Experimental Investigation and Optimization of Rough EDM of High-Thermal-Conductivity Tool Steel with a Thin-Walled Electrode
Abstract
1. Introduction
2. Materials and Methods
- S—slot width after processing,
- h—slot depth after processing,
- l—slot length after processing,
- ∆t—a time of manufacturing.
3. Results and Discussion
3.1. Analysis of Tool Wear Electrode
3.2. Response Surface Methodology
3.3. Multi Response Optimization
4. Conclusions
- The carbon deposition of the dielectric causes diffusion of carbon to the electrode surface. In the analyzed case of rough-slot EDM of HTCS, the diffusion of carbon to the graphite electrode was uneven over the face length. The analysis of registered current voltage waveforms during manufacturing with graphite electrode pointed out occurs as a result of unstable discharges, arcing and short circuit discharges, which lead to increase in wear of the graphite electrode. However, the diffusion of carbon on the copper electrode provided an additional thermal barrier which reduced electrode wear;
- Re-solidified on the sidewall of electrode material, decrease the distance in the gap between the side wall electrode and slot cavity. The probability of occurrence of electrical discharges at the side of the electrode and workpieces grows. Furthermore, this can lead to an increase in the slot width of the manufacturing cavity;
- Discharge current has the main contribution on the surface roughness Ra, slot width S, MRR, and TW during rough-slot EDM with a thin-walled electrode followed by pulse-on-time;
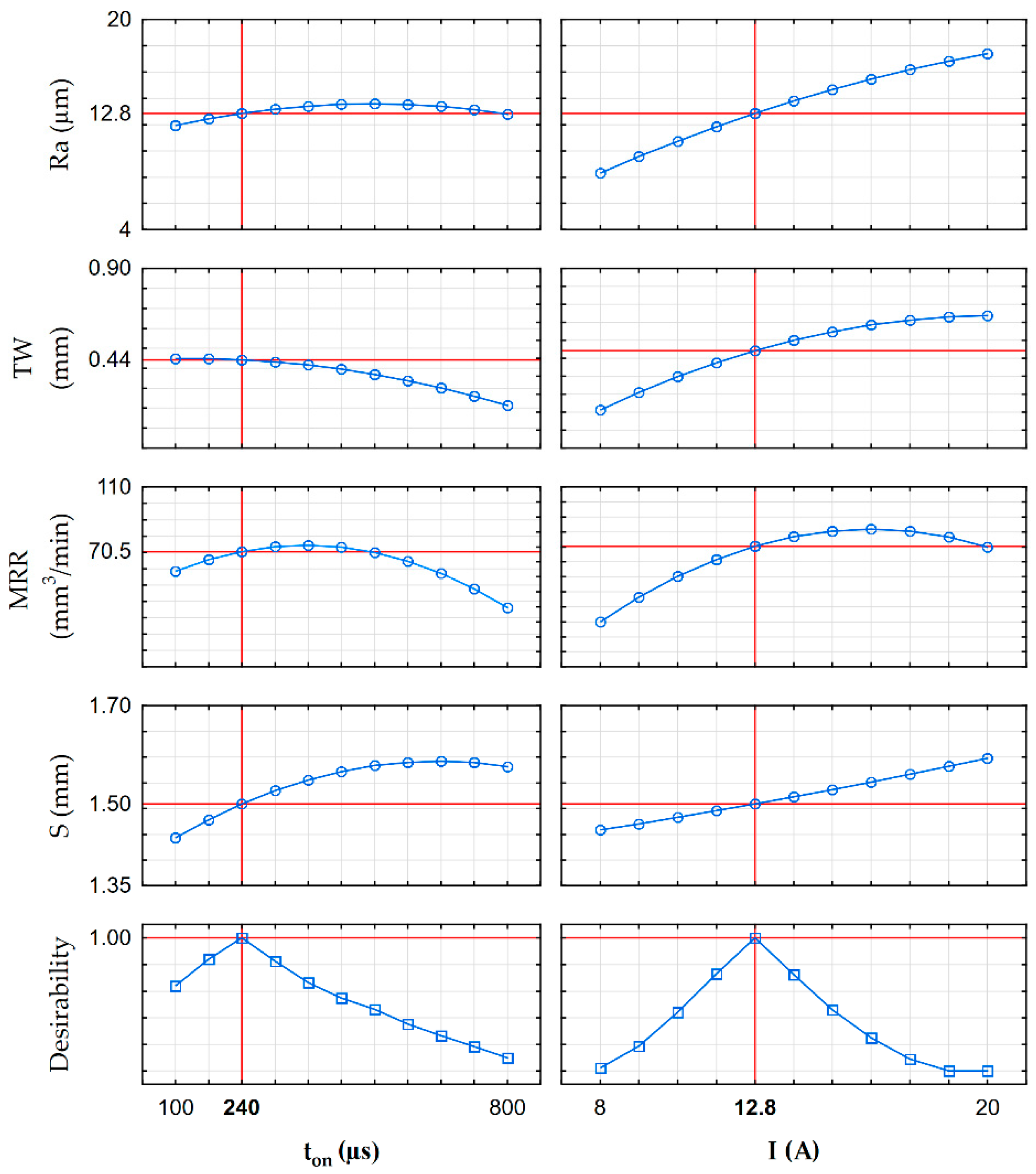
- The global Derringer’s desirability was performed to establish optimal parameters for rough-slot EDM in HTCS. Validation results of multi-response optimization indicate that errors between predictions and experimental results do not exceed 7%;
- The developed predictive models based on regression equations for the rough slotting of highly conductive tool steel can be applied in the build of technological tables of the investigated process and can be applied in modern EDM machines.
Author Contributions
Funding
Institutional Review Board Statement
Informed Consent Statement
Data Availability Statement
Conflicts of Interest
References
- Murray, J.W.; Sun, J.; Patil, D.V.; Wood, T.A.; Clare, A.T. Physical and Electrical Characteristics of EDM Debris. J. Mater. Process. Technol. 2016, 229, 54–60. [Google Scholar] [CrossRef]
- Kumar, R.; Singh, I. Productivity Improvement of Micro EDM Process by Improvised Tool. Precis. Eng. 2018, 51, 529–535. [Google Scholar] [CrossRef]
- Nadda, R.; Nirala, C.K. Thermal Modeling of Single Discharge in Prospect of Tool Wear Compensation in Mu EDM. Int. J. Adv. Manuf. Technol. 2020, 107, 4573–4595. [Google Scholar] [CrossRef]
