Assessment of Böhme Abrasion Value of Natural Stones through Artificial Neural Networks (ANN)
Abstract
:1. Introduction
2. Data Documentation and Methods
3. Artificial Neural Network (ANN) Analyses
4. Results and Discussion
5. Conclusions
Author Contributions
Funding
Institutional Review Board Statement
Informed Consent Statement
Data Availability Statement
Acknowledgments
Conflicts of Interest
References
- Ghannam, S.; Najm, H.; Vasconez, R. Experimental study of concrete made with granite and iron powders as partial replacement of sand. Sustain. Mater. Technol. 2016, 9, 1–9. [Google Scholar] [CrossRef] [Green Version]
- Amran, M.; Murali, G.; Khalid, N.H.A.; Fediuk, R.; Ozbakkaloglu, T.; Lee, Y.H.; Haruna, S.; Lee, Y.Y. Slag uses in making an ecofriendly and sustainable concrete: A review. Constr. Build. Mater. 2021, 272, e121942. [Google Scholar] [CrossRef]
- Tolstoy, A.D.; Lesovik, V.S.; Glagolev, E.S.; Krymova, A.I. Synergetics of hardening construction systems. IOP Conf. Ser. Mater. Sci. Eng. 2018, 327, 032056. [Google Scholar] [CrossRef]
- Pappalardo, G. Correlation between P-Wave velocity and physical–mechanical properties of intensely jointed dolostones, Peloritani Mounts, NE Sicily. Rock Mech. Rock Eng. 2015, 48, 1711–1721. [Google Scholar] [CrossRef]
- Germinario, L.; Siegesmund, S.; Maritan, L.; Mazzoli, C. Petrophysical and mechanical properties of Euganean trachyte and implications for dimension stone decay and durability performance. Environ. Earth Sci. 2017, 76, 739. [Google Scholar] [CrossRef]
- Hazrathosseini, A.; Mahdevari, S. Geometric quality assessment of in situ blocks in dimension stone quarries. Bull. Eng. Geol. Environ. 2019, 78, 2377–2385. [Google Scholar] [CrossRef]
- Marradi, A.; Secchiari, L.; Lezzerini, M. The qualification of stone materials for their applications in road stone pavements. In Second International Congress on Dimension Stones; Pacini Editore, ICDS: Carrara, Italy, 2008; pp. 225–235. [Google Scholar]
- Yılmaz, N.G.; Göktan, R.M.; Kibici, Y. Relations between some quantitative petrographic characteristics and mechanical strength properties of granitic building stones. Int. J. Rock Mech. Min. Sci. 2011, 48, 506–513. [Google Scholar] [CrossRef]
- Marini, P.; Bellopede, R.; Perino, L.; Regibus, C.D. Optimisation of an abrasion resistance test method on natural stones. Bull. Eng. Geol. Environ. 2011, 70, 133–138. [Google Scholar] [CrossRef]
- Karaca, Z.; Güneş Yılmaz, N.; Göktan, R.M. Considerations on the European standard EN 14157 test methods: Abrasion resistance of natural stones used for flooring in buildings. Rock Mech. Rock Eng. 2012, 45, 103–111. [Google Scholar] [CrossRef]
- Fowell, R.J.; Abu Bakar, M.Z. A review of the Cerchar and LCPC rock abrasivity measurement methods. In Proceedings of the 11th Congress of the ISRM, Second Half Century for Rock Mechanics, Lisbon, Portugal, 9–13 July 2007; pp. 155–160. [Google Scholar]
- Strzałkowski, P. Wymagania i metody badań dla wybranych wyrobów z kamienia naturalnego (Requirements and test methods for selected natural stone products). Górnictwo Odkryw. 2018, 59, 34–40. (In Polish) [Google Scholar]
- Carvalho, C.; Silva, Z.; Simão, J. Evaluation of Portuguese limestones’ susceptibility to salt mist through laboratory testing. Environ. Earth Sci. 2018, 77, 523. [Google Scholar] [CrossRef]
- Strzałkowski, P.; Kaźmierczak, U.; Wolny, M. Assessment of the method for abrasion resistance determination of sandstones on Böhme abrasion test apparatus. Bull. Eng. Geol. Environ. 2020, 79, 4947–4956. [Google Scholar] [CrossRef]
- Alsaiari, M.A.; El-Aal, A.A. Influence of composition on the physico-mechanical properties of granitic rocks used in floor covering and building cladding in Najran Region, Saudi Arabia. Arab. J. Geosci. 2021, 14, 2100. [Google Scholar] [CrossRef]
- Alber, M.; Yaralı, O.; Dahl, F.; Bruland, A.; Käsling, H.; Michalakopoulos, T.N.; Cardu, M.; Hagan, P.; Aydın, H.; Özarslan, A. ISRM Suggested method for determining the abrasivity of rock by the cerchar abrasivity test. Rock Mech. Rock Eng. 2014, 47, 261–266. [Google Scholar] [CrossRef]
- EN 14157; Natural Stone Test Methods—Determination of the Abrasion Resistance. European Committee for Standardization: Brussels, Belgium, 2017.
