Study on Mechanical Behavior and Energy Mechanism of Sandstone under Chemical Corrosion
Abstract
:1. Introduction
2. Experimental Methodology
3. Results
3.1. Analysis of Stress–Strain Curve
3.2. Analysis of Mechanical Parameter
3.3. Analysis of Characteristic Stress
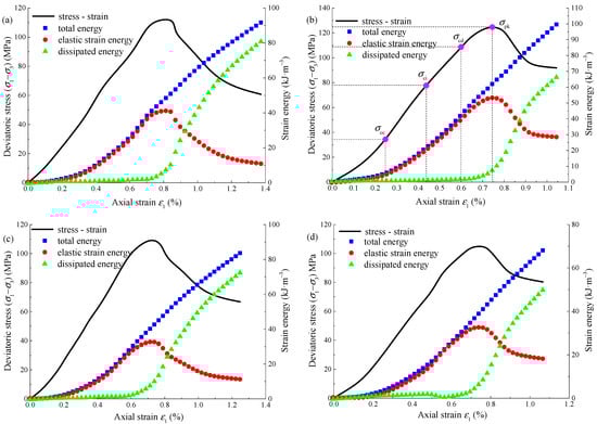
3.4. Analysis of Energy Mechanism
- (1)
- Before the closure stress σcc, the three kinds of energy increase slowly, because the initial crack is compressed and closed, the initial stiffness is relatively small and the energy conversion rate is low.
- (2)
- When the axial stress exceeds the closure stress σcc, the specimen comes to the elastic deformation stage, the total energy and elastic strain energy gradually increase, and the two values are close, and the dissipated energy remains basically unchanged and always remains at a low value. The reason is that before the expansion stress σcd, the damage degree is light, and the work done by the external force is mainly transformed into the elastic strain energy stored in the specimen.
- (3)
- When the axial stress exceeds the dilatancy stress σcd, the specimen enters the unstable crack propagation stage. The damage degree and plastic deformation increase greatly, the dissipated energy begins to accelerate, the curve slope gradually increases, and the slope of the elastic strain energy curve begins to decrease, but the elastic strain energy is still the main stage. When the axial stress reaches the peak strength σpk, the elastic strain energy releases rapidly, the dissipated energy increases rapidly.
4. Establishment and Verification of Damage Equation
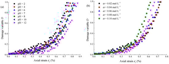
5. Analysis of Corrosion Mechanism of Na2SO4
6. Discussion
7. Conclusions
- With the gradual increase of pH in the Na2SO4 solution, the basic mechanical parameters (peak strength, peak strain, elastic modulus, cohesion, and internal friction angle) and characteristic stress parameters (closure stress, initiation stress, and dilatancy stress) of sandstone show the variation law of quadratic function, and the extreme values are taken when pH = 7. The influence degree of different pHs on the mechanical parameters is as follows: strong acid environment (pH ≤ 4) > strong alkali environment (pH ≥ 10) > weak acid environment (4 ≤ pH < 6) > weak alkali environment (8 ≤ pH < 10) > neutral environment (6 ≤ pH < 8). With the increasing concentration of the Na2SO4 solution, the basic mechanical parameters and characteristic stress parameters of sandstone change monotonically.
- With the gradual increase of pH in the Na2SO4 solution, the total energy and elastic strain energy of sandstone first increase and then decrease, while the dissipated energy shows the opposite trend. With the increasing concentration of the Na2SO4 solution, the three energies decreased gradually. Under different test conditions, the proportion of elastic energy and dissipated energy also change regularly with the pH and concentration of the Na2SO4 solution, but the change range is small.
- Under the same strain value, the damage variable of sandstone decreases first and then increases with the pH of the Na2SO4 solution, and gradually increases with the concentration. Based on the energy theory, the damage evolution equation considering the concentration of the Na2SO4 solution is established, and the rationality of the model is verified according to the test data.