- Ahmed, N.; Ishfaq, K.; Rafaqat, M.; Pervaiz, S.; Anwar, S.; Salah, B. EDM of Ti-6Al-4V: Electrode and Polarity Selection for Minimum Tool Wear Rate and Overcut. Mater. Manuf. Process. 2019, 34, 769–778. [Google Scholar] [CrossRef]
- Xu, B.; Guo, K.; Zhu, L.; Wu, X.; Lei, J. Applying Foil Queue Microelectrode with Tapered Structure in Micro-EDM to Eliminate the Step Effect on the 3D Microstructure’s Surface. Micromachines 2020, 11, 335. [Google Scholar] [CrossRef]
- Xing, Q.; Gao, X.; Zhang, Q. Effects of Processing Parameters on Electrode Loss of Micro-EDM Milling with Spiral Electrode. Int. J. Adv. Manuf. Technol. 2022, 121, 4011–4021. [Google Scholar] [CrossRef]
- Świercz, R.; Oniszczuk-Świercz, D.; Dąbrowski, L. Electrical Discharge Machining of Difficult to Cut Materials. Arch. Mech. Eng. 2018, 65, 461–476. [Google Scholar] [CrossRef]
- Singh, R.; Singh, R.P.; Trehan, R. Surface Integrity and Accuracy Based Aspects in EDM of Cu-Based SMA: An Experimental Investigation with Microstructural Analysis. Adv. Mater. Process. Technol. 2022, 1–14. [Google Scholar] [CrossRef]
- Burek, J.; Babiarz, R.; Buk, J.; Sułkowicz, P.; Krupa, K. The Accuracy of Finishing WEDM of Inconel 718 Turbine Disc Fir Tree Slots. Materials 2021, 14, 562. [Google Scholar] [CrossRef]
- Chaudhari, R.; Khanna, S.; Vora, J.; Patel, V.K.; Paneliya, S.; Pimenov, D.Y.; Giasin, K.; Wojciechowski, S. Experimental Investigations and Optimization of MWCNTs-Mixed WEDM Process Parameters of Nitinol Shape Memory Alloy. J. Mater. Res. Technol. 2021, 15, 2152–2169. [Google Scholar] [CrossRef]
- Nowicki, R.; Świercz, R.; Oniszczuk-Świercz, D.; Rozenek, M. Experimental Investigation of Technological Indicators and Surface Roughness of Hastelloy C-22 after Electrical Discharge Machining Using POCO Graphite Electrodes. Materials 2022, 15, 5631. [Google Scholar] [CrossRef]
- Kiran, P.; Mohanty, S.; Das, A.K. Surface Modification through Sustainable Micro-EDM Process Using Powder Mixed Bio-Dielectrics. Mater. Manuf. Process. 2022, 37, 640–651. [Google Scholar] [CrossRef]
- Joshi, A.Y.; Joshi, A.Y. A Systematic Review on Powder Mixed Electrical Discharge Machining. Heliyon 2019, 5, e02963. [Google Scholar] [CrossRef]
- Ishfaq, K.; Asad, M.; Harris, M.; Alfaify, A.; Anwar, S.; Lamberti, L.; Scutaru, M.L. EDM of Ti-6Al-4V under Nano-Graphene Mixed Dielectric: A Detailed Investigation on Axial and Radial Dimensional Overcuts. Nanomaterials 2022, 12, 432. [Google Scholar] [CrossRef]
- Li, S.L.; Mai, Y.J.; Huang, M.Y.; Jie, X.H. Anti-Wear Hierarchical TiC Enhanced Cermet Coating Obtained via Electrical Discharge Coating Using a Reduced Graphene Oxide Nanosheets Mixed Dielectric. Ceram. Int. 2020, 46, 11933–11942. [Google Scholar] [CrossRef]