- Özvan, A.; Direk, N. The relationships among different abrasion tests on deteriorated and undeteriorated rocks. Bull. Eng. Geol. Environ. 2021, 80, 1745–1756. [Google Scholar] [CrossRef]
- Yaşar, E.; Erdoğan, Y. Estimation of rock physicomechanical properties using hardness methods. Eng. Geol. 2004, 71, 281–288. [Google Scholar] [CrossRef]
- Kılıç, A.; Teymen, A. Determination of mechanical properties of rocks using simple methods. Bull. Eng. Geol. Environ. 2008, 67, 237–244. [Google Scholar] [CrossRef]
- Teymen, A.; Kılıç, A.; Türkmenoğlu, Z.F. Examination of standard properties of calcium carbonate rocks. In Turkey 22nd International Mining Congress and Exhibition; Turkish Chamber of MINING Engineers: Ankara, Turkey, 2011; pp. 259–270. [Google Scholar]
- Deliormanlı, A.H. Cerchar abrasivity index (CAI) and its relation to strength and abrasion test methods for marble stones. Constr. Build. Mater. 2012, 30, 16–21. [Google Scholar] [CrossRef]
- Engin, I.C. A correlation for predicting the abrasive water jet cutting depth for natural stones. S. Afr. J. Sci. 2012, 108, 1–11. [Google Scholar] [CrossRef]
- Çobanoğlu, İ.; Çelik, S.B. Assessments on the usability of Wide Wheel (Capon) test as reference abrasion test method for building stones. Constr. Build. Mater. 2017, 151, 319–330. [Google Scholar] [CrossRef]
- Bozdağ, A. Estimation of Böhme abrasion resistance through the physicomechanical properties of natural building stones. J. Eng. Sci. Des. 2020, 8, 1062–1071. [Google Scholar] [CrossRef]
- Bayram, F. Data mining techniques for the prediction of Böhme surface abrasion rates from rock properties. J. Test. Eval. 2020, 48, 323–332. [Google Scholar] [CrossRef]
- Ibrahim, D. An Overview of Soft Computing. Procedia Comput. Sci. 2016, 102, 34–38. [Google Scholar] [CrossRef] [Green Version]
- Jang, H.; Topal, E. A review of soft computing technology applications in several mining problems. Appl. Soft Comput. 2014, 22, 638–651. [Google Scholar] [CrossRef]
- Nguyen, H.; Bui, X.-N. Soft computing models for predicting blast-induced air over-pressure: A novel artificial intelligence approach. Appl. Soft Comput. 2020, 92, 106292. [Google Scholar] [CrossRef]
- Roy, D.G.; Singh, T.N. Predicting deformational properties of Indian coal: Soft computing and regression analysis approach. Measurement 2020, 149, 106975. [Google Scholar] [CrossRef]
- Jung, D.; Choi, Y. Systematic Review of Machine Learning Applications in Mining: Exploration, Exploitation, and Reclamation. Minerals 2021, 11, 148. [Google Scholar] [CrossRef]
- Sonmez, H.; Gokceoglu, C.; Nefeslioglu, H.A.; Kayabasi, A. Estimation of rock modulus: For intact rocks with an artificial neural network and for rock masses with a new empirical equation. Int. J. Rock Mech. Min. Sci. 2006, 43, 224–235. [Google Scholar] [CrossRef]
- Udejobi, O.A.; Emoru, L.E. Applications of soft computing techniques in materials engineering: A review. Afr. J. Math. Comput. Sci. Res. 2009, 2, 104–131. [Google Scholar]
- Yilmaz, I.; Yuksek, G. Prediction of the strength and elasticity modulus of gypsum using multiple regression, ANN, and ANFIS models. Int. J. Rock Mech. Min. Sci. 2009, 46, 803–810. [Google Scholar] [CrossRef]
- Singh, A.P.; Sharma, A.; Mishra, R.; Wagle, M.; Sarkar, A.K. Pavement condition assessment using soft computing techniques. Int. J. Pavement Res. Technol. 2018, 11, 564–581. [Google Scholar] [CrossRef]
- Golafshani, E.M.; Behnood, A. Application of soft computing methods for predicting the elastic modulus of recycled aggregate concrete. J. Clean. Prod. 2018, 176, 1163–1176. [Google Scholar] [CrossRef]
- Shah, M.I.; Amin, M.N.; Khan, K.; Niazi, M.S.K.; Aslam, F.; Alyousef, R.; Javed, M.F.; Mosavi, A. Performance Evaluation of Soft Computing for Modeling the Strength Properties of Waste Substitute Green Concrete. Sustainability 2021, 13, 2867. [Google Scholar] [CrossRef]
