Investigation of Temperature-Dependent Magnetic Properties and Coefficient of Thermal Expansion in Invar Alloys
Abstract
:1. Introduction
2. Experimental Section
3. Results and Discussion
3.1. VSM Studies
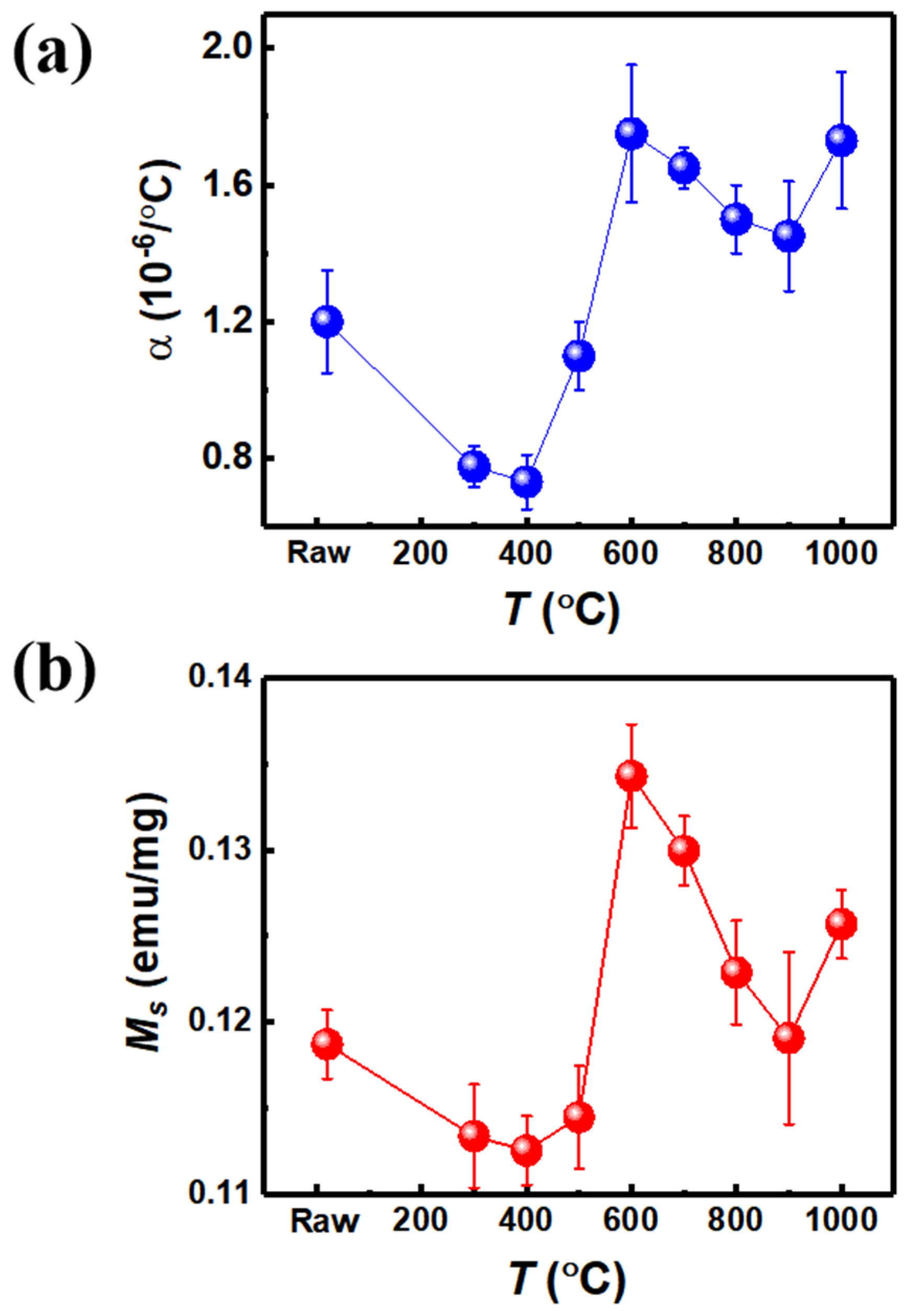
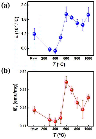
3.2. Comparison of Thermal Expansion Coefficient α and Saturation Magnetization Ms
3.3. MFM Studies
3.4. DTA Studies
4. Conclusions
Author Contributions
Funding
Institutional Review Board Statement
Informed Consent Statement
Data Availability Statement
Conflicts of Interest
References
- Guillaume, C.E. Invar and its applications. Nature 1904, 71, 134–139. [Google Scholar] [CrossRef] [Green Version]
- Sahoo, A.; Medicherla, V.R.R. Fe-Ni Invar alloys: A review. Mater. Today Proc. 2021, 43, 2242–2244. [Google Scholar] [CrossRef]
- Yuan, J.P.; Yi, D.Q.; Yu, Z.M.; Huang, Z.C.; Wu, B.T.; Zhang, X. Influence of the deformation and heat treatment on the microstructures and properties of Invar alloy. Heat Treat. Met. 2005, 30, 50–53. [Google Scholar]
- Liu, J. Application and development of low expansion alloys. Met. Funct. Mater. 2007, 14, 33–37. [Google Scholar]
- Iwase, A.; Hamatani, Y.; Mukomoto, Y.; Ishikawa, N.; Chimi, Y.; Kambara, T.; Muller, C.; Neumann, R.; Ono, F. Anomalous shift of Curie temperature in iron-nickel Invar alloys by high-energy heavy ion irradiation. Nucl. Instrum. Methods B 2003, 209, 323–328. [Google Scholar] [CrossRef]
- Matsushima, Y.; Sun, N.Q.; Kanamitsu, H.; Matsushita, M.; Iwase, A.; Chimi, Y.; Ishikawa, N.; Kambara, T.; Ono, F. Pressure dependence of the irradiation-induced ferromagnetism in Fe-Ni invar alloys. J. Magn. Magn. Mater. 2006, 298, 14–18. [Google Scholar] [CrossRef]
- Goria, P.; Martinez-Blanco, D.; Blanco, J.A.; Smith, R.I. Neutron powder thermo-diffraction in mechanically alloyed Fe64Ni36 invar alloy. J. Alloy. Compd. 2010, 495, 495–498. [Google Scholar] [CrossRef]
- Nickel and Its Uses; Nickel Magazine, 2011; Volume 26. Available online: https://nickelinstitute.org/nickel-magazine/nickel-magazine-vol-26-no-1-2011/ (accessed on 9 December 2021).