- Spadło, S.; Młynarczyk, P. Selected Properties of the Micro Electrical Discharge Alloying Process Using Copper Electrode on Aluminum. Transp. Res. Procedia 2019, 40, 96–101. [Google Scholar] [CrossRef]
- Radziejewska, J.; Sarzyński, A.; Strzelec, M.; Diduszko, R.; Hoffman, J. Evaluation of Residual Stress and Adhesion of Ti and TiN PVD Films by Laser Spallation Technique. Opt. Laser Technol. 2018, 104, 140–147. [Google Scholar] [CrossRef]
- Chmielewski, T.; Siwek, P.; Chmielewski, M.; Piątkowska, A.; Grabias, A.; Golański, D. Structure and Selected Properties of Arc Sprayed Coatings Containing In-Situ Fabricated Fe-Al Intermetallic Phases. Metals 2018, 8, 1059. [Google Scholar] [CrossRef]
- Ma, Y.; Qu, N.; Yue, X.; Liu, Y. Electrochemical Discharge Machining Grooves without Recast Layer in 20 Wt% NaCl Solution. Int. J. Adv. Manuf. Technol. 2022, 121, 5413–5425. [Google Scholar] [CrossRef]
- Skoczypiec, S.; Lipiec, P.; Bizoń, W.; Wyszyński, D. Selected Aspects of Electrochemical Micromachining Technology Development. Materials 2021, 14, 2248. [Google Scholar] [CrossRef]
- Machno, M.; Franczyk, E.; Bogucki, R.; Matras, A.; Zębala, W. A Comparative Study on the Structure and Quality of SLM and Cast AISI 316L Samples Subjected to WEDM Processing. Materials 2022, 15, 701. [Google Scholar] [CrossRef] [PubMed]
- Sawicki, J.; Paczkowski, T. Electrochemical Machining of Curvilinear Surfaces of Revolution: Analysis, Modelling, and Process Control. Materials 2022, 15, 7751. [Google Scholar] [CrossRef]
- Grigoriev, S.N.; Kozochkin, M.P.; Porvatov, A.N.; Volosova, M.A.; Okunkova, A.A. Electrical Discharge Machining of Ceramic Nanocomposites: Sublimation Phenomena and Adaptive Control. Heliyon 2019, 5, e02629. [Google Scholar] [CrossRef]
- Qin, L.; Huo, W.; Li, Z.; Zhang, Y.; Xi, X.; Zhao, W. Study on Energy Distribution of Discharge Plasma and Its Effect on Crater Formation in EDM. Int. J. Adv. Manuf. Technol. 2022, 121, 5563–5585. [Google Scholar] [CrossRef]
- Żyra, A.; Bogucki, R.; Podolak-Lejtas, A.; Skoczypiec, S. Research on Influence of Heat Treatment Scheme of Ti10V2Fe3Al Alloy on Technological Surface Integrity after Electrodischarge Machining. J. Manuf. Process. 2021, 62, 47–57. [Google Scholar] [CrossRef]
- Straka, L.; Kuchta, P. Analysis of the Influence of Tool Electrode Wear on Surface Quality in Die-Sinking EDM Technology. MM Sci. J. 2021. [Google Scholar] [CrossRef]
- Roy, T.; Datta, D.; Balasubramaniam, R. Debris Based Discharge Segregation in Reverse Micro EDM. Measurement 2020, 153, 107433. [Google Scholar] [CrossRef]
- Świercz, R.; Oniszczuk-świercz, D. The Effects of Reduced Graphene Oxide Flakes in the Dielectric on Electrical Discharge Machining. Nanomaterials 2019, 9, 335. [Google Scholar] [CrossRef]
- Kitamura, T.; Kunieda, M.; Abe, K. Observation of Relationship between Bubbles and Discharge Locations in EDM Using Transparent Electrodes. Precis. Eng. 2015, 40, 26–32. [Google Scholar] [CrossRef]
