Temperature, Time, and Interactions between Them in Relation to Colour Parameters of Black Poplar (Populus nigra L.) Thermally Modified in Nitrogen Atmosphere
Abstract
1. Introduction
2. Materials and Methods
2.1. Black Poplar Wood Samples
2.2. Black Poplar Thermal Modification in Nitrogen Atmosphere and Its Chemical Composition
2.3. Determination of Wood Colour Parameters
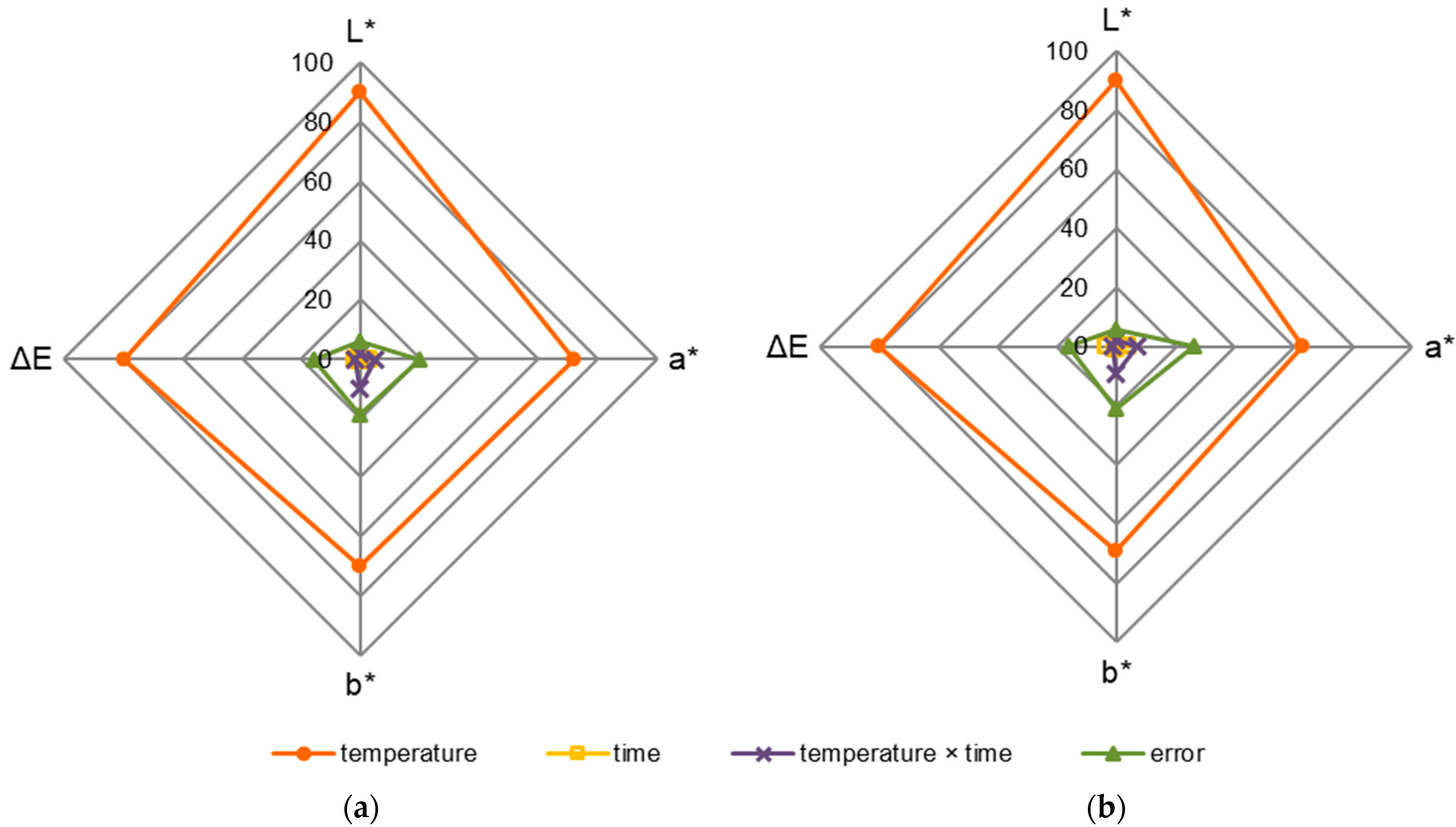
2.4. Statistical Analysis
3. Results
4. Conclusions
- Black poplar wood is very susceptible to colour change as a result of thermal modification in nitrogen, independently of the section (radial, tangential).
- Modification at the temperatures of 160 °C and 170 °C caused high colour changes of black poplar wood. After modification at the temperatures of 180 °C and higher, the change in colour was so large (ΔE above 12) that it can be considered that black poplar wood already had a different colour.
- The observed changes did not have a linear character in case of the a* and b* parameters, whose maximum values were observed at modification temperatures of 200 °C and 190 °C, respectively. In case of L* and ΔE, the biggest changes happened at the highest temperature and the longest time of modification (220 °C, 8 h).