- Mohammed, A.A.A.; Fener, M.; Comakli, R.; İnce, I.; Balcı, M.C.; Kayabalı, K. Investigation of the relationships between basic physical and mechanical properties and abrasion wear resistance of several natural building stones used in Turkey. J. Build. Eng. 2021, 42, e103084. [Google Scholar] [CrossRef]
- Yavuz, A.B.; Türk, N.; Koca, M.Y. The mineralogical, chemical, physical and mechanical properties of Muğla region marbles. Geol. Eng. 2002, 26, 1–18. (In Turkish) [Google Scholar]
- Ozkahraman, H.T. Chemical Analysis and Mineral Composition and Physicomechanical Properties of Nevşehir White; Technical Report; Mining Engineering Department, Engineering Faculty, Süleyman Demirel University: Isparta, Turkey, 2008. (In Turkish) [Google Scholar]
- Gürocak, Z.; Alemdağ, S. Possible use of travertine and onix marbles in Pelte (Elazıg) area as building and covering stone. Firat Univ. J. Eng. 2009, 21, 85–94. (In Turkish) [Google Scholar]
- Ozgül, F. The Economic Importance and Usability as Marble of Lime Stones in Region Aşağıgökdere (Eğirdir)–Sütçüler (Isparta). Master’s Thesis, Süleyman Demirel University, Isparta, Turkey, 2010. [Google Scholar]
- Elçi, H. Engineering Geology of the Natural Building Stones of the Karaburun Area. Ph.D Thesis, Dokuz Eylül University, İzmir, Turkey, 2011. (In Turkish). [Google Scholar]
- Altındağ, R.; Şengün, N. Physical, Mechanical and Petrographic Properties of Marmara Marble; Technical Report; Natural Stones Technology Laboratory, Mining Engineering Department, Engineering Faculty, Süleyman Demirel University: Isparta, Turkey, 2012. (In Turkish) [Google Scholar]
- Ince, I. Effect of Freezing-Thawing Cycle on Engineering Parameters of Rock. Ph.D. Thesis, Selçuk University, Konya, Turkey, 2013. (In Turkish). [Google Scholar]
- Korkanç, M. Deterioration of different stones used in historical buildings within Niğde province, Cappadocia. Constr. Build. Mater. 2013, 48, 789–803. [Google Scholar] [CrossRef]
- Sengün, N. Physical, Mechanical and Chemical Properties of Crema Extra, Crema Diva and Crema Donna Marble Samples; Technical Report; Natural Stones Technology Laboratory, Mining Engineering Department, Engineering Faculty, Süleyman Demirel University: Isparta, Turkey, 2013. (In Turkish) [Google Scholar]
- Ozgüven, A.; Özcelik, Y. Effects of high temperature on physico-mechanical properties of Turkish natural building stones. Eng. Geol. 2014, 183, 127–136. [Google Scholar] [CrossRef]
- Altındağ, R.; Demirdağ, S. Physical and Mechanical Properties of Adalya Marble; Technical Report; Süleyman Demirel University, Faculty of Engineering, Mining Engineering Department: Isparta, Turkey, 2015. (In Turkish) [Google Scholar]
- Cevizci, H. Physicomechanical Properties of Perletto; Technical Report; Süleyman Demirel University, Faculty of Engineering, Mining Engineering Department: Isparta, Turkey, 2016. (In Turkish) [Google Scholar]
- Sert, M.; Özkahraman, H.T. The importance of welded tuff stones in construction industry according to their physicomechanical properties. Harran Univ. J. Eng. 2016, 1, 8–18. [Google Scholar]
- Teymen, A. Evaluation of the natural stone properties of Osmaniye/Kadirli limestones. In Proceedings of the 9th International Marble and Natural Stones Congress and Exhibition of Turkey, Antalya, Turkey, 13–15 December 2017; pp. 271–281. [Google Scholar]
- Yılmazkaya, E.; Ozcelik, Y. Effects of the diameter of diamond beads on cutting in monowire block cutting system. In Proceedings of the 9th International Marble and Natural Stones Congress and Exhibition of Turkey, Antalya, Turkey, 13–15 December 2017; pp. 145–151. [Google Scholar]
- Altındağ, R.; Şengün, N. Physical and Mechanical Properties of Dolomite; Technical Report; Natural Stones Technology Laboratory, Mining Engineering Department, Engineering Faculty, Süleyman Demirel University: Isparta, Turkey, 2019. (In Turkish) [Google Scholar]
- Ekincioglu, G.; Altindag, R. Investigation of changes in noise levels of boron carbide doped circular saws in granite cutting. Aksaray J. Sci. Eng. 2019, 3, 62–74. [Google Scholar] [CrossRef]
- Remar Stone and Marble. Available online: www.remarstone.com (accessed on 9 January 2022).