- The Na2SO4 solution reacts with quartz (SiO2) on the surface of sandstone to form water-insoluble mirabilite (Na2SiO3). At the same time, Ca2+ in calcite and Fe2+ in hematite are dissolved and precipitated. With the increasing concentration of Ca2+ and Fe2+ in the solution, the damage variable increases gradually. The relationship between the two ion concentrations and the damage variable approximately satisfies a linear function.
Author Contributions
Funding
Institutional Review Board Statement
Informed Consent Statement
Data Availability Statement
Acknowledgments
Conflicts of Interest
References
- Piotr, B.; Jarosław, S.; Piotr, R.; Rafał, W.; Beata, T.; Elzbieta, H. Effect of Nano-SiO2 on the microstructure and mechanical properties of concrete under high temperature conditions. Materials 2022, 15, 166. [Google Scholar] [CrossRef]
- Su, Y.H.; Luo, B.; Luo, Z.D.; Huang, H.; Li, J.B.; Wang, D.H. Effect of Accelerators on the workability, strength, and icrostructure of ultra-high-performance concrete. Materials 2022, 15, 159. [Google Scholar] [CrossRef]
- Arindam, B.; Bikash, K.R.; Nirmal, K.N.; Sushil, S.N. Deterioration of shear strength parameters of limestone joints under simulated acid rain condition. Int. J. Rock Mech. Min. Sci. 2020, 135, 104508. [Google Scholar] [CrossRef]
- Feng, X.T.; Chen, S.L.; Zhou, H. Real-time computerized tomography (CT) experiments on sandstone damage evolution during triaxial compression with chemical corrosion. Int. J. Rock Mech. Min. Sci. 2004, 41, 181–192. [Google Scholar] [CrossRef]
- Li, S.G.; Huo, R.K.; Wang, B.; Ren, Z.Z.; Ding, Y.; Qian, M.T.; Qiu, T. Experimental study on physicomechanical properties of sandstone under acidic environment. Adv. Civ. Eng. 2018, 3, 1–15. [Google Scholar] [CrossRef] [Green Version]
- Li, S.G.; Huo, R.K.; Yoshiaki, F.J.; Ren, D.Z.; Song, Z.P. Effect of acid-temperature-pressure on the damage characteristics of sandstone. Int. J. Rock Mech. Min. Sci. 2019, 122, 104079. [Google Scholar] [CrossRef]
- Gong, C.H.; Wang, W.; Shao, J.F.; Wang, R.B.; Feng, X.W. Effect of water chemical corrosion on mechanical properties and failure modes of pre-fissured sandstone under uniaxial compression. Acta Geotech. 2020, 16, 1083–1099. [Google Scholar] [CrossRef]
- Lin, Y.; Zhou, K.P.; Gao, F.; Li, J.L. Damage evolution behavior and constitutive model of sandstone subjected to chemical corrosion. Bull. Eng. Geol. Environ. 2019, 78, 5991–6002. [Google Scholar] [CrossRef]
- Han, T.L.; Shi, J.P.; Cao, X.S. Fracturing and damage to sandstone under coupling effects of chemical corrosion and freeze-thaw cycles. Rock Mech. Rock Eng. 2016, 49, 4246–4255. [Google Scholar] [CrossRef]
- Han, T.L.; Shi, J.P.; Chen, Y.S.; Cao, X.S. Mechanism damage to mode-I fractured sandstone from chemical solutions and its correlation with strength characteristics. Pure Appl. Geophys. 2019, 176, 1–23. [Google Scholar] [CrossRef]