Author Contributions
Funding
Institutional Review Board Statement
Informed Consent Statement
Data Availability Statement
Conflicts of Interest
References
- Boonstra, M.J.; Tjeerdsma, B. Chemical analysis of heat treated softwoods. Holz Roh Werkst. 2006, 64, 204–211. [Google Scholar] [CrossRef]
- Olek, W.; Bonarski, J.T. Texture changes in thermally modified wood. Arch. Metall. Mater. 2008, 53, 208–211. [Google Scholar]
- Pohleven, J.; Burnard, M.D.; Kutnar, A. Volatile organic compounds emitted from untreated and thermally modified wood—A review. Wood Fiber Sci. 2019, 51, 231–254. [Google Scholar] [CrossRef]
- Gawron, J. Changes of Selected Physico-Chemical Properties of Ash Wood (Fraxinus excelsior L.) Subjected to Thermal Modification. Ph.D. Thesis, WULS, Warsaw, Poland, 2012. [Google Scholar]
- Zanuttini, R.; Castro, G.; Cremonini, C.; Negro, F.; Palanti, S. Thermo-vacuum treatment of poplar (Populus spp.) plywood. Holzforschung 2020, 74, 60–67. [Google Scholar] [CrossRef]
- Homan, W.J.; Jorissen, A.J.M. Wood modification developments. Heron 2004, 49, 361–385. [Google Scholar]
- Tomak, E.D.; Yıldız, U.C.; Can, A. Treatment of Scots Pine wood with oil in water and water in oil emulsion systems: Effects on boron leaching and water absorption. In Proceedings of the 41st Annual Meeting of The International Research Group on Wood Protection, Biarritz, France, 9–13 May 2010. [Google Scholar]
- Nejad, M.; Dadbin, M.; Cooper, P. Performance on Exterior Oil-Heat Treated Wood. Coatings 2019, 9, 225. [Google Scholar] [CrossRef]
- International Thermowood Association. ThermoWood® Handbook; International Thermowood Association: Helsinki, Finland, 2003. [Google Scholar]
- Vernois, M. Heat treatment of wood in France—State of the art. In Review on Heat Treatments of Wood, Proceedings of the Special Seminar of COST Action E22, Antibes, France, 9 February 2001; The European Commission: Brussels, Belgium, 2001. [Google Scholar]
- Kozakiewicz, P.; Drożdżek, M.; Laskowska, A.; Grześkiewicz, M.; Bytner, O.; Radomski, A.; Zawadzki, J. Effects of Thermal Modification on the Selected Physical Properties of Sapwood and Heartwood of Black Poplar (Populus nigra L.). BioResources 2019, 14, 8391–8404. [Google Scholar] [CrossRef]
- Bytner, O.; Laskowska, A.; Drożdżek, M.; Kozakiewicz, P.; Zawadzki, J. Evaluation of the Dimensional Stability of Black Poplar Wood Modified Thermally in Nitrogen Atmosphere. Materials 2021, 14, 1491. [Google Scholar] [CrossRef]
- Poplar and the economy of the future. Available online: http://propopulus.eu/en/poplar-and-the-economy-of-the-future/ (accessed on 6 November 2021).
- European Economic and Social Committee. Opinion of the European Economic and Social Committee on ‘Opportunities and Challenges for a More Competitive European Woodworking and Furniture Sector’ (Own-Initiative Opinion); European Parliament: Brussels, Belgium, 2011. [Google Scholar]
- Laskowska, A.; Mamiński, M. Properties of particleboard produced from post-industrial UF- and PF-bonded plywood. Eur. J. Wood Wood Prod. 2018, 76, 427–435. [Google Scholar] [CrossRef]
- Ye, M. Effect of wood modifiers on the physical properties of fast-growing poplar wood. Wood Res. 2017, 62, 283–292. [Google Scholar]
- Niemczyk, M.; Wojda, T.; Kantorowicz, W. Silvicultural potential of selected poplar cultivars growing on short rotation plantations. Sylwan 2016, 160, 292–298. [Google Scholar]
- EN 13556; Round and Sawn Timber. Nomenclature of Timbers Used in Europe. European Committee for Standardization: Brussels, Belgium, 2003.
- Krzysik, F. Nauka o Drewnie (Wood Science); PWN: Warsaw, Poland, 1974. [Google Scholar]
- Bekhta, P.; Niemz, P. Effect of high temperature on the change in color, dimensional stability and mechanical properties of spruce wood. Holzforschung 2003, 57, 539–546. [Google Scholar] [CrossRef]
- Kamperidou, V.; Barboutis, I.; Vasileiou, V. Response of colour and hygroscopic properties of Scots pine wood to thermal treatment. J. For. Res. 2013, 24, 571–575. [Google Scholar] [CrossRef]
- Icel, B.; Guler, G.; Isleyen, O.; Beram, A.; Mutlubas, M. Effects of industrial heat treatment on the properties of spruce and pine woods. BioResources 2015, 10, 5159–5173. [Google Scholar] [CrossRef]
- Xu, J.; Zhang, Y.; Shen, Y.; Li, C.; Wang, Y.; Ma, Z.; Sun, W. New Perspective on Wood Thermal Modification: Relevance between the Evolution of Chemical Structure and Physical-Mechanical Properties, and Online Analysis of Release of VOCs. Polymers 2019, 11, 1145. [Google Scholar] [CrossRef]
- Barcík, Š.; Gašparík, M.; Razumov, E.Y. Effect of temperature on the color changes of wood during thermal modification. Cellul. Chem. Technol. 2015, 49, 789–798. [Google Scholar]
- Gao, H.; Sun, M.Y.; Cheng, H.Y.; Gao, W.I.; Ding, X.L. Effects of Heat Treatment under Vacuum on Properties of Poplar. BioResources 2016, 11, 1031–1043. [Google Scholar] [CrossRef]
- Priadi, T.; Suharjo, A.A.C.; Karlinasari, L. Dimensional stability and colour change of heat- treated young teak wood. Int. Wood Prod. J. 2019, 10, 119–125. [Google Scholar] [CrossRef]
- Tolvaj, L.; Nemeth, R.; Pasztory, Z.; Bejo, L.; Takats, P. Colour Stability of Thermally Modified Wood during Short-Term Photodegradation. BioResources 2014, 9, 6644–6651. [Google Scholar] [CrossRef]
- Gunduz, G.; Aydemir, D.; Karakas, G. The effects of thermal treatment on the mechanical properties of wild Pear (Pyrus elaeagnifolia Pall.) wood and changes in physical properties. Mater. Des. 2009, 30, 4391–4395. [Google Scholar] [CrossRef]
- Srinivas, K.; Pandey, K.K. Effect of Heat Treatment on Color Changes, Dimensional Stability, and Mechanical Properties of Wood. J. Wood Chem. Technol. 2012, 32, 304–316. [Google Scholar] [CrossRef]
- Ferrari, S.; Cuccui, I.; Allegretti, O. Thermo-vacuum modification of some European softwood and hardwood species treated at different conditions. BioResources 2013, 8, 1100–1109. [Google Scholar] [CrossRef]
- Rowell, R.; Lange, S.; McSweeny, J.; Davis, M. Modification of Wood Fiber Using Steam; Wood Science and Engineering Department, Oregon State University: Corvaliis, OR, USA, 2002. [Google Scholar]
- Yildiz, S.; Gümüşkaya, E. The effects of thermal modification on crystalline structure of cellulose in soft and hardwood. Build. Environ. 2007, 42, 62–67. [Google Scholar] [CrossRef]
- Zawadzki, J. Wpływ Wybranych Czynników Fizycznych na Stopień Degradacji Celulozy Wyodrębnionej z Drewna Sosny Zwyczajnej (Pinus sylvestris L.) [Influence of Selected Physical Factors on the Degree of Degradation of Cellulose Separated from Scots Pine Wood (Pinus sylvestris L.)]; Treatises and Monographs Series of Publishing WULS–SGGW; Publishing WULS–SGGW: Warsaw, Poland, 2009. [Google Scholar]
- Sikora, A.; Kasic, F.; Gaff, M.; Vondrová, V.; Bubeníková, V.; Kubovsky, I. Impact of thermal modification in color and chemical changes of spruce and oak wood. J. Wood Sci. 2018, 64, 406–416. [Google Scholar] [CrossRef]
- Humar, M.; Repič, R.; Kržišnik, D.; Lesar, B.; Korošec, R.C.; Brischke, C.; Brischke, C.; Emmerich, L.; Rep, G. Quality Control of Thermally Modified Timber Using Dynamic Vapor Sorption (DVS) Analysis. Forests 2020, 11, 666. [Google Scholar] [CrossRef]
- Kaygin, B.; Gunduz, G.; Aydemir, D. The effect of mass loss on mechanic properties of heat-treated paulownia wood. Wood Res. 2009, 54, 101–108. [Google Scholar]
- Inari, G.N.; Pétrissans, M.; Pétrissans, A.; Gérardin, P. Elemental composition of wood as a potential marker to evaluate heat treatment intensity. Polym. Degrad. Stab. 2009, 94, 365–368. [Google Scholar] [CrossRef]
- Čermák, P.; Hess, D.; Suchomelová, P. Mass loss kinetics of thermally modified wood species as a time–temperature function. Eur. J. Wood Wood Prod. 2021, 79, 547–555. [Google Scholar] [CrossRef]
- González-Peña, M.M.; Hale, M.D.C. Colour in thermally modified wood of beech, Norway spruce and Scots pine. I. Colour evolution and colour changes. Holzforschung 2009, 63, 385–393. [Google Scholar] [CrossRef]
- ISO 13061-2; Physical and Mechanical Properties of Wood—Test Methods for Small Clear Wood Specimens—Part 2: Determination of Density for Physical and Mechanical Tests. International Organization for Standardization: Geneva, Switzerland, 2014.
