The Effect of Sintering Temperature on the Phase Composition, Microstructure, and Mechanical Properties of Yttria-Stabilized Zirconia
Abstract
:1. Introduction
2. Experimental Procedures
3. Results and Discussion
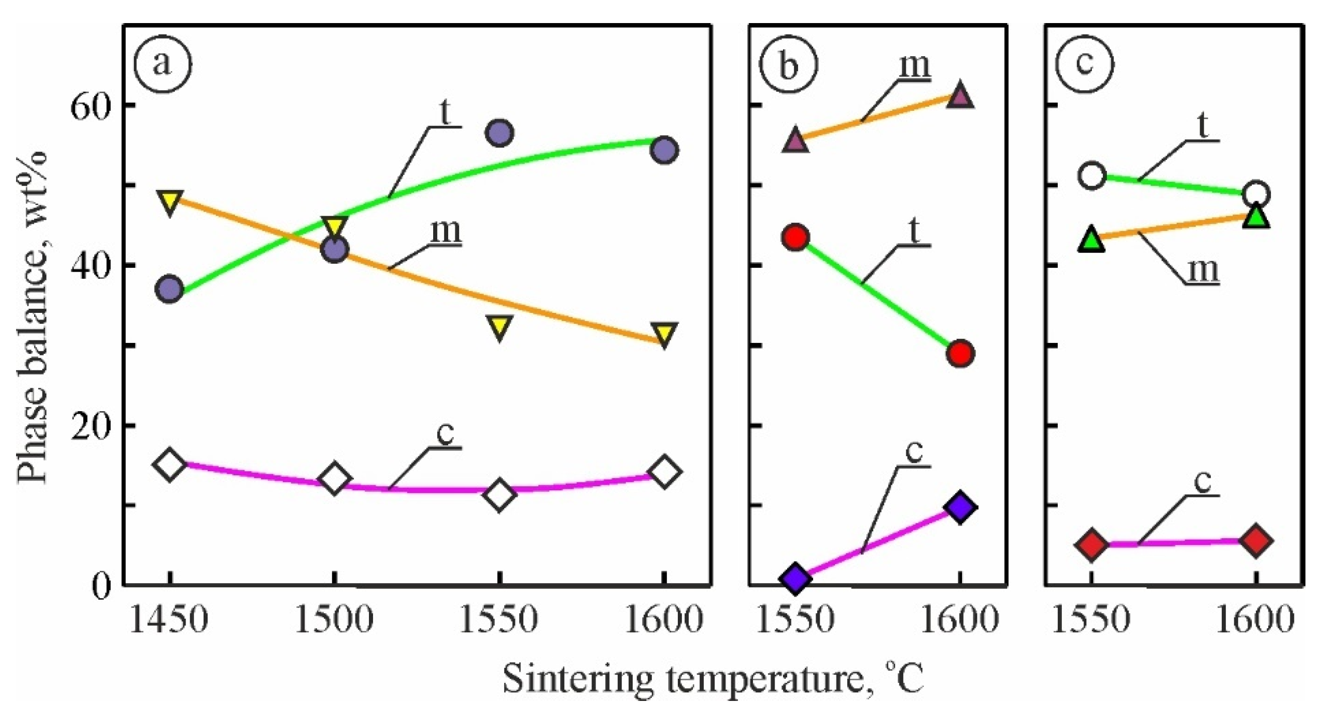
3.1. The XRD Analysis of YSZ Ceramics
3.2. Mechanical Properties of YSZ Ceramics and the Relations to Their Microstructure
4. Conclusions
- In this work, the conditions for the formation of tetragonal, monoclinic, and cubic phases of zirconia in 6YSZ, 7YSZ, and 8YSZ ceramics have been substantiated.
- The dependences of phase composition and mechanical properties of the studied YSZ ceramics on the sintering temperature have been analyzed.
- The fracture toughness of YSZ ceramics is related to the phase transformations occurring in the material in the presence of a stabilizing additive. By comparing the mechanical behaviors of studied material variants, it was found that 7YSZ ceramics sintered at 1600 °C have the highest level of fracture toughness.