- Han, T.L.; Li, Z.H.; Shi, J.P.; Cao, X.S. Mechanical characteristics and freeze-thaw damage mechanisms of mode-I cracked sandstone from the three gorges reservoir region under different chemical solutions. Arab. J. Geosci. 2021, 14, 1–14. [Google Scholar] [CrossRef]
- Yuan, W.; Liu, X.R.; Fu, Y. Chemical thermodynamics and chemical kinetics analysis of sandstone dissolution under the action of dry-wet cycles in acid and alkaline environments. Bull. Eng. Geol. Environ. 2017, 78, 793–801. [Google Scholar] [CrossRef]
- Li, X.P.; Qu, D.X.; Luo, Y.; Ma, R.Q.; Xu, K.; Wang, G. Damage evolution model of sandstone under coupled chemical solution and freeze-thaw process. Cold Reg. Sci. Technol. 2019, 162, 88–95. [Google Scholar] [CrossRef]
- Qu, D.X.; Li, D.K.; Li, X.P.; Luo, Y.; Xu, K. Damage evolution mechanism and constitutive model of freeze- thaw yellow sandstone in acidic environment. Cold Reg. Sci. Technol. 2018, 155, 174–183. [Google Scholar] [CrossRef]
- Gutiérrez, L.; Jordi, C.; Ignasi, Q.; Josep, M.S. Effect of acid mine drainage (AMD) on the alteration of hydrated Portland cement and calcareous sandstone. Appl. Geochem. 2021, 126, 104900. [Google Scholar] [CrossRef]
- Gao, F.; Wang, Q.L.; Deng, H.W.; Zhang, J.; Tian, W.G.; Ke, B. Coupled effects of chemical environments and freeze-thaw cycles on damage characteristics of red sandstone. Bull. Eng. Geol. Environ. 2017, 76, 1481–1490. [Google Scholar] [CrossRef]
- Xie, S.Y.; Shao, J.F.; Xu, W.Y. Influence of chemical degradation on mechanical behaviour of a limestone. Int. J. Rock Mech. Min. Sci. 2011, 48, 741–747. [Google Scholar] [CrossRef]
- Fang, X.Y.; Xu, J.Y.; Wang, P.X. Compressive failure characteristics of yellow sandstone subjected to the coupling effects of chemical corrosion and repeated freezing and thawing. Eng. Geol. 2018, 233, 160–171. [Google Scholar] [CrossRef]
- Li, Y. A chemical damage model of sandstone in acid solution. Int. J. Rock Mech. Min. Sci. 2003, 40, 243–249. [Google Scholar]
- Qiao, L.P.; Wan, Z.C.; Huang, A.D. Alteration of mesoscopic properties and mechanical behavior of sandstone due to hydro-physical and hydro-chemical effects. Rock Mech. Rock Eng. 2016, 50, 255–267. [Google Scholar] [CrossRef]
- Zhang, S.H.; Chen, L.; Lu, P.P.; Zhang, Y. Analysis of the energy and damage evolution rule for sandstone based on the particle flow method. Mech. Time-Depend. Mat. 2021, 151, 1–16. [Google Scholar] [CrossRef]
- Li, T.T.; Pei, X.J.; Guo, J.; Meng, M.H.; Huang, R.Q. An energy-based fatigue damage model for sandstone subjected to cyclic loading. Rock Mech. Rock Eng. 2020, 53, 5069–5079. [Google Scholar] [CrossRef]
- Zhou, Z.L.; Cai, X.; Li, X.B.; Cao, W.Z.; Du, X.M. Dynamic response and energy evolution of sandstone under coupled static-dynamic compression: Insights from experimental study into deep rock engineering applications. Rock Mech. Rock Eng. 2020, 53, 1305–1331. [Google Scholar] [CrossRef]