- ISO 13061-1; Physical and Mechanical Properties of Wood—Test Methods for Small Clear Wood Specimens—Part 1: Determination of Moisture Content for Physical and Mechanical Tests. International Organization for Standardization: Geneva, Switzerland, 2014.
- Schnabel, T.; Zimmer, B.; Petutschnigg, A.J.; Schönberger, S. An approach to classify thermally modified hardwoods by color. For. Prod. J. 2007, 57, 105–110. [Google Scholar]
- Zhang, P.; Wei, Y.; Liu, Y.; Gao, J.; Chen, Y.; Fan, Y. Heat-Induced Discoloration of Chromophore Structures in Eucalyptus Lignin. Materials 2018, 11, 1686. [Google Scholar] [CrossRef] [PubMed]
- Cui, X.; Matsumura, J. Wood Surface Changes of Heat-Treated Cunninghamia lanceolate Following Natural Weathering. Forests 2019, 10, 791. [Google Scholar] [CrossRef]
- Cirule, D.; Sansonetti, E.; Andersone, I.; Kuka, E.; Andersons, B. Enhancing Thermally Modified Wood Stability against Discoloration. Coatings 2021, 11, 81. [Google Scholar] [CrossRef]
- ISO 7724-3; Paints and Varnishes—Colorimetry—Part 3: Calculation of Colour Differences. International Organization for Standardization: Geneva, Switzerland, 1984.
- Bal, B. A comparative study of some of the mechanical properties of pine wood heat treated in vacuum, nitrogen, and air atmospheres. BioResources 2018, 13, 5504–5511. [Google Scholar] [CrossRef]
- Pettersen, R. The chemical composition of wood. In The Chemistry of Solid Wood; Rowell, R., Ed.; Advances in Chemistry Series 207; American Chemical Society: Washington, DC, USA, 1984. [Google Scholar]
- Olarescu, C.M.; Campean, M. Color change-mass loss correlation for heat-treated wood. In Proceedings of the CBU International Conference on Innovation, Technology Transfer and Education, Prague, Czech Republic, 3–5 February 2014; pp. 345–352. [Google Scholar] [CrossRef][Green Version]
- Wagenführ, R. Holzatlas, 6th ed.; Neu Bearbeitete und Erweiteste Auflage; Fachbuchverlag: Leipzig, Germany, 2007. [Google Scholar]
- Commercial Timbers: Descriptions, Illustrations, Identification, and Information Retrieval. Available online: https://www.delta-intkey.com/wood/index.htm (accessed on 6 November 2021).
- Nishino, Y.; Janin, G.; Yainada, Y.; Kitano, D. Relations between the colorimetric values and densities of sapwood. J. Wood Sci. 2000, 46, 267–272. [Google Scholar] [CrossRef]
- Nasir, V.; Nourian, S.; Stavros Avramidis, S.; Cool, J. Prediction of physical and mechanical properties of thermally modified wood based on color change evaluated by means of “group method of data handling” (GMDH) neural network. Holzforschung 2018, 73, 381–392. [Google Scholar] [CrossRef]
- Brito, A.F.; Calonego, F.W.; Bond, B.H.; Severo, E.T.D. Color changes, EMC and biological resistance of thermally modified yellow poplar. Wood Fiber Sci. 2018, 50, 439–446. [Google Scholar] [CrossRef]
- Sundqvist, B.; Morén, T. The influence of wood polymers and extractives on wood colour induced by hydrothermal treatment. Eur. J. Wood Wood Prod. 2002, 60, 375–376. [Google Scholar] [CrossRef]
- Kučerová, V.; Lagaňa, R.; Výbohová, E.; Hýrošová, T. The Effect of Chemical Changes during Heat Treatment on the Color and Mechanical Properties of Fir Wood. BioResources 2016, 11, 9079–9094. [Google Scholar] [CrossRef]
- Chen, Y.; Fan, Y.M.; Gao, J.M.; Stark, N.M. The effect of heat treatment on the chemical and color change of black locust (Robinia pseudoacacia) wood flour. BioResources 2012, 7, 1157–1170. [Google Scholar] [CrossRef]
- Marcon, B.; Goli, G.; Matsuo-Ueda, M.; Denaud, L.; Umemura, K.; Gril, J.; Kawai, S. Kinetic analysis of poplar wood properties by thermal modification in conventional oven. iForest 2018, 11, 131–139. [Google Scholar] [CrossRef]
- Fengel, D.; Wegener, G. Wood—Chemistry, Ultrastructure, Reactions, 2nd ed.; Walter de Gruyter: Berlin, Germany, 1989. [Google Scholar]
- Tjeerdsma, B.; Michiel Boonstra, M.; Pizzi, A.; Tekely, P.; Militz, H. Characterisation of thermally modified wood: Molecular reasons for wood performance improvement. Eur. J. Wood Wood Prod. 1998, 56, 149–153. [Google Scholar] [CrossRef]
