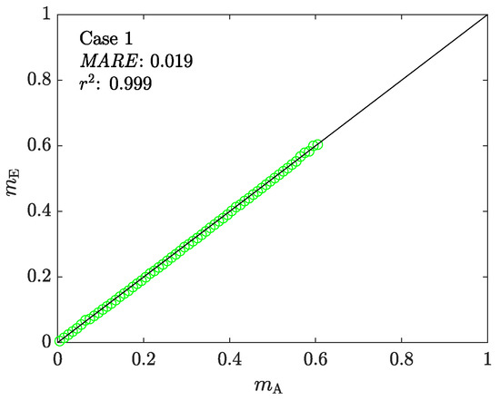
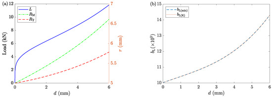
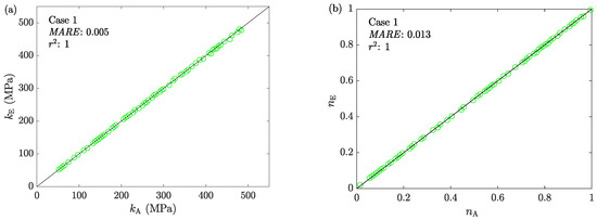
- As the first step in building a virtual laboratory based on ACTAS, a one-zone VF (LAKT) [33,34] is used. The setup is selected such that the percentage volume change error becomes a negligible value of . In this setup, ACTA correctly estimates all samples’ constitutive behavior and friction factors for , which is found to be the upper limit of LAKT to meaningfully model ACT.
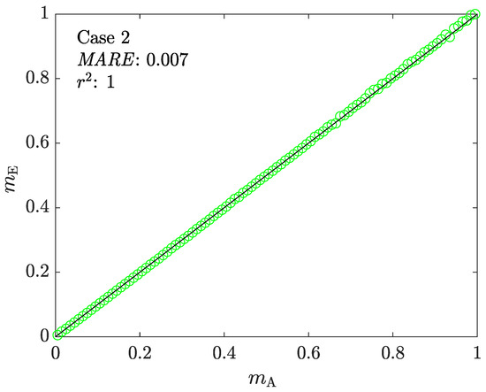
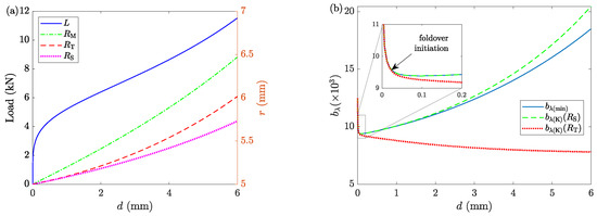
- Due to the incapability of LAKT in modeling the foldover phenomenon, an extension of it is proposed; see Section 6.2 for the details. By implementing the newly proposed two-zone velocity field, the ACTA module obtains accurate results for the full range of .