- Demircioğlu Marble Co., Ltd. Available online: www.demircioglumermer.com.tr (accessed on 9 January 2022).
- HP Marble. Available online: www.hpmarble.com.tr (accessed on 9 January 2022).
- Sandal Marble. Available online: www.sandalmarble.com (accessed on 9 January 2022).
- Bandirma Marble Industry Inc. Available online: www.banmarble.com (accessed on 9 January 2022).
- Adeli, H.; Park, H.S. Optimization of structures by neural dynamics. Neural Netw. 1995, 8, 769–781. [Google Scholar] [CrossRef]
- Adeli, H.; Kim, H. Cost optimization of composite floors using the neural dynamics model. Commun. Numer. Methods Eng. 2001, 17, 771–787. [Google Scholar] [CrossRef]
- Mayorga, R.V.; Arriaga, M. Non-linear global optimization via parameterization and inverse function approximation: An artificial neural networks approach. Int. J. Neural Syst. 2007, 17, 353–368. [Google Scholar] [CrossRef] [PubMed]
- Saravanan, K.; Sasithra, S. Review on classification based on artificial neural networks. Int. J. Ambient Syst. Appl. 2014, 2, 11–18. [Google Scholar] [CrossRef]
- Singh, R.; Kainthola, A.; Singh, T.N. Estimation of elastic constant of rocks using an ANFIS approach. Appl. Soft Comput. 2012, 12, 40–45. [Google Scholar] [CrossRef]
- Lawal, A.I.; Idris, M.A. An artificial neural network-based mathematical model for the prediction of blast-induced ground vibrations. Int. J. Environ. Stud. 2020, 77, 318–334. [Google Scholar] [CrossRef]
- Das, S.K. Artificial neural networks in geotechnical engineering: Modeling and application issues. Metaheuristics Water Geotech. Transp. Eng. 2013, 5, 231–267. [Google Scholar] [CrossRef]
- Verma, A.K.; Jha, M.K.; Gautam, P.K.; Mishra, A.K.; Vardhan, H.; Singh, S.K. Prediction of thermal conductivity and damage in Indian Jalore granite for design of underground research laboratory. Neural Comput. Appl. 2021, 33, 13183–13192. [Google Scholar] [CrossRef]
- Hosseini, S.A.; Tavana, A.; Abdolahi, S.M.; Darvishmaslak, S. Prediction of blast-induced ground vibrations in quarry sites: A comparison of GP, RSM and MARS. Soil Dyn. Earthq. Eng. 2019, 119, 118–129. [Google Scholar] [CrossRef]
