Study of the Optimal Composition and Storage Conditions of the Fricke–XO–Pluronic F–127 Radiochromic Dosimeter
Abstract
1. Introduction
2. Materials and Methods
2.1. Preparation of Dosimeter
2.2. Storage Conditions of Fricke–XO–Pluronic F–127
2.3. Irradiation of Samples
2.4. Stability of Samples after Irradiation
2.5. UV-Vis Measurements
3. Results and Discussion
3.1. Stability of Non-Irradiated Fricke–XO–Pluronic F–127
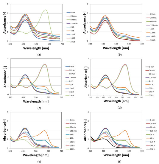
3.2. Stability of Irradiated Fricke–XO–Pluronic F–127
3.3. Optimal Composition of Fricke–XO–Pluronic F–127
3.4. Calibration of Fricke–XO–Pluronic F–127 with a Medical Accelerator
4. Conclusions
Author Contributions
Funding
Institutional Review Board Statement
Informed Consent Statement
Data Availability Statement
Conflicts of Interest
References
- Gore, J.C.; Kang, Y.S.; Schultz, R.J. Measurement of radiation dose distributions by nuclear magnetic resonance (NMR) imaging. Phys. Med. Biol. 1984, 29, 1189–1197. [Google Scholar] [CrossRef] [PubMed]
- Gore, J.C.; Kang, Y.S.; Schultz, R.J. Measurement of radiation dose distributions by NMR imaging. Magn. Reson. Imaging 1984, 2, 244. [Google Scholar] [CrossRef]
- Baldock, C.; De Deene, Y.; Doran, S.; Ibbott, G.; Jirasek, A.; Lepage, M.; McAuley, K.B.; Oldham, M.; Schreiner, L.J. Polymer gel dosimetry. Phys. Med. Biol. 2010, 55, R1–R63. [Google Scholar] [CrossRef] [PubMed]
- Schreiner, L.J. Review of Fricke gel dosimeters. J. Phys. Conf. Ser. 2004, 3, 9–21. [Google Scholar] [CrossRef]
- Liosi, G.M.; Dondi, D.; Vander Griend, D.A.; Lazzaroni, S.; D’Agostino, G.; Mariani, M. Fricke-gel dosimeter: Overview of Xylenol Orange chemical behavior. Radiat. Phys. Chem. 2017, 140, 74–77. [Google Scholar] [CrossRef]
- d’Errico, F.; Lazzeri, L.; Dondi, D.; Mariani, M.; Marrale, M.; Souza, S.O.; Gambarini, S. Novel GTA-PVA Fricke gels for three-dimensional dose mapping in radiotherapy. Radiat. Meas. 2017, 106, 612–617. [Google Scholar] [CrossRef]
- Penev, K.; Mequanint, K. Controlling sensitivity and stability of ferrous–xylenol orange–gelatin 3D gel dosimeters by doping with phenanthroline-type ligands and glyoxal. Phys. Med. Biol. 2013, 58, 1823–1838. [Google Scholar] [CrossRef]
- Pappas, E.P.; Peppa, V.; Hourdakis, C.J.; Karaiskos, P.; Papagiannis, P. On the use of a novel Ferrous Xylenol-orange gelatin dosimeter for HDR brachytherapy commissioning and quality assurance testing. Phys. Med. 2018, 45, 162–169. [Google Scholar] [CrossRef]
- Cavinato, C.C.; Campos, L.L. Study of the stability, reproducibility and dose rate dependence of the Fricke gel dosimeter developed at IPEN. In Proceedings of the 2007 International Nuclear Atlantic Conference-INAC, Santos, Brazil, 30 September–5 October 2007; Associação Brasileira De Energia Nuclear-ABEN: Rio de Janeiro, Brasil, 2007. ISBN 978-85-99141-02-1. [Google Scholar]
- Marrale, M.; d’Errico, F. Hydrogels for Three-Dimensional Ionizing-Radiation Dosimetry. Gels 2021, 7, 74. [Google Scholar] [CrossRef]
- Mizukami, S.; Watanabe, Y.; Mizoguchi, T.; Gomi, T.; Hara, H.; Takei, H.; Fukunishi, N.; Ishikawa, K.L.; Fukuda, S.; Maeyama, T. Whole three-dimensional dosimetry of carbon ion beams with an MRI-based nanocomposite Fricke gel dosimeter using rapid T1 mapping method. Gels 2021, 7, 233. [Google Scholar] [CrossRef]