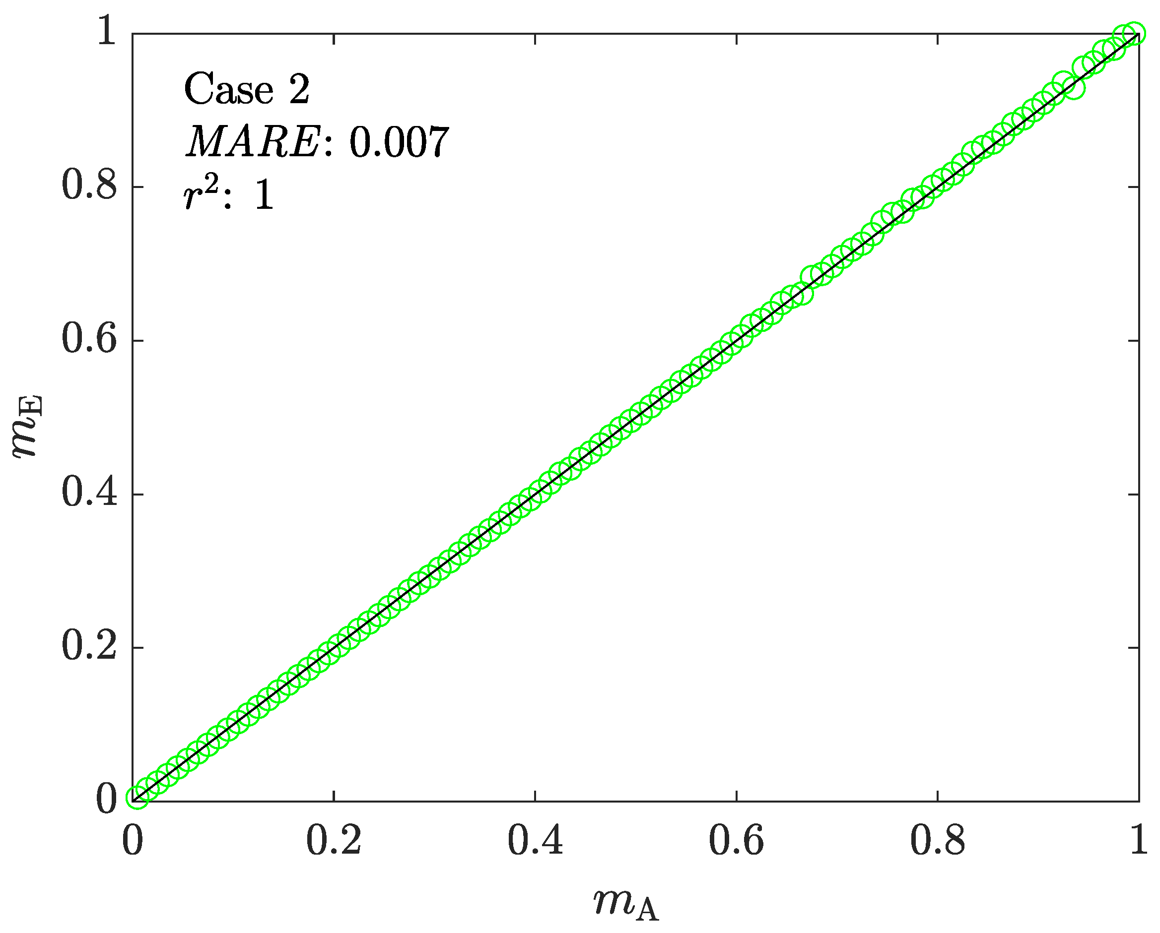
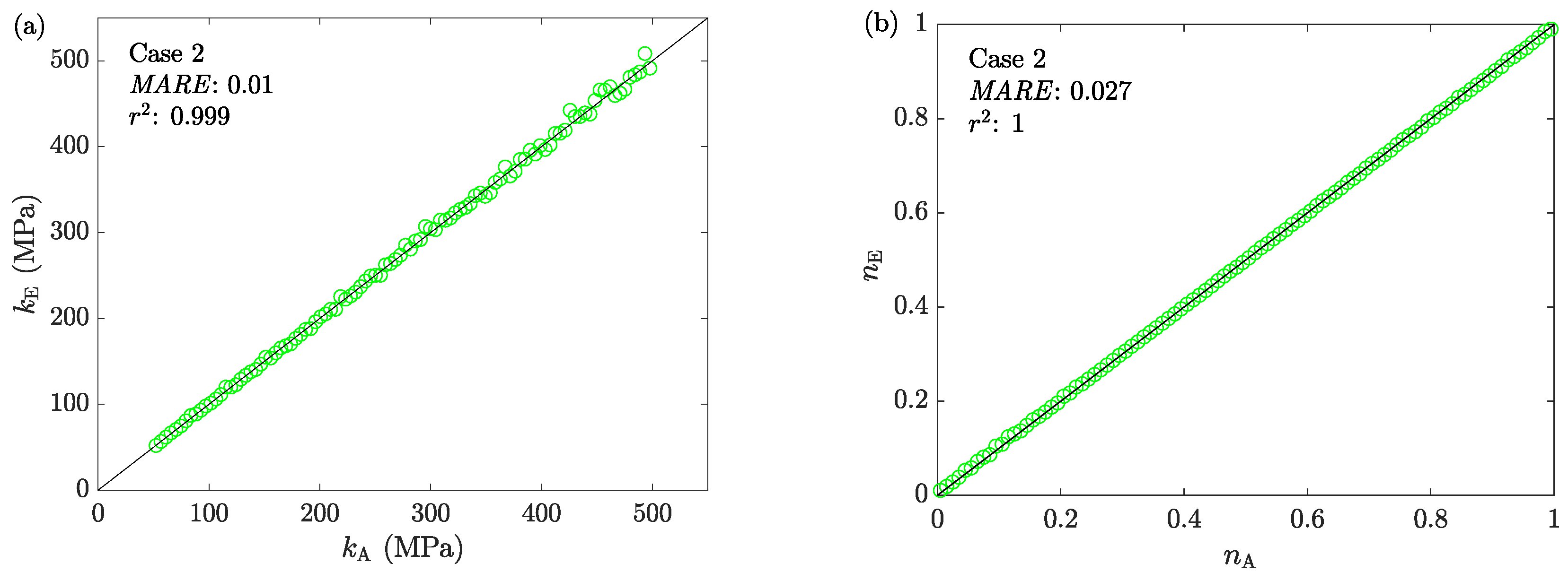
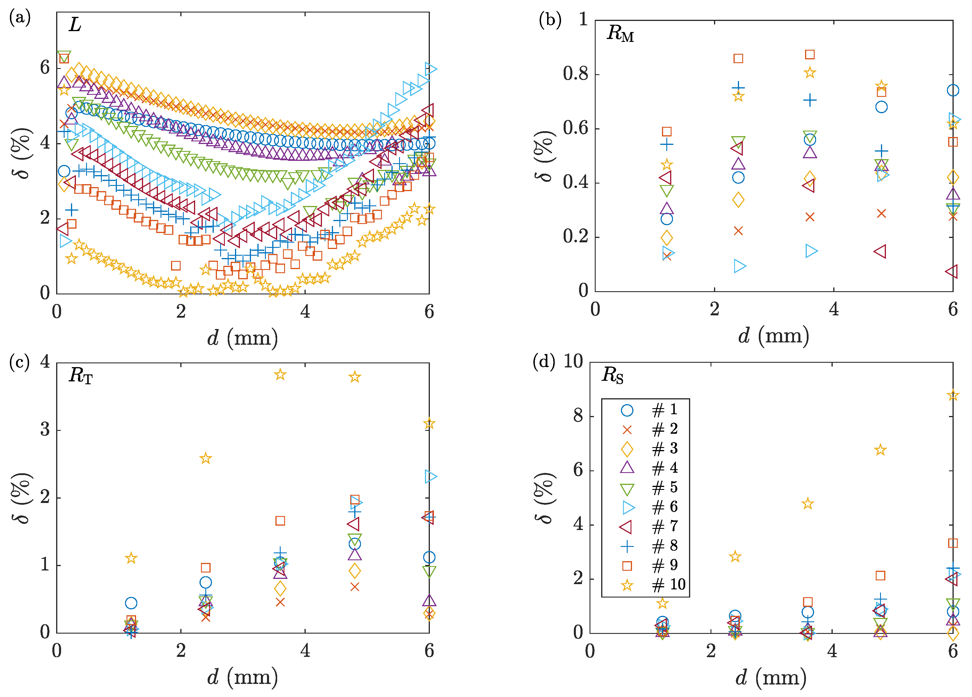
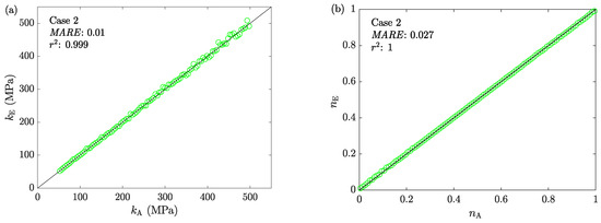
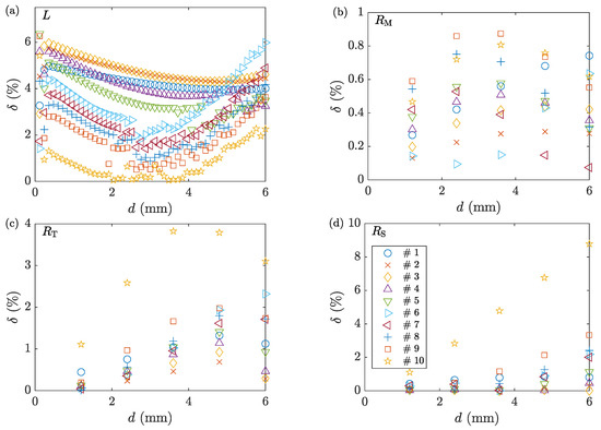
- ACTAS is benchmarked against ten reference solutions obtained from FEM-based experiments (Table 1). The ACTS module shows low percentage errors for the deformation load () and geometrical measurements (Figure 13). The ACTA module accurately estimated the average stress-strain curves for all samples.
- Investigating the pointwise stress-strain curves at the center of the samples between ACTAS and FE models, ACTAS provides improved results compared to those of the conventional methods. Moreover, ACTAS results in no false identification of peak stress, misleading to interpretations about the onset of dynamic recrystallization.
- This paper also addresses the shortcoming of employing the CPM without a priori knowledge of friction. As a solution, the Avitzur model is coupled with the CPM (called A-CPM) and is represented as:with and being the barreling parameter of the Avitzur model, which can be estimated by geometrical measurements of the sample via, e.g., Equation (A2); see Appendix A for the details.
- Comparing the solutions of A-CPM and FE models, it is found that A-CPM can be used to accurately identify the friction-free average stress-strain curves regardless of the severity of friction.
- Because the solutions of A-CPM are almost identical to those of the Avitzur model (Figure 2), it infers the high accuracy of the Avitzur model in estimating the average stress-strain curves.
- The unreliability of the Avitzur model for estimating friction factor is confirmed once more, aligned with previous investigations.
- For microstructural analyses, the study is usually focused on the center of the sample, where the flow curve may differ from the average one. For such studies, the analyses of A-CPM should be considered with extra care, as it underestimates both the stress and the strain values. It may even provide misleading results regarding the onset of dynamic recrystallization.