- Shiga, M. Invar alloys. Curr. Opin. Solid State Mater. 1996, 1, 340–348. [Google Scholar] [CrossRef]
- Matsushita, M.; Endo, S.; Miura, K.; Ono, F. Pressure induced magnetic phase transition in Fe-Ni Invar alloy. J. Magn. Magn. Mater. 2003, 265, 352–356. [Google Scholar] [CrossRef]
- Vinogradov, A.; Hashimoto, S.; Kopylov, V.I. Enhanced strength and fatigue life of ultra-fine grain Fe-36Ni Invar alloy. Mater. Sci. Eng. A 2003, 355, 277–285. [Google Scholar] [CrossRef]
- Pan, T.; Zhu, J.; Su, H.; Yang, C.F. Ni segregation and thermal stability of reversed austenite in a Fe-Ni alloy processed by QLT heat treatment. Rare Met. 2015, 34, 776–782. [Google Scholar] [CrossRef]
- Chen, L.; Zhang, J.F.; Zhang, L.; Meng, L. Textures of high-strength and low-expansion Fe-Ni alloy wires during cold-drawing processes. Int. J. Miner. Metall. Mater. 2009, 16, 667–671. [Google Scholar]
- James, J.D.; Spittle, J.A.; Brown, S.G.R.; Evans, R.W. A review of measurement techniques for the thermal expansion coefficient of metals and alloys at elevated temperatures. Meas. Sci. Technol. 2001, 12, R1–R15. [Google Scholar] [CrossRef]
- Homenko, O.A. Origin and specific features of invar anomalies of physical properties: Fe-Ni alloys with an FCC lattice. Phys. Met. Metallogr. 2007, 104, 146–156. [Google Scholar] [CrossRef]
- Miodownik, A.P. The Invar behaviour of iron-nickel-platinum alloys. J. Magn. Magn. Mater. 1979, 10, 126–135. [Google Scholar] [CrossRef]
- Shimitsu, M. Magnetovolume effects in itinerant electron ferromagnets. J. Magn. Magn. Mater. 1980, 20, 47–55. [Google Scholar]
- Ducki, K.J. Structure and Precipitation Strengthening in a High Tempering Fe-Ni Alloy. Arch. Mater. Sci. Eng. 2007, 28, 203–210. [Google Scholar]
- Van Schilfgaarde, M.; Abrikosov, I.A.; Johansson, B. Origin of the Invar effect in iron-nickel alloys. Nature 1999, 400, 46–49. [Google Scholar] [CrossRef]
- Jiang, X.; Li, L.; Zhai, Q. Effect of annealing process on microstructure and properties of hot-rolled plate of Fe-36Ni invar alloy. Shanghai Met. 2012, 34, 14–18. [Google Scholar]