- Zhang, W.; Wang, K.; Zeng, Y.; Hu, X.; Zhang, X.; Chang, S.; Zhang, H. Low-diffusion Fricke gel dosimeters with core-shell structure based on spatial confinement. Materials 2021, 14, 3932. [Google Scholar] [CrossRef] [PubMed]
- Appleby, A.; Christman, E.A.; Leghrouz, A. Imaging of spatial radiation dose distribution in agarose gels using magnetic resonance. Med. Phys. 1987, 14, 382–384. [Google Scholar] [CrossRef] [PubMed]
- Appleby, A.; Leghrouz, A.; Christman, E.A. Radiation chemical and magnetic resonance studies of aqueous agarose gels containing ferrous ions. Radiat. Phys. Chem. 1988, 32, 241–244. [Google Scholar] [CrossRef]
- Olsson, L.E.; Appleby, A.; Sommer, I. A new dosimeter based on ferrous sulphate solution and agarose gel. Appl. Radiat. Isot. 1991, 42, 1081–1086. [Google Scholar] [CrossRef]
- Olsson, L.E.; Petersson, L.; Ahlgren, L.; Mattsson, S. Ferrous sulphate gels for determination of absorbed dose distributions using MRI technique: Basic studies. Phys. Med. Biol. 1989, 34, 43–52. [Google Scholar] [CrossRef]
- Schulz, R.I.; de Guzman, A.F.; Nguyen, D.B.; Gore, J.C. Dose-response curves for Fricke infused agarose gels as obtained by nuclear magnetic resonance. Phys. Med. Biol. 1990, 35, 1611–1622. [Google Scholar] [CrossRef]
- Gambarini, U.; Arrigoni, S. Dose-response curve slope improvement and result reproducibility of ferrous sulphate-doped gels analysed by NMR imaging. Phys. Med. Biol. 1994, 39, 703–717. [Google Scholar] [CrossRef]
- Jordan, K.; Sekimoto, M. Development of a radiochromic ferric oligomer hydrogel. J. Phys. Conf. Ser. 2010, 250, 012030. [Google Scholar] [CrossRef]
- Jordan, K.; Sekimoto, M. Effects of adding glycerol and sucrose to ferrous xylenol orange hydrogel. J. Phys. Conf. Ser. 2010, 250, 012048. [Google Scholar] [CrossRef]
- Jordan, K.; Battista, J. Dose response of ferrous- xylenol orange gels: The effects of gel substrate, gelation time and dose fractionation. J. Phys. Conf. Ser. 2004, 3, 232–235. [Google Scholar] [CrossRef]
- Babu, S.E.S.; Rafic, K.M.; Peace, B.S.T.; Raj, I.J.S.; Ravindran, B.P. Fricke xylenol glicyne gel dosimeter for in vivo dosimetry at extendent treatment distance. Appl. Radiat. Isot. 2019, 145, 217–222. [Google Scholar] [CrossRef] [PubMed]
- Smith, S.T.; Boase, N.R.B.; Masters, K.-S.; Hosokawa, K.; Asena, A.; Crowe, S.B.; Kairn, T.; Trapp, J.V. A very low diffusion Fricke gel dosimeter with functionalised xylenol orange-PVA (XOPVA). Phys. Med. Biol. 2019, 64, 205017. [Google Scholar] [CrossRef] [PubMed]
- Chu, K.C.; Jordan, K.J.; Battista, J.J.; Van Dyk, J.; Rutt, B.K. Polyvinyl alcohol-Fricke hydrogel and cryogel: Two new gel dosimetry systems with low Fe3+ diffusion. Phys. Med. Biol. 2000, 45, 955–969. [Google Scholar] [CrossRef] [PubMed]
- Kozicki, M.; Kwiatos, K.; Kadlubowski, S.; Dudek, M. TTC-Pluronic 3D radiochromic gel dosimetry of ionizing radiation. Phys. Med. Biol. 2017, 62, 5668–5690. [Google Scholar] [CrossRef]