Funding
Data Availability Statement
Conflicts of Interest
Abbreviations
| ACT | Axisymmetric Compression Test |
| ACTAS | ACT Analyzer and Simulator (the framework proposed in this work) |
| ACTS | Simulator module of ACTAS |
| ACTA | Analyzer module of ACTAS |
| CPM | Cylindrical Profile Model |
| A-CPM | The coupled version of the Avitzor and the Cylindrical Profile models |
| VF | Velocity Field |
| LAKT | Lee and Altan version of the VF proposed by Kobayashi and Thomsen [33,34] |
| LHS | Latin Hypercube Sampling |
Appendix A. Effects of bA on A-CPM


References
- Khoddam, S.; Solhjoo, S.; Hodgson, P.D. State of the art methods to post-process mechanical test data to characterize the hot deformation behavior of metals. Adv. Mech. Eng. 2021, 13, 16878140211061026. [Google Scholar] [CrossRef]
- Shirgaokar, M. Flow Stress and Forgeability. In Cold and Hot Forging: Fundamentals and Applications; ASM International: Materials Park, OH, USA, 2005. [Google Scholar] [CrossRef]
- Siviour, C.R.; Walley, S.M. Inertial and Frictional Effects in Dynamic Compression Testing. In The Kolsky-Hopkinson Bar Machine: Selected Topics; Othman, R., Ed.; Springer: Cham, Switzerland, 2018; pp. 205–247. [Google Scholar] [CrossRef]
- Rastegaev, M. New Method of Homogeneous Upsetting of Specimens for Determining the Flow Stress and the Coefficients of Inner Friction. Zavodszkaja Lab. 1940, 6, 354–355. [Google Scholar]
- Nádai, A. Theory of Flow and Fracture of Solids; McGraw-Hill: New York, NY, USA, 1950. [Google Scholar]
- Chen, J.; Guan, Z.; Xing, J.; Gao, D.; Ren, M. A novel method to determine full-range hardening curve for metal bar using hyperbolic shaped compression specimen. J. Mater. Res. Technol. 2020, 9, 2704–2716. [Google Scholar] [CrossRef]
- El-Aguizy, T.; Plante, J.S.; Slocum, A.H.; Vogan, J.D. Frictionless compression testing using load-applying platens made from porous graphite aerostatic bearings. Rev. Sci. Instruments 2005, 76, 075108. [Google Scholar] [CrossRef]