- Wang, X.; Yi, S.; Guo, H.; Li, C.; Ding, S. Erosion Characteristics of Electrical Discharge Machining Using Graphene Powder in Deionized Water as Dielectric. Int. J. Adv. Manuf. Technol. 2020, 108, 357–368. [Google Scholar] [CrossRef]
- Yue, X.; Yang, X.; Kunieda, M. Influence of Metal Vapor Jets from Tool Electrode on Material Removal of Workpiece in EDM. Precis. Eng. 2018, 53, 278–288. [Google Scholar] [CrossRef]
- Kunieda, M.; Lauwers, B.; Rajurkar, K.P.; Schumacher, B.M. Advancing EDM through Fundamental Insight into the Process. CIRP Ann. 2005, 54, 64–87. [Google Scholar] [CrossRef]
- Maradia, U.; Boccadoro, M.; Stirnimann, J.; Kuster, F.; Wegener, K. Electrode Wear Protection Mechanism in Meso–Micro-EDM. J. Mater. Process. Technol. 2015, 223, 22–33. [Google Scholar] [CrossRef]
- Murray, J.; Zdebski, D.; Clare, A.T. Workpiece Debris Deposition on Tool Electrodes and Secondary Discharge Phenomena in Micro-EDM. J. Mater. Process. Technol. 2012, 212, 1537–1547. [Google Scholar] [CrossRef]
- Flaño, O.; Ayesta, I.; Izquierdo, B.; Sánchez, J.A.; Zhao, Y.; Kunieda, M. Improvement of EDM Performance in High-Aspect Ratio Slot Machining Using Multi-Holed Electrodes. Precis. Eng. 2018, 51, 223–231. [Google Scholar] [CrossRef]
- Ayesta, I.; Flaño, O.; Izquierdo, B.; Sanchez, J.A.; Plaza, S. Experimental Study on Debris Evacuation during Slot EDMing. Procedia CIRP 2016, 42, 6–11. [Google Scholar] [CrossRef]
- Klocke, F.; Schwade, M.; Klink, A.; Veselovac, D. Analysis of Material Removal Rate and Electrode Wear in Sinking EDM Roughing Strategies Using Different Graphite Grades. Procedia CIRP 2013, 6, 163–167. [Google Scholar] [CrossRef]
- D’Urso, G.; Giardini, C.; Quarto, M.; Maccarini, G. Cost Index Model for the Process Performance Optimization of Micro-EDM Drilling on Tungsten Carbide. Micromachines 2017, 8, 251. [Google Scholar] [CrossRef]
- Mathai, V.J.; Dave, H.K.; Desai, K.P. Experimental Investigations on EDM of Ti6Al4V with Planetary Tool Actuation. J. Braz. Soc. Mech. Sci. Eng. 2017, 39, 3467–3490. [Google Scholar] [CrossRef]
- Świercz, R.; Oniszczuk-Świercz, D. Experimental Investigation of Surface Layer Properties of High Thermal Conductivity Tool Steel after Electrical Discharge Machining. Metals 2017, 7, 550. [Google Scholar] [CrossRef]
- Davis, R.; Singh, A.; Singh, T.; Chhetri, S.; Sumi, V.V.; Zhimomi, A.P.; Mohapatra, S.D. Optimization of Input Control Variables in Electric Discharge Machining of Inconel-718. In Innovative Product Design and Intelligent Manufacturing Systems; Deepak, B., Parhi, D., Jena, P.C., Eds.; Springer: Berlin/Heidelberg, Germany, 2020; pp. 541–549. [Google Scholar] [CrossRef]