- Almeida, H.; Amaral, M.H.; Lobão, P.; Lobo, J.M.S. Pluronic F–127 and Pluronic lecithin organogel (PLO): Main features and their applications in topical and transdermal administration of drugs. J. Pharm. Pharm. Sci. 2012, 15, 592–605. [Google Scholar] [CrossRef]
- Diniz, I.M.; Chen, C.; Xu, X.; Ansari, S.; Zadeh, H.H.; Marques, M.M.; Shi, S.; Moshaverinia, A. Pluronic F–127 hydrogel as a promising scaffold for encapsulation of dental-derived mesenchymal stem cells. J. Mater. Sci. Mater. Med. 2015, 26, 153. [Google Scholar] [CrossRef]
- Dantas Lopes dos Santos, D.; Besegato, J.F.; de Melo, P.B.G.; Oshiro Junior, J.A.; Chorilli, M.; Deng, D.; Bagnato, V.S.; de Souza Rastelli, A.N. Curcumin-loaded Pluronic® F-127 micelles as a drug delivery system for curcumin-mediated photodynamic therapy for oral application. Photochem. Photobiol. 2021, 97, 1072–1088. [Google Scholar] [CrossRef]
- Dintcheva, N.T.; Catalano, G.; Arrigo, R.; Morici, E.; Cavallaro, G.; Lazzara, G.; Bruno, M. Pluronic nanoparticles as anti-oxidant carriers for polymers. Polym. Degrad. Stab. 2016, 134, 194–201. [Google Scholar] [CrossRef]
- Kozicki, M.; Kwiatos, K.; Dudek, M.; Stempien, Z. Radiochromic gels for UV radiation measurements in 3D. J. Photochem. Photobiol. A 2018, 351, 197–207. [Google Scholar] [CrossRef]
- Kwiatos, K.; Maras, P.; Kadlubowski, S.; Stempień, Z.; Dudek, M.; Kozicki, M. Tetrazolium salts-Pluronic F–127 gels for 3D radiotherapy dosimetry. Phys. Med. Biol. 2018, 63, 095012. [Google Scholar] [CrossRef]
- Jaszczak, M.; Wach, R.; Maras, P.; Dudek, M.; Kozicki, M. Substituting gelatine with Pluronic F–127 matrix in 3D polymer gel dosimeters can improve nuclear magnetic resonance, thermal and optical properties. Phys. Med. Biol. 2018, 63, 175010. [Google Scholar] [CrossRef] [PubMed]
- Kouvati, K.; Jaszczak, M.; Papagiannis, P.; Kadlubowski, S.; Wach, R.; Maras, P.; Dudek, M.; Kozicki, M. Leuco crystal violet-Pluronic F–127 3D radiochromic gel dosimeter. Phys. Med. Biol. 2019, 64, 175017. [Google Scholar] [CrossRef] [PubMed]
- Kozicki, M.; Jaszczak, M.; Kwiatos, K.; Maras, P.; Kadlubowski, S.; Wach, R.; Dudek, M. Three-dimensional radiochromic and polymer gel dosimeters with Pluronic F–127 matrix—A review of current research. J. Phys. Conf. Ser. 2019, 1305, 012035. [Google Scholar] [CrossRef]
- Jaszczak, M.; Maras, P.; Kozicki, M. Characterization of a new N-vinylpyrrolidone-containing polymer gel dosimeter with Pluronic F–127 gel matrix. Radiat. Phys. Chem. 2020, 177, 109125. [Google Scholar] [CrossRef]
- Jaszczak, M.; Sasiadek, M.; Kadlubowski, S.; Dudek, M.; Kozicki, M. Preliminary study on a new 3D radiochromic KI-Pluronic F–127 gel dosimeter for radiotherapy. Radiat. Phys. Chem. 2021, 185, 109507. [Google Scholar] [CrossRef]
- Kozicki, M.; Bartosiak, M.; Dudek, M.; Kadlubowski, S. LCV-Pluronic F–127 dosimeter for UV light dose distribution measurements. J. Photochem. Photobiol. A 2021, 405, 112930. [Google Scholar] [CrossRef]
- Kozicki, M.; Jaszczak, M.; Maras, P.; Naglik, R.; Dudek, M.; Kadlubowski, S.; Wach, R. Preliminary study on a 3D lung mimicking dosimeter based on Pluronic F–127 matrix. Radiat. Phys. Chem. 2021, 185, 109479. [Google Scholar] [CrossRef]