Author Contributions
Funding
Institutional Review Board Statement
Informed Consent Statement
Data Availability Statement
Acknowledgments
Conflicts of Interest
References
- Kumar, A.; Kumar, P.; Dhaliwal, A.S. Structural studies of zirconia and yttria doped zirconia for analysing it phase stabilization criteria. IOP Conf. Ser. Mater. Sci. Eng. 2021, 1033, 012052. [Google Scholar] [CrossRef]
- Tsai, Y.-Y.; Lee, T.-M.; Kuo, J.-C. Hydrothermal-aging-induced lattice distortion in yttria-stabilized zirconia using EBSD technique. Micron 2021, 145, 103053. [Google Scholar] [CrossRef] [PubMed]
- Witz, G.; Shklover, V.; Steurer, W.; Bachegowda, S.; Bossmann, H.-P. Phase evolution in yttria-stabilized zirconia thermal barrier coatings studied by Rietveld refinement of X-ray powder diffraction patterns. J. Am. Ceram. Soc. 2007, 90, 2935–2940. [Google Scholar] [CrossRef]
- Dobrzański, L.A.; Dobrzański, L.B. Dobrzanska-Danikiewicz, A.D. Manufacturing technologies thick-layer coatings on various substrates and manufacturing gradient materials using powders of metals, their alloys and ceramics. J. Achiev. Mater. Manuf. Eng. 2020, 99, 14–41. [Google Scholar] [CrossRef]
- Duriagina, Z.; Kulyk, V.; Kovbasiuk, T.; Vasyliv, B.; Kostryzhev, A. Synthesis of functional surface layers on stainless steels by laser alloying. Metals 2021, 11, 434. [Google Scholar] [CrossRef]
- Milewski, J.; Kupecki, J.; Szczęśniak, A.; Uzunow, N. Hydrogen production in solid oxide electrolyzers coupled with nuclear reactors. Int. J. Hydrog. Energy 2021, 46, 35765–35776. [Google Scholar] [CrossRef]
- Posuvailo, V.M.; Kulyk, V.V.; Duriagina, Z.A.; Koval’Chuck, I.V.; Student, M.M.; Vasyliv, B.D. The effect of electrolyte composition on the plasma electrolyte oxidation and phase composition of oxide ceramic coatings formed on 2024 aluminium alloy. Arch. Mater. Sci. Eng. 2020, 105, 49–55. [Google Scholar] [CrossRef]
- Efremenko, V.G.; Chabak, Y.G.; Lekatou, A.; Karantzalis, A.E.; Efremenko, A.V. High-temperature oxidation and decarburization of 14.55 wt pct Cr-cast iron in dry air atmosphere. Met. Mater. Trans. A 2016, 47, 1529–1543. [Google Scholar] [CrossRef]
- Bocanegra-Bernal, M.H.; Díaz de la Torre, S. Phase transitions in zirconium dioxide and related materials for high performance engineering ceramics. J. Mater. Sci. 2002, 37, 4947–4971. [Google Scholar] [CrossRef]
- Mensch, A.; Thole, K.A. Overall effectiveness of a blade endwall with jet impingement and film cooling. J. Eng. Gas Turbines Power 2014, 136, 031901. [Google Scholar] [CrossRef]
- Gupta, T.K.; Bechtold, J.H.; Kuznicki, R.C.; Cadoff, L.H.; Rossing, B.R. Stabilization of tetragonal phase in polycrystalline zirconia. J. Mater. Sci. 1977, 12, 2421–2426. [Google Scholar] [CrossRef]
- Jiang, S.L.; Huang, X.; He, Z. Phase transformation and lattice parameter changes of trivalent rare earth doped YSZ as a function of temperature. J. Mater. Eng. Perform. 2016, 25, 4686–4694. [Google Scholar] [CrossRef]
- Guo, L.; Li, M.; Ye, F. Phase stability and thermal conductivity of RE2O3 (RE = La, Nd, Gd, Yb) and Yb2O3 co-doped Y2O3 stabilized ZrO2 ceramics. Ceram. Int. 2016, 42, 7360–7365. [Google Scholar] [CrossRef]
- Jiang, S.; Huang, X.; He, Z.; Buyers, A. Phase transformation and lattice parameter changes of non-trivalent rare earth-doped YSZ as a function of temperature. J. Mater. Eng. Perform. 2018, 27, 2263–2270. [Google Scholar] [CrossRef]