- Hill, C.; Altgen, M.; Rautkari, L. Thermal modification of wood—A review: Chemical changes and hygroscopicity. J. Mater. Sci. 2021, 56, 6581–6614. [Google Scholar] [CrossRef]
- Kubovský, I.; Kačíková, D.; Kačík, F. Structural Changes of Oak Wood Main Components Caused by Thermal Modification. Polymers 2020, 12, 485. [Google Scholar] [CrossRef]
- Nimz, H.H. Chemistry of potential chromophoric groups in beech lignin. Tappi J. 1973, 56, 124–126. [Google Scholar]
- Hon, D.N.S.; Glasser, W. On possible chromophoric structures in wood and pulps. Polym. Plast. Technol. Eng. 1979, 12, 159–179. [Google Scholar] [CrossRef]
- Yazaki, Y.; Collins, P.J.; Mccombe, B. Variations in hot water extractives content and density of commercial wood veneers from blackbutt (Eucalyptus pilularis). Holzforschung 1994, 48, 107–111. [Google Scholar] [CrossRef]
- Hill, C.A.S. Wood Modification: Chemical, Thermal and Other Processes; John Wiley & Sons, Ltd.: Chichester, UK, 2006. [Google Scholar]
- Huang, X.; Kocaefe, D.; Kocaefe, Y.; Boluk, Y.; Pichette, A. A spectrocolorimetric and chemical study on color modification of heat-treated wood during artificial weathering. Appl. Surf. Sci. 2006, 258, 5360–5369. [Google Scholar] [CrossRef]
- Persze, L.; Tolvaj, L. Photodegradation of wood at elevated temperature: Colour change. J. Photo. Chem. Photobiol. B 2012, 108, 44–47. [Google Scholar] [CrossRef]
- Tong, L.; Zhang, W.; Lu, W. Prediction of colour change of thermally modified wood by near infrared spectroscopy. J. Near Infrared Spectrosc. 2016, 24, 563–569. [Google Scholar] [CrossRef]
- Nguyen, T.H.V.; Nguyen, T.T.; Ji, X.; Minghui Guo, M. Predicting Color Change in Wood During Heat Treatment Using an Artificial Neural Network Model. BioResources 2018, 13, 6250–6264. [Google Scholar] [CrossRef]
- Gurleyen, L.; Esteves, B.; Ayata, U.; Gurleyen, T.; Cinar, H. The effects of heat treatment on colour and glossiness of some commercial woods in Turkey. Drewno 2018, 61, 201. [Google Scholar] [CrossRef]
- Cividini, R.; Travan, L.; Allegretti, O. White beech: A tricky problem in the drying process Procs. In Proceedings of the International Scientific Conference on Hardwood Processing (ISCHP), Québec City, QC, Canada, 24–26 September 2007; pp. 135–140. [Google Scholar]
- Esteves, B.; Marques, A.V.; Domingos, I.; Pereira, H. Heat-induced colour changes of pine (Pinus pinaster) and eucalypt (Eucalyptus globulus) wood. Wood Sci. Technol. 2008, 42, 369–384. [Google Scholar] [CrossRef]
- Klumpers, J.; Janin, G.; Becker, M.; Lévy, G. The influences of age, extractive content and soil water on wood color in oak: The possible genetic determination of wood color. Ann. Sci 1993, 50 (Suppl. 1), 403s–409s. [Google Scholar] [CrossRef]
- Boampong, E.; Effah, B.; Antwi, K.; Asamoah, J.N.; Asante, A.B. Factors influencing the choice of timber for furniture and joinery production in Ghana. Eur. J. Eng. Technol. 2015, 3, 48–59. [Google Scholar]




| Modification Time (h) | Modification Temperature (°C) | |||||
|---|---|---|---|---|---|---|
| 160 | 170 | 180 | 190 | 200 | 220 | |
| Mass Loss (%) | ||||||
| 2 | 0.9 ± 0.5 | 0.8 ± 0.1 | 0.8 ± 0.4 | 0.8 ± 0.4 | 4.0 ± 0.3 | 6.8 ± 0.9 |
| 4 | 0.7 ± 0.4 | 0.8 ± 0.1 | 1.9 ± 0.1 | 2.6 ± 0.1 | 5.4 ± 0.3 | 12.0 ± 0.9 |
| 6 | 0.7 ± 0.4 | 0.9 ± 0.5 | 2.2 ± 0.5 | 2.1 ± 0.7 | 5.8 ± 0.9 | 12.6 ± 0.9 |
| 8 | 0.9 ± 0.4 | 1.1 ± 0.1 | 3.0 ± 0.2 | 3.5 ± 0.6 | 7.1 ± 1.0 | 14.0 ± 1.1 |
| Poplar Wood | Radial Section | Tangential Section | ||||||||||
|---|---|---|---|---|---|---|---|---|---|---|---|---|
| Native | 80.9 ± 4.3 | 79.4 ± 4.3 | ||||||||||
| Modified | Modification Temperature (°C) | Modification Temperature (°C) | ||||||||||
| Modification Time (h) | 160 | 170 | 180 | 190 | 200 | 220 | 160 | 170 | 180 | 190 | 200 | 220 |
| 2 | 72.9 ± 3.9 | 73.1 ± 2.0 | 68.6 ± 3.6 | 65.8 ± 2.0 | 56.3 ± 2.8 | 46.9 ± 2.5 | 71.0 ± 3.7 | 69.5 ± 2.6 | 66.5 ± 3.4 | 62.3 ± 3.2 | 54.5 ± 1.9 | 44.8 ± 2.6 |
| 4 | 75.3 ± 2.7 | 70.9 ± 3.1 | 66.1 ± 2.8 | 61.1 ± 2.1 | 51.8 ± 3.2 | 44.8 ± 2.8 | 73.6 ± 2.2 | 65.8 ± 2.8 | 61.4 ± 2.0 | 58.0 ± 1.5 | 49.5 ± 2.2 | 41.0 ± 2.0 |
| 6 | 73.0 ± 2.6 | 71.1 ± 1.6 | 64.7 ± 3.2 | 59.4 ± 2.3 | 53.4 ± 2.5 | 43.0 ± 1.7 | 71.4 ± 3.2 | 68.6 ± 2.8 | 60.6 ± 2.1 | 57.1 ± 2.4 | 51.2 ± 2.3 | 39.8 ± 2.4 |