- Faradonbeh, R.S.; Monjezi, M. Prediction and minimization of blast-induced ground vibration using two robust meta-heuristic algorithms. Eng. Comput. 2017, 33, 835–851. [Google Scholar] [CrossRef]
- Momeni, E.; Nazir, R.; Armaghani, D.J.; Maizir, H. Prediction of pile bearing capacity using a hybrid genetic algorithm-based ANN. Measurement 2014, 57, 122–131. [Google Scholar] [CrossRef]
- Monjezi, M.; Bahrami, A.; Varjani, A.Y.; Sayadi, A.R. Prediction and controlling of flyrock in blasting operation using artificial neural network. Arab. J. Geosci. 2011, 4, 421–425. [Google Scholar] [CrossRef]
- Kanungo, D.P.; Arora, M.K.; Sarkar, S.; Gupta, R.P. A comparative study of conventional, ANN black box, fuzzy and combined neural and fuzzy weighting procedures for landslide susceptibility zonation in Darjeeling Himalayas. Eng. Geol. 2006, 85, 347–366. [Google Scholar] [CrossRef]



| Independent Variable | Rock Type | Number of Datasets, n | Empirical Formula | R2 | Reference |
|---|---|---|---|---|---|
| WWA (mm) | Basalt, Granite, Limestone, Travertine, İgnimbrite | 13 | * | 0.92 | [18] |
| AIV (%) | * | 0.91 | |||
| SHV (−) | Limestone, Marble, Basalt, Sandstone | 6 | 0.66 | [19] | |
| SHV (−) | Diorite Quartzite Sandstone Granodiorite Basalt Limestone Trachyte Travertine Andesite, Tuff Marble | 19 | 0.92 | [20] | |
| Vp (km/s) | 0.85 | ||||
| PLS (MPa) | 0.76 | ||||
| SHRV (−) | 0.91 | ||||
| ne (%) | 0.89 | ||||
| PLS (MPA) | Marble, Travertine | 14 | 0.85 | [21] | |
| SHV (−) | 0.75 | ||||
| CAI (−) | Marble | 15 | 0.83 | [22] | |
| CD (mm) | Marble, Limestone, Sandstone, Travertine, Granite, Andesite, Diabase, Tuff, Marl | 42 | * | 0.78 | [23] |
| WWA (mm) | Limestone, Travertine, Dolomite, Granite, Marble, Andesite, Serpentine, Latite, Autoclaved Aerated Concrete, Briquette | 32 | * | 0.94 | [24] |
| γd (kN/m3) | 0.81 | ||||
| ne (+) | 0.83 | ||||
| SHRV (−) | 0.39 | ||||
| SHV (−) | 0.70 | ||||
| Vp (km/s) | 0.54 | ||||
| UCS (MPa) | 0.70 | ||||
| UCS (MPa) | Tuff, Andesite, Granite, Marble, Dolomite, Travertine | 20 | 0.89 | [25] | |
| SHRV (−) | 0.85 | ||||
| wa (%) | 0.41 | ||||
| Vp (km/s) | 0.77 | ||||
| ρd (g/cm3) | 0.45 | ||||
| γd (kN/m3) | Tuff, Andesite, Basalt, sandstone, limestone | 22 | 0.88 | [26] | |
| wa (%) | 0.94 | ||||
| UCS (MPa) | 0.65 |