- Yi, H.; Che, J.; Liang, G.; Liu, X. Effect of rare earth elements on stability and sintering resistance of tetragonal zirconia for advanced thermal barrier coatings. Crystals 2021, 11, 287. [Google Scholar] [CrossRef]
- Liu, Y.; Copin, E.; Duluard, S.; Sentenac, T.; Wang, Z.; Ansart, F.; Lours, P. Apparent interfacial toughness of undoped and photoluminescent Eu3+-doped yttria-stabilized zirconia thermal barrier coatings. J. Therm. Spray Technol. 2020, 29, 433–443. [Google Scholar] [CrossRef]
- Liu, Y.; Vidal, V.; Le Roux, S.; Blas, F.; Ansart, F.; Lours, P. Influence of isothermal and cyclic oxidation on the apparent interfacial toughness in thermal barrier coating systems. J. Eur. Ceram. Soc. 2015, 35, 4269–4275. [Google Scholar] [CrossRef] [Green Version]
- Keyvani, A.; Bahamirian, M.; Esmaeili, B. Sol-gel synthesis and characterization of ZrO2-25wt.%CeO2-2.5wt.%Y2O3 (CYSZ) nanoparticles. Ceram. Int. 2020, 46, 21284–21291. [Google Scholar] [CrossRef]
- Wojteczko, K.; Pędzich, Z.; Zientara, D.; Berent, K.; Haberko, K. Phenomena occurring upon the sintering of a mixture of yttria–zirconia nanometric powder and sub-micrometric pure zirconia powder. Materials 2021, 14, 6937. [Google Scholar] [CrossRef]
- Fu, L.; Li, B.; Xu, G.; Huang, J.; Engqvist, H.; Xia, W. Size-driven phase transformation and microstructure evolution of ZrO2 nanocrystallites associated with thermal treatments. J. Eur. Ceram. Soc. 2021, 41, 5624–5633. [Google Scholar] [CrossRef]
- Raja Annamalai, A.; Nagaraju, N.; Agrawal, D.K.; Muthuchamy, A. Effect of heating mode on sinterability of YSZ + CeO2 ceramics. Metals 2018, 8, 189. [Google Scholar] [CrossRef] [Green Version]
- Miller, R.A.; Smialek, J.L.; Garlick, R.G. Phase stability in plasma sprayed, partially stabilized zirconia–yttria. In Advances in Ceramics: Science and Technology of Zirconia I; Heuer, A.H., Hobbs, L.W., Eds.; American Ceramic Society: Westerville, OH, USA, 1981; Volume 3, pp. 241–253. [Google Scholar]
- Ilavsky, J.; Stalick, J.K.; Wallace, J. Thermal spray yttria-stabilized zirconia phase changes during annealing. J. Therm. Spray Technol. 2001, 10, 497–501. [Google Scholar] [CrossRef]
- Schulz, U. Phase transformation in EB-PVD yttria partially stabilized zirconia thermal barrier coatings during annealing. J. Am. Ceram. Soc. 2000, 83, 904–910. [Google Scholar] [CrossRef]
- Brandon, J.R.; Taylor, R. Phase stability of zirconia-based thermal barrier coatings part I. Zirconia-yttria alloys. Surf. Coat. Technol. 1991, 46, 75–90. [Google Scholar] [CrossRef]
- Azzopardi, A.; Mévrel, R.; Saint-Ramond, B.; Olson, E.; Stiller, K. Influence of aging on structure and thermal conductivity of Y-PSZ and Y-FSZ EB-PVD coatings. Surf. Coat. Technol. 2004, 177-178, 131–139. [Google Scholar] [CrossRef]
- Katamura, J.; Sakuma, T. Computer simulation of the microstructural evolution during the diffusionless cubic-to-tetragonal transition in the system ZrO2–Y2O3. Acta Mater. 1998, 46, 1569–1575. [Google Scholar] [CrossRef]
- Scott, H.G. Phase relationships in the zirconia-yttria system. J. Mater. Sci. 1975, 10, 1527–1535. [Google Scholar] [CrossRef]