- Kulkarni, V.N.; Gaitonde, V.N.; Karnik, S.R.; Manjaiah, M.; Davim, J.P. Machinability Analysis and Optimization in Wire EDM of Medical Grade NiTiNOL Memory Alloy. Materials 2020, 13, 2184. [Google Scholar] [CrossRef] [PubMed]
- Machno, M. Investigation of the Machinability of the Inconel 718 Superalloy during the Electrical Discharge Drilling Process. Materials 2020, 13, 3392. [Google Scholar] [CrossRef] [PubMed]
- Nguyen, P.H.; Banh, T.L.; Mashood, K.A.; Tran, D.Q.; Dong Pham, V.; Muthuramalingam, T.; Duc Nguyen, V.; Nguyen, D.T. Application of TGRA-Based Optimisation for Machinability of High-Chromium Tool Steel in the EDM Process. Arab. J. Sci. Eng. 2020, 45, 5555–5562. [Google Scholar] [CrossRef]
- Van, D.-N.; Van, B.-P.; Huu, P.-N. Application of Deng’s Similarity-Based Analytic Hierarchy Process Approach in Parametric Optimization of the Electrical Discharge Machining Process of SDK11 Die Steel. Trans. Can. Soc. Mech. Eng. 2019, 44, 294–310. [Google Scholar] [CrossRef]
- Machno, M.; Matras, A.; Szkoda, M. Modelling and Analysis of the Effect of EDM-Drilling Parameters on the Machining Performance of Inconel 718 Using the RSM and ANNs Methods. Materials 2022, 15, 1152. [Google Scholar] [CrossRef]
- Vagaská, A.; Gombár, M.; Straka, Ľ. Selected Mathematical Optimization Methods for Solving Problems of Engineering Practice. Energies 2022, 15, 2205. [Google Scholar] [CrossRef]
- Dutta, S.; Sarma, D.K. Multi-Response Optimisation of Machining Parameters to Minimise the Overcut and Circularity Error during Micro-EDM of Nickel-Titanium Shape Memory Alloy. Adv. Mater. Process. Technol. 2022, 1–21. [Google Scholar] [CrossRef]
- Harane, P.P.; Wojciechowski, S.; Unune, D.R. Investigating the Effect of Different Tool Electrodes in Electric Discharge Drilling of Waspaloy on Process Responses. J. Mater. Res. Technol. 2022, 20, 2542–2557. [Google Scholar] [CrossRef]
- Lo, J.-S.; Deng, C.-S.; Jiang, C.-T.; Lu, C.-H. Slotted Electrodes for the Improvement of Machining Performances in EDM Drilling. J. Chin. Inst. Eng. 2019, 42, 401–410. [Google Scholar] [CrossRef]
- Zhang, R.-X.; Chen, M.; Li, Z.-L.; Xi, X.-C.; Zhang, Y.-O.; Zhao, W.-S. Influence of Electrode Feed Directions on EDM Machining Efficiency of Deep Narrow Slots. Int. J. Adv. Manuf. Technol. 2021, 117, 3415–3429. [Google Scholar] [CrossRef]
- Jia, Y.; Chi, G.; Li, W.; Wang, Z.; Cui, L. Influence of Wear Pattern of Graphite Electrode on EDM Geometric Accuracy of Slot Machining. Procedia CIRP 2020, 95, 408–413. [Google Scholar] [CrossRef]
- Mouralova, K.; Bednar, J.; Benes, L.; Plichta, T.; Prokes, T.; Fries, J. Production of Precision Slots in Copper Foil Using Micro EDM. Sci. Rep. 2022, 12, 5023. [Google Scholar] [CrossRef] [PubMed]