- Khoddam, S.; Mirzakhani, B.; Sapanathan, T. Critical Evaluation of Identified Flow Curves Using Homogeneous and Heterogeneous Solutions for Compression Test. Exp. Mech. 2022, 62, 929–942. [Google Scholar] [CrossRef]
- Avitzur, B. Limit analysis of disc and strip forging. Int. J. Mach. Tool Des. Res. 1969, 9, 165–195. [Google Scholar] [CrossRef]
- Ebrahimi, R.; Najafizadeh, A. A new method for evaluation of friction in bulk metal forming. J. Mater. Process. Technol. 2004, 152, 136–143. [Google Scholar] [CrossRef]
- Solhjoo, S. A note on “Barrel Compression Test”: A method for evaluation of friction. Comput. Mater. Sci. 2010, 49, 435–438. [Google Scholar] [CrossRef]
- Solhjoo, S.; Khoddam, S. Evaluation of barreling and friction in uniaxial compression test: A kinematic analysis. Int. J. Mech. Sci. 2019, 156, 486–493. [Google Scholar] [CrossRef]
- Yao, Z.; Mei, D.; Shen, H.; Chen, Z. A Friction Evaluation Method Based on Barrel Compression Test. Tribol. Lett. 2013, 51, 525–535. [Google Scholar] [CrossRef]
- Khoddam, S.; Hodgson, P.D. Advancing mechanics of Barrelling Compression Test. Mech. Mater. 2018, 122, 1–8. [Google Scholar] [CrossRef]
- Khoddam, S.; Solhjoo, S.; Hodgson, P.D. A power-based approach to assess the barrelling test’s weak solution. Int. J. Mech. Sci. 2019, 161–162, 105033. [Google Scholar] [CrossRef]
- Vuppala, A.; Krämer, A.; Lohmar, J.; Hirt, G. FepiM: A Novel Inverse Piecewise Method to Determine Isothermal Flow Curves for Hot Working. Metals 2021, 11, 602. [Google Scholar] [CrossRef]
- Khoddam, S.; Fardi, M.; Solhjoo, S. A verified solution of friction factor in compression test based on its sample’s shape changes. Int. J. Mech. Sci. 2021, 193, 106175. [Google Scholar] [CrossRef]
- Khoddam, S. Deformation under combined compression and shear: A new kinematic solution. J. Mater. Sci. 2019, 54, 4754–4765. [Google Scholar] [CrossRef]