| ρd (g/cm3) | wa (%) | SHV (−) | Vp (km/s) | UCS (MPa) | BAV (cm3/50cm2) | n | Reference |
|---|---|---|---|---|---|---|---|
| 1.33–3.07 | 0.19–27.41 | NR | 1.88–6.17 | 11.65–150.68 | 5.58–87.02 | 13 | [18] |
| 2.52–2.72 | NR | 53.05–63.09 | NR | 40.10–111.51 | 13.25–28.25 | 6 | [19] |
| NR | NR | 11.00–82.00 | 1.47–6.75 | 6.20–239.00 | 5.00–181.60 | 19 | [20] |
| 2.36–2.70 | 0.10–2.09 | 40.70–66.50 | NR | NR | 6.21–20.30 | 14 | [21] |
| 1.51–2.93 | 0.02–17.35 | 14.60–110.20 | NR | 13.60–256.40 | 3.05–28.58 | 42 | [23] |
| 2.23–2.80 | 0.09–4.34 | 21.70–73.50 | 4.55–7.14 | 32.37–253.97 | 6.83–89.32 | 30 | [24] |
| 1.41–2.81 | 0.27–24.43 | NR | 2.03–6.03 | 10.50–188.13 | 1.62–35.11 | 20 | [25] |
| 2.10–2.71 | NR | 36.00–67.00 | NR | 42.00–126.80 | 6.84–27.70 | 32 | [26] |
| 2.76–2.86 | 0.04–0.15 | 36.98–51.65 | NR | 67.70–159.21 | 18.01–34.01 | 12 | [39] |
| 1.40 | 23.00 | NR | 1.80 | 9.00 | 48.00 | 1 | [40] |
| 2.59–2.76 | 0.14–3.40 | NR | NR | 62.40–65.00 | 18.35–30.48 | 2 | [41] |
| 2.55–2.80 | 0.61–2.91 | NR | NR | 90.20–93.40 | 21.70–25.50 | 2 | [42] |
| 2.65–2.73 | 0.03–1.57 | 49.56–65.14 | 4.94–6.47 | 50.70–169.80 | 2.89–14.51 | 18 | [43] |
| 2.70 | 0.18 | NR | 5.92 | NR | 18.47 | 1 | [44] |
| 1.25–2.68 | 0.32–28.23 | NR | 2.02–6.21 | 7.57–141.56 | 5.21–46.74 | 22 | [45] |
| 1.34–2.68 | 0.11–25.51 | NR | 1.33–5.21 | 5.84–59.90 | 14.55–80.85 | 17 | [46] |
| 2.69 | 0.22 | NR | 6.47 | 109.70 | 8.86 | 1 | [47] |
| 2.72–2.75 | 0.10–0.90 | NR | NR | 61.20–184.70 | 10.30–24.60 | 8 | [48] |
| 2.71 | 0.11 | NR | 5.64 | 81.80 | 10.28 | 1 | [49] |
| 2.61 | 1.29 | NR | 5.96 | 99.00 | 9.13 | 1 | [50] |
| 1.09–1.73 | 13.26–39.34 | NR | 1.80–3.00 | 2.75–87.50 | 15.50–92.00 | 9 | [51] |
| 2.63–2.67 | 0.87–1.81 | NR | 5.22–5.83 | 121.60–158.40 | 6.12–7.47 | 3 | [52] |
| 2.72 | 0.02 | NR | NR | 100.40 | 11.01 | 1 | [53] |
| 2.84 | 0.22 | NR | 5.11 | 179.40 | 12.43 | 1 | [54] |
| 2.62 | 0.42 | 90.80 | NR | 206.13 | 7.64 | 1 | [55] |
| 2.74 | 0.16 | 57.20 | NR | 69.84 | 11.80 | 1 | [56] |
| 2.71 | 0.25 | NR | NR | 69.55 | 12.65 | 1 | [57] |
| 2.69–2.70 | 0.19–0.22 | NR | 4.73–6.07 | 72.35–97.00 | 10.55–15.02 | 3 | [58] |
| 2.60 | 0.81 | NR | 4.27 | 117.08 | 20.57 | 1 | [59] |