- Zhang, R.-X.; Chen, M.; Xi, X.-C.; Zhao, W.-S. Study on Dynamically Variable Attitude EDM Machining Method of Deep Narrow Slots. Int. J. Adv. Manuf. Technol. 2022, 121, 4601–4623. [Google Scholar] [CrossRef]
- Marafona, J. Black Layer Characterisation and Electrode Wear Ratio in Electrical Discharge Machining (EDM). J. Mater. Process. Technol. 2007, 184, 27–31. [Google Scholar] [CrossRef]
- Kunieda, M.; Kobayashi, T. Clarifying Mechanism of Determining Tool Electrode Wear Ratio in EDM Using Spectroscopic Measurement of Vapor Density. J. Mater. Process. Technol. 2004, 149, 284–288. [Google Scholar] [CrossRef]
- Wiessner, M.; Macedo, F.T.B.; Martendal, C.P.; Kuster, F.; Wegener, K. Fundamental Investigation of EDM Plasmas, Part I: A Comparison between Electric Discharges in Gaseous and Liquid Dielectric Media. Procedia CIRP 2018, 68, 330–335. [Google Scholar] [CrossRef]
- Orekhov, N.D.; Stegailov, V.V. Graphite Melting: Atomistic Kinetics Bridges Theory and Experiment. Carbon 2015, 87, 358–364. [Google Scholar] [CrossRef]
- Fomin, Y.D.; Brazhkin, V.V. Comparative Study of Melting of Graphite and Graphene. Carbon 2020, 157, 767–778. [Google Scholar] [CrossRef]
- Pandey, A.B.; Brahmankar, P.K. A Method to Predict Possibility of Arcing in EDM of TiB2p Reinforced Ferrous Matrix Composite. Int. J. Adv. Manuf. Technol. 2016, 86, 2837–2849. [Google Scholar] [CrossRef]
- Li, C.; Ge, P.; Bi, W.; Wang, Q. Experimental Investigations on Optimizing Manufacturing Parameters for Electrospark Deposition Diamond Wire Saw. Int. J. Adv. Manuf. Technol. 2022, 121, 6523–6533. [Google Scholar] [CrossRef]
- Joshi, S.N.; Pande, S.S. Thermo-Physical Modeling of Die-Sinking EDM Process. J. Manuf. Process. 2010, 12, 45–56. [Google Scholar] [CrossRef]
- Descoeudres, A.; Hollenstein, C.; Wälder, G.; Perez, R. Time-Resolved Imaging and Spatially-Resolved Spectroscopy of Electrical Discharge Machining Plasma. J. Phys. D Appl. Phys. 2005, 38, 4066. [Google Scholar] [CrossRef]
- Liu, Y.; Li, B.; Yang, H.; Qu, J.; Yang, D.; Zhang, S. Multi-Physics Coupling Simulation Study in EDM Discharge Process. In Proceedings of the 2021 IEEE International Conference on Electrical Engineering and Mechatronics Technology (ICEEMT), Qingdao, China, 2–4 July 2021; pp. 196–201. [Google Scholar] [CrossRef]
- Ayesta, I.; Izquierdo, B.; Sánchez, J.A.; Ramos, J.M.; Plaza, S.; Pombo, I.; Ortega, N.; Bravo, H.; Fradejas, R.; Zamakona, I. Influence of EDM Parameters on Slot Machining in C1023 Aeronautical Alloy. Procedia CIRP 2013, 6, 129–134. [Google Scholar] [CrossRef]

















| C | Si | Mn | P | S | Mo | W | Cr | V | Ni | Ti | Cu | Fe |
|---|---|---|---|---|---|---|---|---|---|---|---|---|
| 0.31 | 0.17 | 0.16 | <0.005 | <0.003 | 3.1 | 1.85 | 0.08 | <0.003 | 0.08 | <0.003 | 0.1 | Bal. |
| Particle Size (µm) | Thermal Conductivity (W/mK) | Electrical Resistivity (Ωm) | |
|---|---|---|---|