- Yang, J.; Yu, L.; Wang, L.; Wang, W.; Cui, J. The estimation method of friction in unconfined compression tests of liver tissue. Proc. Inst. Mech. Eng. Part H J. Eng. Med. 2018, 232, 573–587. [Google Scholar] [CrossRef]
- Ettouney, O.M.; Stelson, K.A. An Approximate Model to Calculate Foldover and Strains During Cold Upsetting of Cylinders Part I: Formulation and Evaluation of the Foldover Model. J. Eng. Ind. 1990, 112, 260–266. [Google Scholar] [CrossRef]
- Ettouney, O.M.; Stelson, K.A. An Approximate Model to Calculate Foldover and Strains During Cold Upsetting of Cylinders Part II: Use of the Foldover Model to Estimate Friction. J. Eng. Ind. 1990, 112, 267–271. [Google Scholar] [CrossRef]
- Avitzur, B.; Kohser, R.A. Disk and strip forging with side-surface foldover. 1. Velocity-field and upper-bound analysis. J. Eng. Ind.-Trans. Asme 1978, 100, 421–427. [Google Scholar] [CrossRef]
- Kohser, R.A.; Avitzur, B. Disk and strip forging with side surface foldover. 2. Evaluation of upper-bound solutions. J. Eng. Ind.-Trans. Asme 1978, 100, 428–433. [Google Scholar] [CrossRef]
- Groen, M.; Solhjoo, S.; Voncken, R.; Post, J.; Vakis, A. FlexMM: A standard method for material descriptions in FEM. Adv. Eng. Softw. 2020, 148, 102876. [Google Scholar] [CrossRef]
- Dadras, P.; Thomas, J. Analysis of axisymmetric upsetting based on flow pattern observations. Int. J. Mech. Sci. 1983, 25, 421–427. [Google Scholar] [CrossRef]
- Hou, J.; Stahlberg, U.; Keife, H. Bulging and folding-over in plane-strain upset forging. J. Mater. Process. Technol. 1992, 35, 199–212. [Google Scholar] [CrossRef]
- Shirgaokar, M. Methods of Analysis for Forging Operations. In Cold and Hot Forging: Fundamentals and Applications; ASM International: Materials Park, OH, USA, 2005. [Google Scholar] [CrossRef]
- Solhjoo, S. Evaluation of coefficient of friction in bulk metal forming. arXiv 2014. [Google Scholar] [CrossRef]
- Lagarias, J.C.; Reeds, J.A.; Wright, M.H.; Wright, P.E. Convergence Properties of the Nelder–Mead Simplex Method in Low Dimensions. SIAM J. Optim. 1998, 9, 112–147. [Google Scholar] [CrossRef]