- Komatsu, Y.; Sciazko, A.; Shikazono, N. Isostatic pressing of screen-printed nickel-gadolinium doped ceria anodes on electrolyte-supported solid oxide fuel cells. J. Power Sources 2021, 485, 229317. [Google Scholar] [CrossRef]
- Vasyliv, B.; Milewski, J.; Podhurska, V.; Wejrzanowski, T.; Kulyk, V.; Skibiński, J.; Vira, V.; Szabłowski, Ł.; Szczęśniak, A.; Dybiński, O. Study of the degradation of a fine-grained YSZ–NiO anode material during reduction in hydrogen and reoxidation in air. Appl. Nanosci. 2022, 12, 965–975. [Google Scholar] [CrossRef]
- Danilenko, I.; Lasko, G.; Brykhanova, I.; Burkhovetski, V.; Ahkhozov, L. The peculiarities of structure formation and properties of zirconia-based nanocomposites with addition of Al2O3 and NiO. Nanoscale Res. Lett. 2017, 12, 125. [Google Scholar] [CrossRef] [Green Version]
- Podhurska, V.; Vasyliv, B. Influence of NiO reduction on microstructure and properties of porous Ni-ZrO2 substrates. In Proceedings of the 2012 IEEE International Conference on Oxide Materials for Electronic Engineering (OMEE), Lviv, Ukraine, 3–7 September 2012; pp. 293–294. [Google Scholar] [CrossRef]
- Milewski, J.; Lewandowski, J.; Miller, A. Reducing CO2 emissions from a coal fired power plant by using a molten carbonate fuel cell. Proc. ASME Turbo Exp. 2008, 30, 389–395. [Google Scholar] [CrossRef]
- Milewski, J.; Lewandowski, J. Solid oxide fuel cell fuelled by biogases. Arch. Thermodyn. 2009, 30, 3–12. [Google Scholar]
- Sciazko, A.; Shimura, T.; Komatsu, Y.; Shikazono, N. Ni-GDC and Ni-YSZ electrodes operated in solid oxide electrolysis and fuel cell modes. J. Therm. Sci. Technol. 2021, 16, JTST0013. [Google Scholar] [CrossRef]
- Kulyk, V.V.; Vasyliv, B.D.; Duriagina, Z.A.; Kovbasiuk, T.M.; Lemishka, I.A. The effect of water vapor containing hydrogenous atmospheres on the microstructure and tendency to brittle fracture of anode materials of YSZ–NiO(Ni) system. Arch. Mater. Sci. Eng. 2021, 108, 49–67. [Google Scholar] [CrossRef]
- Włodarczyk-Fligier, A.; Polok-Rubiniec, M.; Konieczny, J. Thermal analysis of matrix composite reinforced with Al2O3 particles. J. Achiev. Mater. Manuf. Eng. 2020, 100, 5–11. [Google Scholar] [CrossRef]
- Romaniv, O.M.; Vasyliv, B.D. Some features of formation of the structural strength of ceramic materials. Mater. Sci. 1998, 34, 149–161. [Google Scholar] [CrossRef]
- Jeong, K.-W.; Han, J.-S.; Yang, G.-U.; Kim, D.-J. Influence of preaging temperature on the indentation strength of 3Y-TZP aged in ambient atmosphere. Materials 2021, 14, 2767. [Google Scholar] [CrossRef]
- Ji, S.H.; Kim, D.S.; Park, M.S.; Yun, J.S. Sintering process optimization for 3YSZ ceramic 3D-printed objects manufactured by stereolithography. Nanomaterials 2021, 11, 192. [Google Scholar] [CrossRef]
- Fan, Z.; Sun, X.; Zhuo, X.; Mei, X.; Cui, J.; Duan, W.; Wang, W.; Zhang, X.; Yang, L. Femtosecond laser polishing yttria-stabilized zirconia coatings for improving molten salts corrosion resistance. Corros. Sci. 2021, 184, 109367. [Google Scholar] [CrossRef]
- Smyrnova-Zamkova, M.Y.; Ruban, O.K.; Bykov, O.I.; Holovchuk, M.Y.; Mosina, T.V.; Khomenko, O.I.; Dudnik, O.V. The influence of the ZrO2 solid solution amount on the physicochemical properties of Al2O3–ZrO2–Y2O3–CeO2 powders. Sov. Powder Met. Met. Ceram. 2021, 60, 129–141. [Google Scholar] [CrossRef]