| POCO EDM-3 | 5 | 95 | 1.5 × 10−5 |
| Cooper | – | 400 | 1.6 × 10−8 |
| Electrode | Copper, Graphite POCO EDM 3 |
|---|---|
| Workpiece material | HTCS 150 |
| Discharge current I (A) | 8–20 |
| Open voltage U0 (V) | 225 |
| Discharge voltage (V) | 25 |
| pulse-on-time ton (μs) | 100–800 |
| time interval toff (μs) | 0.3 ton |
| Dielectric | EDM fluid 108 MP-Sin E 60 |
| EDM Parameters | Level 1 | Level 2 | Level 3 | Level 4 | Level 5 |
|---|---|---|---|---|---|
| Discharge current I (A) | 8 | 10 | 14 | 18 | 20 |
| Pulse-on-time ton (μs) | 100 | 200 | 450 | 700 | 800 |
| Exp. No. | EDM Parameters | Observed Values | ||||
|---|---|---|---|---|---|---|
| Discharge Current I (A) | Pulse-on-Time ton (μs) | Surface Roughness Ra (μm) | Slot Width S (mm) | TW (mm) | MRR (mm3/min) | |
| 1. | 10 | 200 | 10.66 | 1.47 | 0.23 | 49.06 |
| 2. | 18 | 200 | 16.82 | 1.55 | 0.62 | 79.34 |
| 3. | 10 | 700 | 13.84 | 1.6 | 0.12 | 10.41 |
| 4. | 18 | 700 | 12.42 | 1.59 | 0.45 | 85.38 |
| 5. | 14 | 100 | 13.07 | 1.46 | 0.54 | 56.65 |
| 6. | 14 | 800 | 11.94 | 1.58 | 0.24 | 53.71 |
| 7. | 8 | 450 | 10.72 | 1.53 | 0.11 | 10.55 |
| 8. | 20 | 450 | 15.55 | 1.64 | 0.55 | 88.3 |
| 9. | 14 | 450 | 13.60 | 1.59 | 0.47 | 81.82 |
| 10. | 14 | 450 | 13.31 | 1.57 | 0.44 | 82.44 |
| Source | Sum of Squares | Degrees of Freedom | Mean Square | F-Value | Prob > f | Contribution % |
|---|---|---|---|---|---|---|
| Model | 52.1256 | 4 | 13.0314 | 19.49 | 0.0029 | |
| ton2 | 1.5672 | 1 | 1.5672 | 11.72 | <0.0001 | 3.01 |
| I | 46.9647 | 1 | 46.9647 | 351.26 | 0.0004 | 90.10 |
| I2 | 0.9855 | 1 | 0.9855 | 7.37 | 0.0420 | 1.89 |
| tonI | 2.6082 | 1 | 2.6082 | 19.50 | 0.0069 | 5.00 |
| Error | 0.6685 | 5 | ||||
| Total SS | 52.7941 | 9 | R-sqr = 0.98 | R-Adj = 0.97 | ||
| Source | Sum of Squares | Degrees of Freedom | Mean Square | F-Value | Prob > f | Contribution % |
|---|---|---|---|---|---|---|
| Model | 0.0282 | 4 | 0.0070 | 7.05 | 0.0274 | |
| ton | 0.0144 | 1 | 0.0144 | 71.31 | 0.0003 | 51.06 |
| ton2 | 0.0054 | 1 | 0.0054 | 26.70 | 0.0035 | 19.15 |
| I | 0.0064 | 1 | 0.0064 | 32.12 | 0.0023 | 22.70 |
| tonI | 0.0020 | 1 | 0.0020 | 10.01 | 0.0249 | 7.09 |
| Error | 0.0010 | 5 | ||||
| Total SS | 0.0292 | 9 | R-sqr = 0.96 | R-Adj = 0.94 | ||
| Source | Sum of Squares | Degrees of Freedom | Mean Square | F-Value | Prob > f | Contribution % |
|---|---|---|---|---|---|---|
| Model | 8147.74 | 4 | 2036.93 | 7.25 | 0.0259 | |
| ton | 754.90 | 1 | 0.0144 | 71.31 | 0.0144 | 9.27 |
| I | 5791.59 | 1 | 0.0054 | 26.70 | 0.0001 | 71.08 |
| I2 | 1101.96 | 1 | 0.0064 | 32.12 | 0.0068 | 13.52 |
| tonI | 499.29 | 1 | 0.0020 | 10.01 | 0.03074 | 6.13 |
| Error | 280.81 | 5 | ||||
| Total SS | 8428.55 | 9 | R-sqr = 0.96 | R-Adj = 0.94 | ||
| Source | Sum of Squares | Degrees of Freedom | Mean Square | F-Value | Prob > f | Contribution % |