| 8 | 73.7 ± 2.9 | 70.3 ± 2.2 | 59.9 ± 2.4 | 58.4 ± 2.1 | 51.1 ± 2.7 | 42.3 ± 2.0 | 70.6 ± 2.4 | 66.4 ± 2.9 | 56.6 ± 2.1 | 56.3 ± 3.0 | 48.3 ± 2.5 | 39.8 ± 2.3 |
| Radial vs. Tangential | Native Wood | 160 °C_2 h | 160 °C_4 h | 160 °C_6 h | 160 °C_8 h | 170 °C_2 h | 170 °C_4 h | 170 °C_6 h | 170 °C_8 h | 180 °C_2 h | 180 °C_4 h | 180 °C_6 h | 180 °C_8 h | 190 °C_2 h | 190 °C_4 h | 190 °C_6 h | 190 °C_8 h | 200 °C_2 h | 200 °C_4 h | 200 °C_6 h | 200 °C_8 h | 220 °C_2 h | 220 °C_4 h | 220 °C_6 h | 220 °C_8 h | |
|---|---|---|---|---|---|---|---|---|---|---|---|---|---|---|---|---|---|---|---|---|---|---|---|---|---|---|
| Native Wood | ns | * | * | * | * | * | * | * | * | * | * | * | * | * | * | * | * | * | * | * | * | * | * | * | * | Radial |
| 160 °C_2 h | * | ns | * | ns | ns | ns | * | * | * | * | * | * | * | * | * | * | * | * | * | * | * | * | * | * | * | |
| 160 °C_4 h | * | * | * | * | * | * | * | * | * | * | * | * | * | * | * | * | * | * | * | * | * | * | * | * | * | |
| 160 °C_6 h | * | ns | * | * | ns | ns | * | * | * | * | * | * | * | * | * | * | * | * | * | * | * | * | * | * | * | |
| 160 °C_8 h | * | ns | * | ns | * | ns | * | * | * | * | * | * | * | * | * | * | * | * | * | * | * | * | * | * | * | |
| 170 °C_2 h | * | ns | * | * | ns | * | * | * | * | * | * | * | * | * | * | * | * | * | * | * | * | * | * | * | * | |
| 170 °C_4 h | * | * | * | * | * | * | * | ns | ns | * | * | * | * | * | * | * | * | * | * | * | * | * | * | * | * | |
| 170 °C_6 h | * | * | * | * | * | ns | * | * | ns | * | * | * | * | * | * | * | * | * | * | * | * | * | * | * | * | |
| 170 °C_8 h | * | * | * | * | * | * | ns | * | * | * | * | * | * | * | * | * | * | * | * | * | * | * | * | * | * | |
| 180 °C_2 h | * | * | * | * | * | * | ns | * | ns | * | * | * | * | * | * | * | * | * | * | * | * | * | * | * | * | |
| 180 °C_4 h | * | * | * | * | * | * | * | * | * | * | * | ns | * | ns | * | * | * | * | * | * | * | * | * | * | * | |
| 180 °C_6 h | * | * | * | * | * | * | * | * | * | * | ns | * | * | ns | * | * | * | * | * | * | * | * | * | * | * | |
| 180 °C_8 h | * | * | * | * | * | * | * | * | * | * | * | * | * | * | * | ns | * | * | * | * | * | * | * | * | * | |
| 190 °C_2 h | * | * | * | * | * | * | * | * | * | * | ns | * | * | * | * | * | * | * | * | * | * | * | * | * | * | |
| 190 °C_4 h | * | * | * | * | * | * | * | * | * | * | * | * | * | * | * | * | * | * | * | * | * | * | * | * | * | |
| 190 °C_6 h | * | * | * | * | * | * | * | * | * | * | * | * | ns | * | ns | * | ns | * | * | * | * | * | * | * | * | |
| 190 °C_8 h | * | * | * | * | * | * | * | * | * | * | * | * | ns | * | * | ns | * | * | * | * | * | * | * | * | * | |
| 200 °C_2 h | * | * | * | * | * | * | * | * | * | * | * | * | * | * | * | * | * | * | * | * | * | * | * | * | * | |
| 200 °C_4 h | * | * | * | * | * | * | * | * | * | * | * | * | * | * | * | * | * | * | * | * | * | * | * | * | ns | |
| 200 °C_6 h | * | * | * | * | * | * | * | * | * | * | * | * | * | * | * | * | * | * | * | * | * | * | * | * | * | |
| 200 °C_8 h | * | * | * | * | * | * | * | * | * | * | * | * | * | * | * | * | * | * | * | * | * | * | * | * | * | |
| 220 °C_2 h | * | * | * | * | * | * | * | * | * | * | * | * | * | * | * | * | * | * | * | * | * | * | * | * | * | |
| 220 °C_4 h | * | * | * | * | * | * | * | * | * | * | * | * | * | * | * | * | * | * | * | * | * | * | * | * | * | |
| 220 °C_6 h | * | * | * | * | * | * | * | * | * | * | * | * | * | * | * | * | * | * | * | * | * | * | * | * | ns | |
| 220 °C_8 h | * | * | * | * | * | * | * | * | * | * | * | * | * | * | * | * | * | * | ns | * | * | * | * | ns | * | |
| Tangential | ||||||||||||||||||||||||||
| Poplar Wood | Radial Section | Tangential Section | ||||||||||
|---|---|---|---|---|---|---|---|---|---|---|---|---|
| Native | 4.0 ± 1.6 | 4.3 ± 1.6 | ||||||||||
| Modified | Modification Temperature (°C) | Modification Temperature (°C) | ||||||||||
| Modification Time (h) | 160 | 170 | 180 | 190 | 200 | 220 | 160 | 170 | 180 | 190 | 200 | 220 |
| 2 | 5.9 ± 0.6 | 7.0 ± 0.7 | 7.7 ± 0.5 | 8.1 ± 0.5 | 9.5 ± 0.7 | 8.5 ± 0.6 | 6.1 ± 0.8 | 7.6 ± 0.5 | 7.8 ± 0.6 | 8.1 ± 0.5 | 9.3 ± 0.4 | 8.5 ± 0.7 |