- Dudek, M.; Piotrowski, M.; Maras, P.; Jaszczak, M.; Kozicki, M. Anisotropic diffusion of Fe ions in Fricke–XO–Pluronic F–127 and Fricke-XO-gelatine 3D radiotherapy dosimeters. Phys. Med. Biol. 2021, 66, 155005. [Google Scholar] [CrossRef]
- Otomoto, M. Composition of the Xylenol Orange complexes of iron (III) and their application to the determination of iron or Xylenol Orange. Bunseki Kagaku 1965, 14, 677–682. [Google Scholar] [CrossRef]
- O, T.S.; Lee, S.H.; Park, J.H. Spetrophotometric study of the complex formation of ferric ion with xylenol orange. J. Korean Chem. Soc. 1978, 22, 311–316. [Google Scholar]
- Babic, S.; Battista, J.; Jordan, K. An apparent treshold dose response in ferrous-xylenol orange gel dosimeters when scanned with a yellow light source. Phys. Med. Biol. 2008, 53, 1637–1650. [Google Scholar] [CrossRef] [PubMed]
- Collura, G.; Gallo, S.; Tranchina, L.; Abbate, B.F.; Bartolotta, A.; D’Errico, F.; Marrale, M. Analysis of the response of PVA-GTA Fricke-gel dosimeters with clinical magnetic resonance imaging. Nucl. Instrum. Methods Phys. 2018, 414, 146–153. [Google Scholar] [CrossRef]
- Liosi, G.M.; Giacobbo, F.; Pignoli, E.; Carrara, M.; Gambarini, G.; Mariani, M. Effects of the pre-irradiation storage procedure on the dose response of a Fricke xylenol orange gel dosimeter. Nukleonika 2015, 60, 603–607. [Google Scholar] [CrossRef][Green Version]








| Oxygen (Air) Access | Dose Sensitivity [Gy−1 cm−1] | R2 [-] | Quasi-Linear Dose Range [Gy] | Dynamic Dose Range [Gy] |
|---|---|---|---|---|
| Samples stored in the dark in a refrigerator (4 °C) | ||||
| No oxygen access | 0.221 ± 0.004 | 0.997 | 20 | ~35 Gy or higher |
| Hindered oxygen access | 0.291 ± 0.009 | 0.990 | 20 | |
| Samples stored in the dark in a cabinet (21 °C) | ||||
| No oxygen access | 0.268 ± 0.006 | 0.995 | 20 | ~35 Gy or higher |
| Hindered oxygen access | 0.219 ± 0.004 | 0.996 | 20 | |
Publisher’s Note: MDPI stays neutral with regard to jurisdictional claims in published maps and institutional affiliations. |
© 2022 by the authors. Licensee MDPI, Basel, Switzerland. This article is an open access article distributed under the terms and conditions of the Creative Commons Attribution (CC BY) license (https://creativecommons.org/licenses/by/4.0/).
Share and Cite
Piotrowski, M.; Maras, P.; Kadłubowski, S.; Kozicki, M. Study of the Optimal Composition and Storage Conditions of the Fricke–XO–Pluronic F–127 Radiochromic Dosimeter. Materials 2022, 15, 984. https://doi.org/10.3390/ma15030984
Piotrowski M, Maras P, Kadłubowski S, Kozicki M. Study of the Optimal Composition and Storage Conditions of the Fricke–XO–Pluronic F–127 Radiochromic Dosimeter. Materials. 2022; 15(3):984. https://doi.org/10.3390/ma15030984
Chicago/Turabian StylePiotrowski, Michał, Piotr Maras, Sławomir Kadłubowski, and Marek Kozicki. 2022. "Study of the Optimal Composition and Storage Conditions of the Fricke–XO–Pluronic F–127 Radiochromic Dosimeter" Materials 15, no. 3: 984. https://doi.org/10.3390/ma15030984
APA StylePiotrowski, M., Maras, P., Kadłubowski, S., & Kozicki, M. (2022). Study of the Optimal Composition and Storage Conditions of the Fricke–XO–Pluronic F–127 Radiochromic Dosimeter. Materials, 15(3), 984. https://doi.org/10.3390/ma15030984