|---|---|---|---|---|---|---|
| Model | 0.2981 | 3 | 0.0993 | 8.38 | 0.0144 | |
| ton | 0.06186 | 1 | 1.5672 | 11.72 | <0.0001 | 20.76 |
| I | 0.2240 | 1 | 46.9647 | 351.26 | 0.0004 | 75.15 |
| I2 | 0.0122 | 1 | 0.9855 | 7.37 | 0.0420 | 4.09 |
| Error | 0.0118 | 6 | ||||
| Total SS | 0.3099 | 9 | R-sqr = 0.96 | R-Adj = 0.94 | ||
| Factors | Goal | Lower Limit | Upper Limit | Weight | Importance |
|---|---|---|---|---|---|
| I (A) | In range | 8 | 20 | - | |
| ton (µs) | In range | 100 | 800 | - | |
| Ra (µm) | Minimize | 10.66 | 16.82 | 1 | p = 0.3 |
| S (mm) | Minimize | 1.46 | 1.64 | 1 | p = 0.3 |
| MRR (mm3/min) | Maximize | 10.41 | 85.38 | 1 | s = 5 |
| TW (mm) | Minimize | 0.11 | 0.62 | 1 | p = 0.3 |
| Optimal EDM Parameters | Summary of Values Obtained in Optimization | |||
|---|---|---|---|---|
| Response | Predicted | Experimental Verification | Error % | |
| I = 12.8 A | Ra (µm) | 12.85 | 12.1 | 7 |
| ton = 240 µs | S (mm) | 1.5 | 1.45 | 4 |
| toff = 0.3 ton | MRR (mm3/min) | 70.5 | 67 | 5 |
| Uc = 25 V | TW (mm) | 0.44 | 0.41 | 6 |
Disclaimer/Publisher’s Note: The statements, opinions and data contained in all publications are solely those of the individual author(s) and contributor(s) and not of MDPI and/or the editor(s). MDPI and/or the editor(s) disclaim responsibility for any injury to people or property resulting from any ideas, methods, instructions or products referred to in the content. |
© 2022 by the authors. Licensee MDPI, Basel, Switzerland. This article is an open access article distributed under the terms and conditions of the Creative Commons Attribution (CC BY) license (https://creativecommons.org/licenses/by/4.0/).
Share and Cite
Oniszczuk-Świercz, D.; Świercz, R.; Kopytowski, A.; Nowicki, R. Experimental Investigation and Optimization of Rough EDM of High-Thermal-Conductivity Tool Steel with a Thin-Walled Electrode. Materials 2023, 16, 302. https://doi.org/10.3390/ma16010302
Oniszczuk-Świercz D, Świercz R, Kopytowski A, Nowicki R. Experimental Investigation and Optimization of Rough EDM of High-Thermal-Conductivity Tool Steel with a Thin-Walled Electrode. Materials. 2023; 16(1):302. https://doi.org/10.3390/ma16010302
Chicago/Turabian StyleOniszczuk-Świercz, Dorota, Rafał Świercz, Adrian Kopytowski, and Rafał Nowicki. 2023. "Experimental Investigation and Optimization of Rough EDM of High-Thermal-Conductivity Tool Steel with a Thin-Walled Electrode" Materials 16, no. 1: 302. https://doi.org/10.3390/ma16010302
APA StyleOniszczuk-Świercz, D., Świercz, R., Kopytowski, A., & Nowicki, R. (2023). Experimental Investigation and Optimization of Rough EDM of High-Thermal-Conductivity Tool Steel with a Thin-Walled Electrode. Materials, 16(1), 302. https://doi.org/10.3390/ma16010302