- Luo, Y.; Wang, G.; Li, X.P.; Liu, T.T.; Abhay, K.M.; Xu, M.G.; Xu, K. Analysis of energy dissipation and crack evolution law of sandstone under impact load. Int. J. Rock Mech. Min. Sci. 2020, 132, 104359. [Google Scholar] [CrossRef]
- Yang, S.Q. Fracturing mechanism of compressed hollow-cylinder sandstone evaluated by X-ray micro-CT scanning. Rock Mech. Rock Eng. 2018, 51, 2033–2053. [Google Scholar] [CrossRef]
- Liu, J.F.; Yang, H.Q.; Xiao, Y.; Zhou, X.P. Macro-mesoscopic fracture and strength character of pre-cracked granite under stress relaxation condition. Rock Mech. Rock Eng. 2018, 51, 1401–1412. [Google Scholar] [CrossRef]
- Zhang, S.G.; Chen, L.; Lu, P.P.; Liu, W.B. Discussion on failure mechanism and strength criterion of sandstone based on particle discrete element method. KSCE J. Civ. Eng. 2021, 5, 1–20. [Google Scholar] [CrossRef]
- Xie, H.P. Research review of the state key research development program of China: Deep rock mechanics and mining theory. J. China Coal Soc. 2019, 44, 1283–1305. (In Chinese) [Google Scholar] [CrossRef]
- Xie, H.P.; Ju, Y.; Li, L.Y. Criteria for strength and structural failure of rocks based on energy dissipation and energy release principles. Chin. J. Rock Mech. Eng. 2005, 24, 3003–3010. (In Chinese) [Google Scholar] [CrossRef]
- Xie, H.P.; Li, L.Y.; Ju, Y.; Peng, R.D. Energy mechanism of deformation and failure of rock masses. Chin. J. Rock Mech. Eng. 2008, 27, 1729–1740. (In Chinese) [Google Scholar] [CrossRef]















| Chemical Solution | Confining Pressure σ3 (MPa) | Concentration α (mol·L−1) | pH |
|---|---|---|---|
| Na2SO4 | 5/10/15/20 | 0.02 | 2/4/6/7/8/10/12 |
| 0.02/0.04/0.06/0.08/0.1 | 2 |
| Na2SO4 | Peak Strength σpk (MPa) | Peak Strain εpk (%) | Elasticity Modulus E (GPa) | Poisson’s Ratio µ | |
|---|---|---|---|---|---|
| pH | 2 | 115.71 | 0.7351 | 16.07 | 0.371 |
| 4 | 125.73 | 0.7746 | 16.71 | 0.342 | |
| 6 | 138.96 | 0.8542 | 17.42 | 0.314 | |
| 7 | 146.83 | 0.8654 | 17.98 | 0.293 | |
| 8 | 144.81 | 0.8391 | 17.73 | 0.302 | |
| 10 | 135.38 | 0.7944 | 17.05 | 0.327 | |
| 12 | 124.57 | 0.7532 | 16.49 | 0.346 | |
| α (mol·L−1) | 0.02 | 115.71 | 0.7351 | 16.07 | 0.371 |
| 0.04 | 112.14 | 0.7264 | 15.87 | 0.378 | |
| 0.06 | 101.62 | 0.7073 | 15.44 | 0.386 | |
| 0.08 | 97.04 | 0.6648 | 15.03 | 0.392 | |
| 0.10 | 86.54 | 0.6197 | 14.37 | 0.415 | |
| Na2SO4 | σcc (MPa) | σci (MPa) | σcd (MPa) | σpk (MPa) | σcc/σpk | σci/σpk | σcd/σpk | σci/σcd | |
|---|---|---|---|---|---|---|---|---|---|
| pH | 2 | 36.04 | 58.09 | 81.50 | 115.71 | 0.3115 | 0.5020 | 0.7043 | 0.3115 |
| 4 | 38.26 | 63.89 | 91.13 | 125.73 | 0.3043 | 0.5082 | 0.7248 | 0.3043 | |
| 6 | 42.55 | 72.11 | 101.08 | 138.96 | 0.3062 | 0.5189 | 0.7274 | 0.3062 | |