| 4 | 6.0 ± 0.7 | 7.2 ± 0.6 | 8.2 ± 0.6 | 9.4 ± 0.6 | 9.6 ± 0.5 | 8.3 ± 0.5 | 6.3 ± 0.6 | 7.5 ± 0.5 | 8.4 ± 0.5 | 9.4 ± 0.5 | 9.5 ± 0.6 | 8.4 ± 0.5 |
| 6 | 6.5 ± 0.7 | 7.2 ± 0.4 | 8.4 ± 0.5 | 8.9 ± 0.5 | 9.5 ± 0.5 | 8.3 ± 0.4 | 6.8 ± 0.7 | 7.5 ± 0.9 | 8.6 ± 0.6 | 8.9 ± 0.4 | 9.2 ± 0.5 | 8.0 ± 0.5 |
| 8 | 6.7 ± 0.6 | 7.6 ± 0.5 | 9.4 ± 0.5 | 9.4 ± 0.5 | 9.6 ± 0.5 | 8.1 ± 0.5 | 7.1 ± 0.6 | 8.0 ± 0.5 | 9.4 ± 0.7 | 9.2 ± 0.6 | 9.6 ± 0.7 | 8.0 ± 0.7 |
| Radial vs. Tangential | Native Wood | 160 °C_2 h | 160 °C_4 h | 160 °C_6 h | 160 °C_8 h | 170 °C_2 h | 170 °C_4 h | 170 °C_6 h | 170 °C_8 h | 180 °C_2 h | 180 °C_4 h | 180 °C_6 h | 180 °C_8 h | 190 °C_2 h | 190 °C_4 h | 190 °C_6 h | 190 °C_8 h | 200 °C_2 h | 200 °C_4 h | 200 °C_6 h | 200 °C_8 h | 220 °C_2 h | 220 °C_4 h | 220 °C_6 h | 220 °C_8 h | |
|---|---|---|---|---|---|---|---|---|---|---|---|---|---|---|---|---|---|---|---|---|---|---|---|---|---|---|
| Native Wood | ns | * | * | * | * | * | * | * | * | * | * | * | * | * | * | * | * | * | * | * | * | * | * | * | * | Radial |
| 160 °C_2 h | * | ns | ns | * | * | * | * | * | * | * | * | * | * | * | * | * | * | * | * | * | * | * | * | * | * | |
| 160 °C_4 h | * | ns | ns | * | * | * | * | * | * | * | * | * | * | * | * | * | * | * | * | * | * | * | * | * | * | |
| 160 °C_6 h | * | * | * | ns | ns | * | * | * | * | * | * | * | * | * | * | * | * | * | * | * | * | * | * | * | * | |
| 160 °C_8 h | * | * | * | ns | * | ns | * | * | * | * | * | * | * | * | * | * | * | * | * | * | * | * | * | * | * | |
| 170 °C_2 h | * | * | * | * | * | * | ns | ns | * | * | * | * | * | * | * | * | * | * | * | * | * | * | * | * | * | |
| 170 °C_4 h | * | * | * | * | * | ns | ns | ns | * | * | * | * | * | * | * | * | * | * | * | * | * | * | * | * | * | |
| 170 °C_6 h | * | * | * | * | ns | ns | ns | ns | * | * | * | * | * | * | * | * | * | * | * | * | * | * | * | * | * | |
| 170 °C_8 h | * | * | * | * | * | * | * | * | * | ns | * | * | * | * | * | * | * | * | * | * | * | * | * | * | * | |
| 180 °C_2 h | * | * | * | * | * | ns | * | ns | ns | ns | * | * | * | * | * | * | * | * | * | * | * | * | * | * | * | |
| 180 °C_4 h | * | * | * | * | * | * | * | * | * | * | ns | ns | * | ns | * | * | * | * | * | * | * | * | ns | ns | ns | |
| 180 °C_6 h | * | * | * | * | * | * | * | * | * | * | ns | ns | * | * | * | * | * | * | * | * | * | ns | ns | ns | ns | |
| 180 °C_8 h | * | * | * | * | * | * | * | * | * | * | * | * | ns | * | ns | * | ns | ns | * | ns | ns | * | * | * | * | |
| 190 °C_2 h | * | * | * | * | * | * | * | * | ns | ns | * | * | * | ns | * | * | * | * | * | * | * | * | ns | ns | ns | |
| 190 °C_4 h | * | * | * | * | * | * | * | * | * | * | * | * | ns | * | ns | * | ns | ns | ns | ns | ns | * | * | * | * | |
| 190 °C_6 h | * | * | * | * | * | * | * | * | * | * | * | * | * | * | * | ns | * | * | * | * | * | * | * | * | * | |
| 190 °C_8 h | * | * | * | * | * | * | * | * | * | * | * | * | ns | * | ns | * | ns | ns | ns | ns | ns | * | * | * | * | |
| 200 °C_2 h | * | * | * | * | * | * | * | * | * | * | * | * | ns | * | ns | * | ns | ns | ns | ns | ns | * | * | * | * | |
| 200 °C_4 h | * | * | * | * | * | * | * | * | * | * | * | * | ns | * | ns | * | * | ns | ns | ns | ns | * | * | * | * | |
| 200 °C_6 h | * | * | * | * | * | * | * | * | * | * | * | * | ns | * | ns | * | ns | ns | * | * | ns | * | * | * | * | |
| 200 °C_8 h | * | * | * | * | * | * | * | * | * | * | * | * | ns | * | ns | * | * | ns | ns | * | ns | * | * | * | * | |
| 220 °C_2 h | * | * | * | * | * | * | * | * | * | * | ns | ns | * | * | * | * | * | * | * | * | * | ns | ns | ns | ns | |
| 220 °C_4 h | * | * | * | * | * | * | * | * | * | * | ns | ns | * | * | * | * | * | * | * | * | * | ns | ns | ns | ns | |
| 220 °C_6 h | * | * | * | * | * | * | * | * | ns | ns | * | * | * | ns | * | * | * | * | * | * | * | * | * | * | ns | |
| 220 °C_8 h | * | * | * | * | * | * | * | * | ns | ns | * | * | * | ns | * | * | * | * | * | * | * | * | * | ns | ns | |
| Tangential | ||||||||||||||||||||||||||
| Poplar Wood | Radial Section | Tangential Section | ||||||||||
|---|---|---|---|---|---|---|---|---|---|---|---|---|
| Native | 17.5 ± 1.1 | 18.1 ± 1.0 | ||||||||||