- Nelder, J.A.; Mead, R. A Simplex Method for Function Minimization. Comput. J. 1965, 7, 308–313. [Google Scholar] [CrossRef]
- Hollomon, J.H. Tensile deformation. Trans. Metall. Soc. AIME 1945, 12, 268–290. [Google Scholar]
- Solhjoo, S. Revisiting the Common Practice of Sellars and Tegart’s Hyperbolic Sine Constitutive Model. Modelling 2022, 3, 359–373. [Google Scholar] [CrossRef]
- Kobayashi, S.; Thomsen, E.G. Upper- and lower-bound solutions to axisymmetric compression and extrusion problems. Int. J. Mech. Sci. 1965, 7, 127–143. [Google Scholar] [CrossRef]
- Lee, C.H.; Altan, T. Influence of Flow Stress and Friction Upon Metal Flow in Upset Forging of Rings and Cylinders. J. Eng. Ind. 1972, 94, 775–782. [Google Scholar] [CrossRef]



















| Sample | m | k (MPa) | n |
|---|---|---|---|
| 1 | 0.05 | 388 | 0.05 |
| 2 | 0.15 | 433 | 0.75 |
| 3 | 0.25 | 343 | 0.95 |
| 4 | 0.35 | 163 | 0.65 |
| 5 | 0.45 | 298 | 0.55 |
| 6 | 0.55 | 253 | 0.15 |
| 7 | 0.65 | 73 | 0.25 |
| 8 | 0.75 | 478 | 0.35 |
| 9 | 0.85 | 208 | 0.45 |
| 10 | 0.95 | 118 | 0.85 |
| Sample | FEM | ACTS | ACTA | A-CPM | |||
|---|---|---|---|---|---|---|---|
| 1 | 377 | 374 | (0.8) | 370 | (1.9) | 374 | (0.8) |
| 2 | 265 | 260 | (1.9) | 250 | (5.7) | 246 | (7.2) |
| 3 | 188 | 184 | (2.1) | 178 | (5.3) | 167 | (11.2) |
| 4 | 116 | 110 | (5.2) | 108 | (6.9) | 100 | (13.8) |
| 5 | 232 | 220 | (5.2) | 218 | (6.0) | 197 | (15.1) |
| 6 | 248 | 237 | (4.4) | 239 | (3.6) | 226 | (8.9) |
| 7 | 69 | 66 | (4.9) | 66 | (4.9) | 60 | (13.5) |
| 8 | 438 | 411 | (6.2) | 419 | (4.3) | 367 | (16.2) |
| 9 | 183 | 172 | (6.0) | 177 | (3.3) | 148 | (19.1) |
| 10 | 84 | 78 | (7.4) | 83 | (1.4) | 62 | (26.4) |
| Sample | FEM | ACTS | ACTA | A-CPM | ||
|---|---|---|---|---|---|---|
| 1 | 0.57 | 0.49 | (14.0) | 0.50 | (12.3) | (17.4) |
| 2 | 0.52 | 0.51 | (2.6) | 0.50 | (3.6) | (9.5) |
| 3 | 0.53 | 0.52 | (2.4) | 0.52 | (3.0) | (11.7) |
| 4 | 0.59 | 0.55 | (7.2) | 0.54 | (8.1) | (20.3) |