| 7 | 44.58 | 74.69 | 107.19 | 146.83 | 0.3036 | 0.5087 | 0.7300 | 0.3036 | |
| 8 | 43.59 | 73.85 | 105.54 | 144.81 | 0.3010 | 0.5100 | 0.7288 | 0.3010 | |
| 10 | 41.35 | 68.57 | 98.50 | 135.38 | 0.3054 | 0.5065 | 0.7276 | 0.3054 | |
| 12 | 37.89 | 62.65 | 90.48 | 124.57 | 0.3042 | 0.5029 | 0.7263 | 0.3042 | |
| α (mol·L−1) | 0.02 | 36.04 | 58.09 | 81.50 | 115.71 | 0.3115 | 0.5020 | 0.7043 | 0.3115 |
| 0.04 | 35.47 | 56.11 | 80.56 | 112.14 | 0.3214 | 0.5004 | 0.7451 | 0.3214 | |
| 0.06 | 34.36 | 53.94 | 79.66 | 101.62 | 0.3430 | 0.5308 | 0.8036 | 0.3430 | |
| 0.08 | 33.07 | 48.46 | 74.83 | 97.04 | 0.3408 | 0.4994 | 0.7711 | 0.3408 | |
| 0.10 | 30.84 | 44.31 | 67.72 | 86.54 | 0.3564 | 0.5120 | 0.7825 | 0.3564 | |
| Na2SO4 | U (kJ·m−3) | Ue (kJ·m−3) | Ud (kJ·m−3) | Ue/U | Ud/U | |
|---|---|---|---|---|---|---|
| pH | 2 | 51.94 | 43.63 | 8.31 | 0.84 | 0.16 |
| 4 | 58.69 | 51.06 | 7.63 | 0.87 | 0.13 | |
| 6 | 65.82 | 59.22 | 6.6 | 0.9 | 0.10 | |
| 7 | 80.51 | 74.06 | 6.45 | 0.92 | 0.08 | |
| 8 | 74.56 | 67.84 | 6.72 | 0.91 | 0.09 | |
| 10 | 64.91 | 57.13 | 7.78 | 0.88 | 0.12 | |
| 12 | 62.95 | 53.26 | 8.69 | 0.86 | 0.14 | |
| α (mol·L−1) | 0.02 | 51.94 | 43.63 | 8.31 | 0.84 | 0.16 |
| 0.04 | 44.70 | 36.65 | 8.05 | 0.82 | 0.18 | |
| 0.06 | 43.67 | 35.81 | 7.86 | 0.82 | 0.18 | |
| 0.08 | 37.74 | 30.57 | 7.17 | 0.81 | 0.19 | |
| 0.10 | 30.10 | 23.78 | 6.32 | 0.79 | 0.21 | |
| Concentration α (mol·L−1) | Parameters | |||
|---|---|---|---|---|
| λ | β | B | n | |
| 0.02 | 0.5381 | −4.5465 | 1.8584 | 0.0106 |
| 0.04 | 0.6647 | −4.7456 | 1.5044 | 0.0087 |
| 0.06 | 0.7299 | −5.0459 | 1.3701 | 0.0064 |
| 0.08 | 0.7443 | −5.1779 | 1.3435 | 0.0056 |
| 0.10 | 0.7655 | −5.2211 | 1.3063 | 0.0054 |
Publisher’s Note: MDPI stays neutral with regard to jurisdictional claims in published maps and institutional affiliations. |
© 2022 by the authors. Licensee MDPI, Basel, Switzerland. This article is an open access article distributed under the terms and conditions of the Creative Commons Attribution (CC BY) license (https://creativecommons.org/licenses/by/4.0/).
Share and Cite
Chen, L.; Jia, B.; Zhang, S. Study on Mechanical Behavior and Energy Mechanism of Sandstone under Chemical Corrosion. Materials 2022, 15, 1613. https://doi.org/10.3390/ma15041613
Chen L, Jia B, Zhang S. Study on Mechanical Behavior and Energy Mechanism of Sandstone under Chemical Corrosion. Materials. 2022; 15(4):1613. https://doi.org/10.3390/ma15041613
Chicago/Turabian StyleChen, Lei, Baoxin Jia, and Shuguang Zhang. 2022. "Study on Mechanical Behavior and Energy Mechanism of Sandstone under Chemical Corrosion" Materials 15, no. 4: 1613. https://doi.org/10.3390/ma15041613
APA StyleChen, L., Jia, B., & Zhang, S. (2022). Study on Mechanical Behavior and Energy Mechanism of Sandstone under Chemical Corrosion. Materials, 15(4), 1613. https://doi.org/10.3390/ma15041613