| Modified | Modification Temperature (°C) | Modification Temperature (°C) | ||||||||||
| Modification Time (h) | 160 | 170 | 180 | 190 | 200 | 220 | 160 | 170 | 180 | 190 | 200 | 220 |
| 2 | 20.7 ± 1.2 | 21.2 ± 1.3 | 22.3 ± 1.1 | 22.5 ± 1.1 | 23.5 ± 0.9 | 18.1 ± 1.2 | 20.9 ± 1.4 | 21.2 ± 1.0 | 21.0 ± 1.3 | 21.9 ± 1.3 | 23.2 ± 1.0 | 18.5 ± 1.5 |
| 4 | 20.9 ± 1.5 | 23.2 ± 0.8 | 23.0 ± 1.1 | 24.3 ± 1.1 | 21.3 ± 1.1 | 17.2 ± 1.6 | 20.6 ± 1.1 | 23.0 ± 1.1 | 22.7 ± 0.6 | 23.7 ± 1.0 | 21.0 ± 1.2 | 16.4 ± 1.3 |
| 6 | 21.3 ± 1.4 | 21.6 ± 1.2 | 22.8 ± 1.0 | 23.3 ± 1.1 | 22.3 ± 1.2 | 16.4 ± 0.9 | 21.3 ± 1.2 | 21.8 ± 1.2 | 22.6 ± 1.2 | 22.7 ± 0.8 | 21.5 ± 1.3 | 15.4 ± 1.5 |
| 8 | 20.9 ± 0.8 | 22.3 ± 1.5 | 24.1 ± 1.0 | 23.2 ± 0.7 | 20.8 ± 1.2 | 16.1 ± 0.9 | 20.9 ± 1.2 | 22.2 ± 1.5 | 23.6 ± 1.3 | 22.9 ± 1.1 | 20.5 ± 1.4 | 15.5 ± 1.6 |
| Radial vs. Tangential | Native Wood | 160 °C_2 h | 160 °C_4 h | 160 °C_6 h | 160 °C_8 h | 170 °C_2 h | 170 °C_4 h | 170 °C_6 h | 170 °C_8 h | 180 °C_2 h | 180 °C_4 h | 180 °C_6 h | 180 °C_8 h | 190 °C_2 h | 190 °C_4 h | 190 °C_6 h | 190 °C_8 h | 200 °C_2 h | 200 °C_4 h | 200 °C_6 h | 200 °C_8 h | 220 °C_2 h | 220 °C_4 h | 220 °C_6 h | 220 °C_8 h | |
|---|---|---|---|---|---|---|---|---|---|---|---|---|---|---|---|---|---|---|---|---|---|---|---|---|---|---|
| Native Wood | * | * | * | * | * | * | * | * | * | * | * | * | * | * | * | * | * | * | * | * | * | * | * | * | * | Radial |
| 160 °C_2 h | * | ns | ns | ns | ns | ns | * | * | * | * | * | * | * | * | * | * | * | * | ns | * | ns | * | * | * | * | |
| 160 °C_4 h | * | ns | ns | ns | ns | ns | * | ns | * | * | * | * | * | * | * | * | * | * | ns | * | ns | * | * | * | * | |
| 160 °C_6 h | * | ns | * | ns | ns | ns | * | ns | * | * | * | * | * | * | * | * | * | * | ns | * | ns | * | * | * | * | |
| 160 °C_8 h | * | ns | ns | ns | ns | ns | * | * | * | * | * | * | * | * | * | * | * | * | ns | * | ns | * | * | * | * | |
| 170 °C_2 h | * | ns | * | ns | ns | ns | * | ns | * | * | * | * | * | * | * | * | * | * | ns | * | ns | * | * | * | * | |
| 170 °C_4 h | * | * | * | * | * | * | ns | * | * | * | ns | ns | * | * | * | ns | ns | ns | * | * | * | * | * | * | * | |
| 170 °C_6 h | * | * | * | ns | * | * | * | ns | ns | * | * | * | * | * | * | * | * | * | ns | * | * | * | * | * | * | |
| 170 °C_8 h | * | * | * | * | * | * | * | ns | ns | ns | * | ns | * | ns | * | * | * | * | * | ns | * | * | * | * | * | |
| 180 °C_2 h | * | * | * | * | * | * | * | ns | ns | ns | * | * | * | ns | * | * | * | * | * | ns | * | * | * | * | * | |
| 180 °C_4 h | * | * | * | * | * | * | ns | * | ns | * | ns | ns | * | ns | * | ns | ns | ns | * | * | * | * | * | * | * | |
| 180 °C_6 h | * | * | * | * | * | * | ns | * | ns | ns | ns | ns | * | ns | * | ns | ns | * | * | ns | * | * | * | * | * | |
| 180 °C_8 h | * | * | * | * | * | * | ns | * | * | * | * | * | ns | * | ns | * | * | * | * | * | * | * | * | * | * | |
| 190 °C_2 h | * | * | * | * | * | * | * | ns | ns | ns | * | ns | * | ns | * | * | * | * | * | ns | * | * | * | * | * | |
| 190 °C_4 h | * | * | * | * | * | * | * | * | * | * | * | * | ns | * | * | * | * | * | * | * | * | * | * | * | * | |
| 190 °C_6 h | * | * | * | * | * | * | ns | * | ns | * | ns | ns | * | * | * | * | ns | ns | * | * | * | * | * | * | * | |
| 190 °C_8 h | * | * | * | * | * | * | ns | * | * | * | ns | ns | * | * | * | ns | ns | ns | * | * | * | * | * | * | * | |
| 200 °C_2 h | * | * | * | * | * | * | ns | * | * | * | * | * | ns | * | ns | * | ns | ns | * | * | * | * | * | * | * | |
| 200 °C_4 h | * | ns | ns | ns | ns | ns | * | * | * | * | * | * | * | * | * | * | * | * | ns | * | ns | * | * | * | * | |
| 200 °C_6 h | * | ns | * | ns | ns | ns | * | ns | * | ns | * | * | * | ns | * | * | * | * | ns | * | * | * | * | * | * | |
| 200 °C_8 h | * | ns | ns | * | ns | * | * | * | * | * | * | * | * | * | * | * | * | * | ns | * | ns | * | * | * | * | |
| 220 °C_2 h | * | * | * | * | * | * | * | * | * | * | * | * | * | * | * | * | * | * | * | * | * | ns | * | * | * | |
| 220 °C_4 h | * | * | * | * | * | * | * | * | * | * | * | * | * | * | * | * | * | * | * | * | * | * | * | * | * | |