| 5 | 0.64 | 0.58 | (9.7) | 0.57 | (11.3) | (26.4) |
| 6 | 0.82 | 0.65 | (20.5) | 0.64 | (21.5) | (42.7) |
| 7 | 0.82 | 0.65 | (19.8) | 0.64 | (22.1) | (42.5) |
| 8 | 0.78 | 0.66 | (15.8) | 0.64 | (17.9) | (39.7) |
| 9 | 0.75 | 0.65 | (12.9) | 0.65 | (13.2) | (37.5) |
| 10 | 0.67 | 0.61 | (8.5) | 0.62 | (7.7) | (30.1) |
| Sample | 1 | 2 | 3 | 4 | 5 | 6 | 7 | 8 | 9 | 10 |
|---|---|---|---|---|---|---|---|---|---|---|
| 0.05 | 0.15 | 0.25 | 0.35 | 0.45 | 0.55 | 0.65 | 0.75 | 0.85 | 0.95 | |
| 0.07 | 0.13 | 0.22 | 0.31 | 0.41 | 0.54 | 0.58 | 0.68 | 0.85 | 1.00 | |
| 0.04 | 0.04 | 0.05 | 0.08 | 0.11 | 0.21 | 0.19 | 0.19 | 0.19 | 0.17 |
Disclaimer/Publisher’s Note: The statements, opinions and data contained in all publications are solely those of the individual author(s) and contributor(s) and not of MDPI and/or the editor(s). MDPI and/or the editor(s) disclaim responsibility for any injury to people or property resulting from any ideas, methods, instructions or products referred to in the content. |
© 2023 by the author. Licensee MDPI, Basel, Switzerland. This article is an open access article distributed under the terms and conditions of the Creative Commons Attribution (CC BY) license (https://creativecommons.org/licenses/by/4.0/).
Share and Cite
Solhjoo, S. ACTAS: A New Framework for Mechanical and Frictional Characterization in Axisymmetric Compression Test. Materials 2023, 16, 441. https://doi.org/10.3390/ma16010441
Solhjoo S. ACTAS: A New Framework for Mechanical and Frictional Characterization in Axisymmetric Compression Test. Materials. 2023; 16(1):441. https://doi.org/10.3390/ma16010441
Chicago/Turabian StyleSolhjoo, Soheil. 2023. "ACTAS: A New Framework for Mechanical and Frictional Characterization in Axisymmetric Compression Test" Materials 16, no. 1: 441. https://doi.org/10.3390/ma16010441
APA StyleSolhjoo, S. (2023). ACTAS: A New Framework for Mechanical and Frictional Characterization in Axisymmetric Compression Test. Materials, 16(1), 441. https://doi.org/10.3390/ma16010441