- Khajavi, P.; Hendriksen, P.V.; Chevalier, J.; Gremillard, L.; Frandsen, H.L. Improving the fracture toughness of stabilized zirconia-based solid oxide cells fuel electrode supports: Effects of type and concentration of stabilizer(s). J. Eur. Ceram. Soc. 2020, 40, 5670–5682. [Google Scholar] [CrossRef]
- Alves, M.F.R.P.; Ribeiro, S.; Suzuki, P.A.; Strecker, K.; dos Santos, C. Effect of Fe2O3 addition and sintering temperature on mechanical properties and translucence of zirconia dental ceramics with different Y2O3 content. Mater. Res. 2021, 24, e20200402. [Google Scholar] [CrossRef]
- Romaniv, O.M.; Zalite, I.V.; Simin’Kovych, V.M.; Tkach, O.N.; Vasyliv, B.D. Effect of the concentration of zirconium dioxide on the fracture resistance of Al2O3-ZrO2 ceramics. Mater. Sci. 1996, 31, 588–594. [Google Scholar] [CrossRef]
- ASTM E384-11; Standard Test Method for Knoop and Vickers Hardness of Materials. ASTM International: West Conshohocken, PA, USA, 2011. [CrossRef]
- ASTM C1327-03; Standard Test Method for Vickers Indentation Hardness of Advanced Ceramics. ASTM International: West Conshohocken, PA, USA, 2003. [CrossRef]
- Nastic, A.; Merati, A.; Bielawski, M.; Bolduc, M.; Fakolujo, O.; Nganbe, M. Instrumented and vickers indentation for the characterization of stiffness, hardness and toughness of zirconia toughened Al2O3 and SiC armor. J. Mater. Sci. Technol. 2015, 31, 773–783. [Google Scholar] [CrossRef]
- Kulyk, V.V.; Duriagina, Z.A.; Vasyliv, B.D.; Vavrukh, V.I.; Lyutyy, P.Y.; Kovbasiuk, T.M.; Holovchuk, M.Y. Effects of yttria content and sintering temperature on the microstructure and tendency to brittle fracture of yttria-stabilized zirconia. Arch. Mater. Sci. Eng. 2021, 109, 65–79. [Google Scholar] [CrossRef]
- Shabri, H.A.; Othman, M.H.D.; Mohamed, M.A.; Kurniawan, T.A.; Jamil, S.M. Recent progress in metal-ceramic anode of solid oxide fuel cell for direct hydrocarbon fuel utilization: A review. Fuel Process. Technol. 2021, 212, 106626. [Google Scholar] [CrossRef]
- Anstis, G.R.; Chantikul, P.; Lawn, B.R.; Marshall, D.B. A critical evaluation of indentation techniques for measuring fracture toughness: I, Direct crack measurements. J. Am. Ceram. Soc. 1981, 64, 533–538. [Google Scholar] [CrossRef]
- Lankford, J. Indentation microfracture in the Palmqvist crack regime: Implications for fracture toughness evaluation by the indentation method. J. Mater. Sci. Lett. 1982, 1, 493–495. [Google Scholar] [CrossRef]
- Vasyliv, B.; Kulyk, V.; Duriagina, Z.; Mierzwinski, D.; Kovbasiuk, T.; Tepla, T. Estimation of the effect of redox treatment on microstructure and tendency to brittle fracture of anode materials of YSZ–NiO(Ni) system. East. Eur. J. Enterp. Technol. 2020, 6, 61–71. [Google Scholar] [CrossRef]
- ASTM E399-20a; Standard Test Method for Linear-Elastic Plane-Strain Fracture Toughness of Metallic Materials. ASTM International: West Conshohocken, PA, USA, 2020. [CrossRef]
- ASTM C1421-18; Standard Test Methods for Determination of Fracture Toughness of Advanced Ceramics at Ambient Temperature. ASTM International: West Conshohocken, PA, USA, 2018. [CrossRef]
- Kübier, J. Fracture toughness of ceramics using the SEVNB method: From a preliminary study to a standard test method. In Fracture Resistance Testing of Monolithic and Composite Brittle Materials; Jenkins, M.G., Salem, J.A., Quinn, G.D., Eds.; ASTM International: West Conshohocken, PA, USA, 2002; p. 93. [Google Scholar]