| 2.14–2.72 | 0.06–5.05 | NR | 5.25–6.40 | 57.10–110.70 | 8.59–27.70 | 4 | [60] |
| Dataset No. | Independent Variable | Number of Datasets, n | Additional Information |
|---|---|---|---|
| Set 1 | ρd, wa, SHV | 115 | ρd = 1.510–2.929 g/cm3 wa = 0.023–17.35% SHV = 14.60–110.20 BAV = 2.89–89.32 cm3/50cm2 |
| Set 2 | ρd, wa, Vp | 145 | ρd = 1.087–3.070 g/cm3 wa = 0.023–39.34% Vp = 1.33–7.14 km/s BAV = 1.62–92.00 cm3/50cm2 |
| Set 3 | ρd, wa, UCS | 213 | ρd = 1.087–3.070 g/cm3 wa = 0.023–39.34% UCS = 2.75–256.40 MPa BAV = 1.62–92.00 cm3/50cm2 |
| Set 4 | ρd, wa | 230 | ρd = 1.087–3.070 g/cm3 wa = 0.023–39.34% BAV= 1.62–92.00 cm3/50cm2 |
| Set 5 | ρd, wa, SHV, UCS | 101 | ρd = 1.510–2.929 g/cm3 wa = 0.023–17.35% SHV = 14.60–110.20 UCS = 13.60–256.40 MPa BAV = 2.89–89.32 cm3/50cm2 |
| Set 6 | ρd, wa, SHV, Vp | 48 | ρd = 2.222–2.797 g/cm3 wa = 0.023–4.34% SHV = 21.70–73.50 Vp = 4.55–7.14 km/s BAV = 2.89–89.32 cm3/50cm2 |
| Set 7 | wa, Vp | 145 | wa = 0.023–4.34% Vp = 1.33–7.14 km/s BAV = 1.62–92.00 cm3/50cm2 |
| Set 8 | ρd, UCS | 251 | ρd = 1.087–3.070 g/cm3 UCS = 2.75–256.40 MPa BAV = 1.62–92.00 cm3/50cm2 |
| Set 9 | SHV, Vp, UCS | 67 | SHV = 11.00–82.00 Vp = 1.47–7.14 km/s UCS = 6.20–253.97 MPa BAV = 2.89–181.6 cm3/50cm2 |
| Set 10 | ρd, Vp, UCS | 142 | ρd = 1.087–3.070 g/cm3 Vp = 1.33–7.14 km/s UCS = 2.75–253.97 MPa BAV = 1.62–92.00 cm3/50cm2 |
| Set 11 | wa, SHV, UCS | 101 | wa = 0.023–17.35% SHV = 14.60–110.20 UCS = 13.60–256.40 MPa BAV = 2.89–89.32 cm3/50cm2 |
| Set 12 | wa, SHV | 115 | wa = 0.023–17.35% SHV = 14.60–110.20 BAV = 2.89–89.32 cm3/50cm2 |
| Set 13 | wa, UCS | 213 | wa = 0.023–39.34% UCS = 2.75–256.40 Mpa BAV = 1.62–92.00 cm3/50cm2 |
| Parameter | BAV | Number of Datasets, n | |
|---|---|---|---|
| Pearson’s Correlation Coefficient, r | Spearman’s Rho | ||
| ρd | −0.589 | −0.366 | 268 |
| wa | 0.674 | 0.469 | 230 |
| SHV | −0.603 | −0.742 | 172 |
| Vp | −0.529 | −0.512 | 164 |
| UCS | −0.531 | −0.680 | 270 |
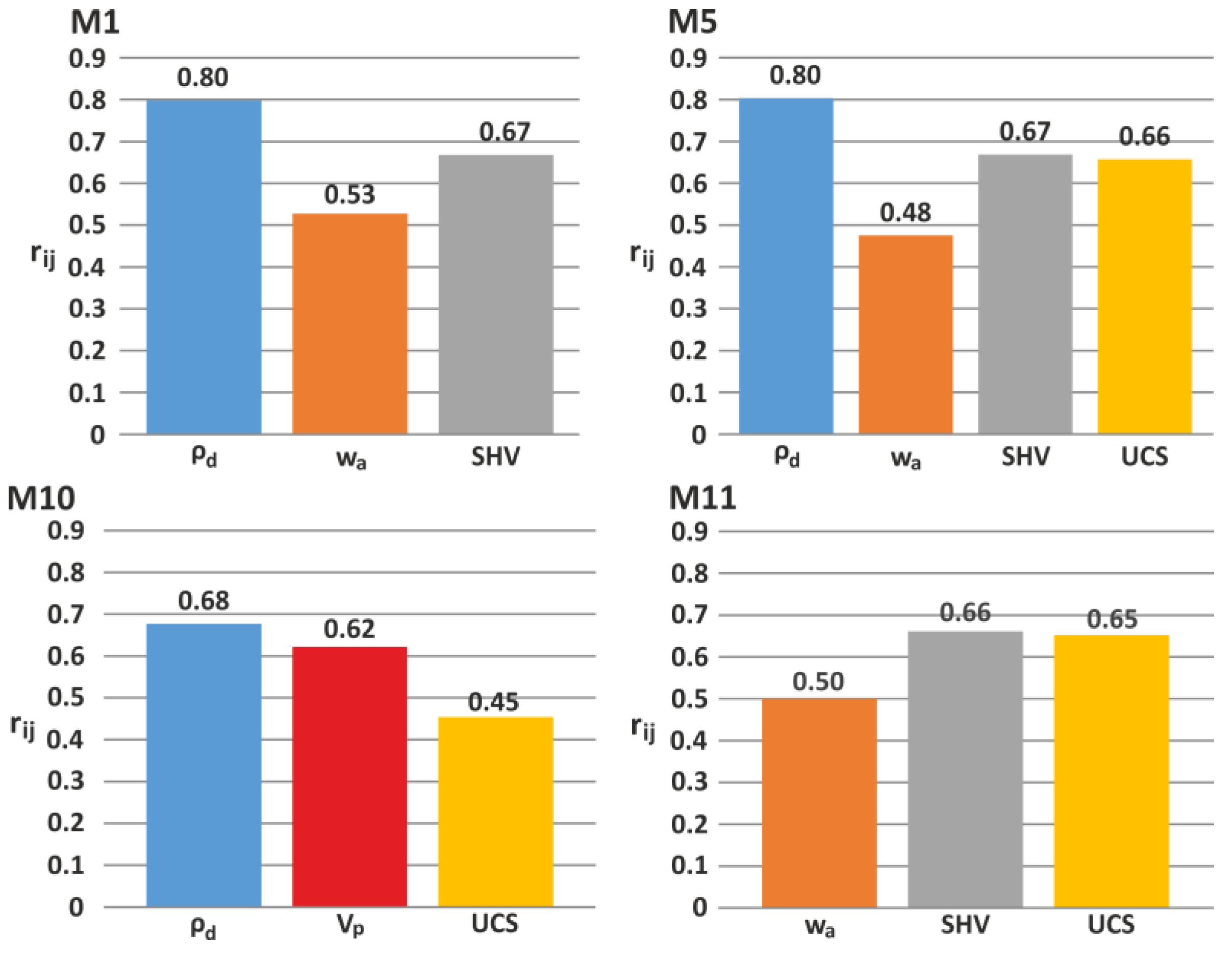
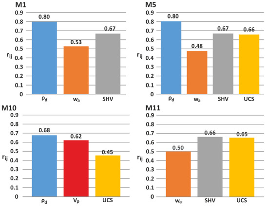
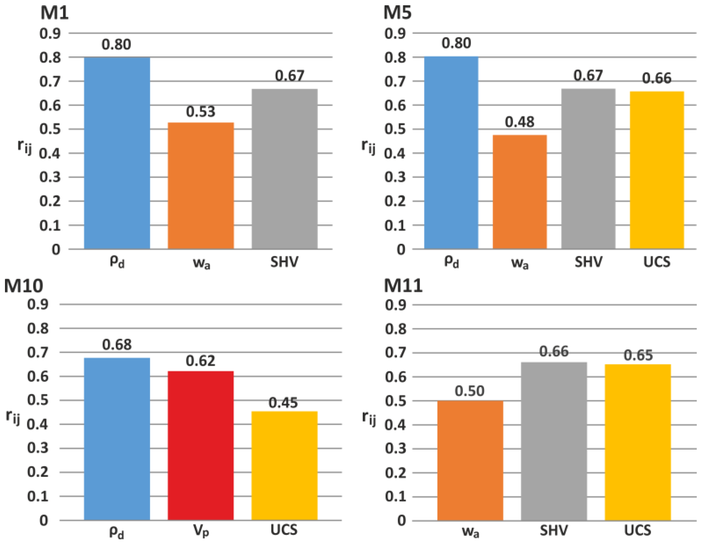
| Model No. | ANN Architecture | Independent Variables | Number of Datasets, n | R2 | RMSE | VAF |
|---|---|---|---|---|---|---|