- Muraoka, Y.; Okuda, H.; Shiga, M.; Nakamura, Y. Magnetic Properties and Magnetovolume Effects in GdxY1-xCo2 (x ≤ 0.2) Cluster Glasses. J. Phys. Soc. Jpn. 1981, 50, 2573. [Google Scholar] [CrossRef]
- Dai, D.S.; Qian, K.M. (Eds.) Ferromagnetism, Science Press (Version 2) Handbook; Science Press: Beijing, China, 2017; ISBN 9787030530394. [Google Scholar]




| C | Si | Mn | Al | Cu | Ni | Fe |
|---|---|---|---|---|---|---|
| 0.02 | 0.15 | 0.29 | 0.016 | 0.01 | 35.71 | 63.79 |
| Heat Treatment Conditions | XRD Phase | Ms (emu/mg) | α (10−6/°C) |
|---|---|---|---|
| Raw | fcc | 0.1187 | 1.2 |
| T300 | fcc | 0.1133 | 0.77 |
| T400 | fcc | 0.1125 | 0.73 |
| T500 | fcc | 0.1144 | 1.1 |
| T600 | fcc | 0.1342 | 1.75 |
| T700 | fcc | 0.1299 | 1.65 |
| T800 | fcc | 0.1228 | 1.5 |
| T900 | fcc | 0.1190 | 1.45 |
| T1000 | fcc | 0.1256 | 1.73 |
Publisher’s Note: MDPI stays neutral with regard to jurisdictional claims in published maps and institutional affiliations. |
© 2022 by the authors. Licensee MDPI, Basel, Switzerland. This article is an open access article distributed under the terms and conditions of the Creative Commons Attribution (CC BY) license (https://creativecommons.org/licenses/by/4.0/).
Share and Cite
Huang, L.; Zhou, Y.; Guo, T.; Han, D.; Gu, Y.; Song, C.; Pan, F. Investigation of Temperature-Dependent Magnetic Properties and Coefficient of Thermal Expansion in Invar Alloys. Materials 2022, 15, 1504. https://doi.org/10.3390/ma15041504
Huang L, Zhou Y, Guo T, Han D, Gu Y, Song C, Pan F. Investigation of Temperature-Dependent Magnetic Properties and Coefficient of Thermal Expansion in Invar Alloys. Materials. 2022; 15(4):1504. https://doi.org/10.3390/ma15041504
Chicago/Turabian StyleHuang, Lin, Yongjian Zhou, Tingwen Guo, Dong Han, Yu Gu, Cheng Song, and Feng Pan. 2022. "Investigation of Temperature-Dependent Magnetic Properties and Coefficient of Thermal Expansion in Invar Alloys" Materials 15, no. 4: 1504. https://doi.org/10.3390/ma15041504
APA StyleHuang, L., Zhou, Y., Guo, T., Han, D., Gu, Y., Song, C., & Pan, F. (2022). Investigation of Temperature-Dependent Magnetic Properties and Coefficient of Thermal Expansion in Invar Alloys. Materials, 15(4), 1504. https://doi.org/10.3390/ma15041504