- Peng, Z.; Gong, J.; Miao, H. On the description of indentation size effect in hardness testing for ceramics: Analysis of the nanoindentation data. J. Eur. Ceram. Soc. 2004, 24, 2193–2201. [Google Scholar] [CrossRef]
- Rodaev, V.V.; Zhigachev, A.O.; Tyurin, A.I.; Razlivalova, S.S.; Korenkov, V.V.; Golovin, Y.I. An engineering zirconia ceramic made of baddeleyite. Materials 2021, 14, 4676. [Google Scholar] [CrossRef] [PubMed]








| Variant | Content of Y2O3, mol% | Sintering Mode | |
|---|---|---|---|
| Temperature, °C | Time, h | ||
| 6YSZ–1450 | 6 | 1450 | 2 |
| 6YSZ–1500 | 6 | 1500 | 2 |
| 6YSZ–1550 | 6 | 1550 | 2 |
| 6YSZ–1600 | 6 | 1600 | 2 |
| 7YSZ–1550 | 7 | 1550 | 2 |
| 7YSZ–1600 | 7 | 1600 | 2 |
| 8YSZ–1550 | 8 | 1550 | 2 |
| 8YSZ–1600 | 8 | 1600 | 2 |
| Chemical Element | Spectrum | Variants of Material | |||||||
|---|---|---|---|---|---|---|---|---|---|
| 6YSZ-1450 | 6YSZ-1500 | 6YSZ-1550 | 6YSZ-1600 | 7YSZ-1550 | 7YSZ-1600 | 8YSZ-1550 | 8YSZ-1600 | ||
| 1 | 14.4 | 14.88 | 13.87 | 14.93 | 6.93 | 17.82 | 10.39 | 16.41 | |
| O | 2 | 15.16 | 17.31 | 15.59 | 14.82 | 17.6 | 17.06 | 16.78 | 17.44 |
| 3 | 15.09 | 15.73 | 15.05 | 15.06 | 15.84 | 17.31 | 16.01 | 16.75 | |
| 1 | 5.98 | 5.99 | 6.99 | 9.1 | 19.48 | 3.68 | 15.42 | 6.11 | |
| Y | 2 | 2.26 | 0.59 | 2.26 | 1.32 | 0 | 0.91 | 0.38 | 1.25 |
| 3 | 3.48 | 2.92 | 2.8 | 2.79 | 3.26 | 1.49 | 3.2 | 2.68 | |
| 1 | 79.62 | 79.13 | 79.14 | 75.97 | 73.59 | 78.5 | 74.19 | 77.48 | |
| Zr | 2 | 82.58 | 82.1 | 82.15 | 83.86 | 82.4 | 82.03 | 82.84 | 81.31 |
| 3 | 81.43 | 81.35 | 82.15 | 82.15 | 80.9 | 81.2 | 80.79 | 80.57 | |
Publisher’s Note: MDPI stays neutral with regard to jurisdictional claims in published maps and institutional affiliations. |
© 2022 by the authors. Licensee MDPI, Basel, Switzerland. This article is an open access article distributed under the terms and conditions of the Creative Commons Attribution (CC BY) license (https://creativecommons.org/licenses/by/4.0/).
Share and Cite
Kulyk, V.; Duriagina, Z.; Vasyliv, B.; Vavrukh, V.; Kovbasiuk, T.; Lyutyy, P.; Vira, V. The Effect of Sintering Temperature on the Phase Composition, Microstructure, and Mechanical Properties of Yttria-Stabilized Zirconia. Materials 2022, 15, 2707. https://doi.org/10.3390/ma15082707
Kulyk V, Duriagina Z, Vasyliv B, Vavrukh V, Kovbasiuk T, Lyutyy P, Vira V. The Effect of Sintering Temperature on the Phase Composition, Microstructure, and Mechanical Properties of Yttria-Stabilized Zirconia. Materials. 2022; 15(8):2707. https://doi.org/10.3390/ma15082707
Chicago/Turabian StyleKulyk, Volodymyr, Zoia Duriagina, Bogdan Vasyliv, Valentyna Vavrukh, Taras Kovbasiuk, Pavlo Lyutyy, and Volodymyr Vira. 2022. "The Effect of Sintering Temperature on the Phase Composition, Microstructure, and Mechanical Properties of Yttria-Stabilized Zirconia" Materials 15, no. 8: 2707. https://doi.org/10.3390/ma15082707
APA StyleKulyk, V., Duriagina, Z., Vasyliv, B., Vavrukh, V., Kovbasiuk, T., Lyutyy, P., & Vira, V. (2022). The Effect of Sintering Temperature on the Phase Composition, Microstructure, and Mechanical Properties of Yttria-Stabilized Zirconia. Materials, 15(8), 2707. https://doi.org/10.3390/ma15082707