| M1 | 3–6–1 | ρd, wa, SHV | 115 | 0.87 | 4.159 | 87.06 |
| M2 | 3–10–1 | ρd, wa, Vp | 145 | 0.80 | 8.202 | 80.23 |
| M3 | 3–9–1 | ρd, wa, UCS | 213 | 0.79 | 7.591 | 78.57 |
| M4 | 2–14–1 | ρd, wa | 230 | 0.60 | 9.972 | 59.78 |
| M5 | 4–6–1 | ρd, wa, SHV, UCS | 101 | 0.89 | 3.997 | 89.11 |
| M6 | 4–4–1 | ρd, wa, SHV, Vp | 48 | 0.96 | 3.260 | 95.56 |
| M7 | 2–8–1 | ρd, Vp | 145 | 0.71 | 10.111 | 69.97 |
| M8 | 2–10–1 | ρd, UCS | 251 | 0.68 | 8.561 | 68.01 |
| M9 | 3–4–1 | SHV, Vp, UCS | 67 | 0.97 | 5.626 | 96.81 |
| M10 | 3–10–1 | ρd, Vp, UCS | 142 | 0.87 | 6.842 | 86.51 |
| M11 | 3–6–1 | wa, SHV, UCS | 101 | 0.88 | 4.311 | 87.35 |
| M12 | 2–10–1 | wa, SHV | 115 | 0.84 | 4.643 | 83.76 |
| M13 | 2–12–1 | wa, UCS | 213 | 0.69 | 9.139 | 68.26 |
| Model No. | Empirical Formula | R2 |
|---|---|---|
| M1 | 0.87 | |
| M5 | 0.89 | |
| M10 | 0.87 | |
| M11 | 0.88 |
| Model 1, M1 |
|---|
| Normalization functions |
| Model 5, M5 |
| Normalization functions |
| Model 10, M10 |
| Normalization functions |
| Model 11, M11 |
| Normalization function |
Publisher’s Note: MDPI stays neutral with regard to jurisdictional claims in published maps and institutional affiliations. |
© 2022 by the authors. Licensee MDPI, Basel, Switzerland. This article is an open access article distributed under the terms and conditions of the Creative Commons Attribution (CC BY) license (https://creativecommons.org/licenses/by/4.0/).
Share and Cite
Strzałkowski, P.; Köken, E. Assessment of Böhme Abrasion Value of Natural Stones through Artificial Neural Networks (ANN). Materials 2022, 15, 2533. https://doi.org/10.3390/ma15072533
Strzałkowski P, Köken E. Assessment of Böhme Abrasion Value of Natural Stones through Artificial Neural Networks (ANN). Materials. 2022; 15(7):2533. https://doi.org/10.3390/ma15072533
Chicago/Turabian StyleStrzałkowski, Paweł, and Ekin Köken. 2022. "Assessment of Böhme Abrasion Value of Natural Stones through Artificial Neural Networks (ANN)" Materials 15, no. 7: 2533. https://doi.org/10.3390/ma15072533
APA StyleStrzałkowski, P., & Köken, E. (2022). Assessment of Böhme Abrasion Value of Natural Stones through Artificial Neural Networks (ANN). Materials, 15(7), 2533. https://doi.org/10.3390/ma15072533