| 220 °C_6 h | * | * | * | * | * | * | * | * | * | * | * | * | * | * | * | * | * | * | * | * | * | * | * | * | ns | |
| 220 °C_8 h | * | * | * | * | * | * | * | * | * | * | * | * | * | * | * | * | * | * | * | * | * | * | * | ns | ns | |
| Tangential | ||||||||||||||||||||||||||
| Modification Time (h) | Radial Section | Tangential Section | ||||||||||
|---|---|---|---|---|---|---|---|---|---|---|---|---|
| Modification Temperature (°C) | Modification Temperature (°C) | |||||||||||
| 160 | 170 | 180 | 190 | 200 | 220 | 160 | 170 | 180 | 190 | 200 | 220 | |
| 2 | 9.4 ± 3.0 | 9.4 ± 3.7 | 13.5 ± 4.3 | 16.5 ± 4.7 | 25.9 ± 4.2 | 34.4 ± 4.3 | 9.3 ± 3.2 | 11.0 ± 4.0 | 14.0 ± 5.0 | 18.1 ± 5.5 | 26.1 ± 4.2 | 34.9 ± 6.0 |
| 4 | 7.3 ± 3.4 | 12.4 ± 3.0 | 17.5 ± 3.8 | 21.7 ± 5.2 | 29.9 ± 6.1 | 36.4 ± 5.5 | 6.9 ± 2.9 | 13.8 ± 2.8 | 19.1 ± 4.5 | 22.8 ± 4.6 | 30.6 ± 5.3 | 38.7 ± 5.1 |
| 6 | 9.5 ± 3.1 | 11.1 ± 3.2 | 17.7 ± 4.9 | 22.9 ± 4.7 | 28.5 ± 6.0 | 38.2 ± 4.8 | 8.6 ± 3.3 | 11.8 ± 3.9 | 19.9 ± 5.3 | 23.3 ± 4.7 | 28.9 ± 4.9 | 39.9 ± 5.6 |
| 8 | 8.6 ± 3.4 | 12.4 ± 3.4 | 22.7 ± 4.9 | 23.9 ± 4.8 | 30.5 ± 4.8 | 38.9 ± 5.2 | 9.7 ± 3.8 | 13.3 ± 3.1 | 24.1 ± 4.7 | 24.3 ± 5.6 | 31.8 ± 4.6 | 40.0 ± 4.8 |
| Radial vs. Tangential | 160 °C_2 h | 160 °C_4 h | 160 °C_6 h | 160 °C_8 h | 170 °C_2 h | 170 °C_4 h | 170 °C_6 h | 170 °C_8 h | 180 °C_2 h | 180 °C_4 h | 180 °C_6 h | 180 °C_8 h | 190 °C_2 h | 190 °C_4 h | 190 °C_6 h | 190 °C_8 h | 200 °C_2 h | 200 °C_4 h | 200 °C_6 h | 200 °C_8 h | 220 °C_2 h | 220 °C_4 h | 220 °C_6 h | 220 °C_8 h | |
|---|---|---|---|---|---|---|---|---|---|---|---|---|---|---|---|---|---|---|---|---|---|---|---|---|---|
| 160 °C_2 h | ns | * | ns | ns | ns | * | * | * | * | * | * | * | * | * | * | * | * | * | * | * | * | * | * | * | Radial |
| 160 °C_4 h | * | ns | * | ns | * | * | * | * | * | * | * | * | * | * | * | * | * | * | * | * | * | * | * | * | |
| 160 °C_6 h | ns | * | ns | ns | ns | * | ns | * | * | * | * | * | * | * | * | * | * | * | * | * | * | * | * | * | |
| 160 °C_8 h | ns | * | ns | ns | ns | * | * | * | * | * | * | * | * | * | * | * | * | * | * | * | * | * | * | * | |
| 170 °C_2 h | ns | * | * | ns | ns | * | ns | * | * | * | * | * | * | * | * | * | * | * | * | * | * | * | * | * | |
| 170 °C_4 h | * | * | * | * | * | ns | ns | ns | ns | * | * | * | * | * | * | * | * | * | * | * | * | * | * | * | |
| 170 °C_6 h | * | * | * | * | ns | * | ns | ns | * | * | * | * | * | * | * | * | * | * | * | * | * | * | * | * | |
| 170 °C_8 h | * | * | * | * | * | ns | * | ns | ns | * | * | * | * | * | * | * | * | * | * | * | * | * | * | * | |
| 180 °C_2 h | * | * | * | * | * | ns | ns | ns | ns | * | * | * | * | * | * | * | * | * | * | * | * | * | * | * | |
| 180 °C_4 h | * | * | * | * | * | * | * | * | * | ns | ns | * | * | * | * | * | * | * | * | * | * | * | * | * | |
| 180 °C_6 h | * | * | * | * | * | * | * | * | * | ns | ns | * | ns | * | * | * | * | * | * | * | * | * | * | * | |
| 180 °C_8 h | * | * | * | * | * | * | * | * | * | * | * | ns | * | ns | ns | ns | * | * | * | * | * | * | * | * | |
| 190 °C_2 h | * | * | * | * | * | * | * | * | * | ns | ns | * | ns | * | * | * | * | * | * | * | * | * | * | * | |
| 190 °C_4 h | * | * | * | * | * | * | * | * | * | * | * | ns | * | ns | ns | ns | * | * | * | * | * | * | * | * | |
| 190 °C_6 h | * | * | * | * | * | * | * | * | * | * | * | ns | * | ns | ns | ns | * | * | * | * | * | * | * | * | |
| 190 °C_8 h | * | * | * | * | * | * | * | * | * | * | * | ns | * | ns | ns | ns | ns | * | * | * | * | * | * | * | |
| 200 °C_2 h | * | * | * | * | * | * | * | * | * | * | * | ns | * | * | * | ns | ns | * | ns | * | * | * | * | * | |
| 200 °C_4 h | * | * | * | * | * | * | * | * | * | * | * | * | * | * | * | * | * | ns | ns | ns | * | * | * | * | |
| 200 °C_6 h | * | * | * | * | * | * | * | * | * | * | * | * | * | * | * | * | * | * | ns | ns | * | * | * | * | |
| 200 °C_8 h | * | * | * | * | * | * | * | * | * | * | * | * | * | * | * | * | * | * | * | ns | * | * | * | * | |
| 220 °C_2 h | * | * | * | * | * | * | * | * | * | * | * | * | * | * | * | * | * | * | * | * | ns | ns | * | * | |
| 220 °C_4 h | * | * | * | * | * | * | * | * | * | * | * | * | * | * | * | * | * | * | * | * | * | ns | ns | ns | |
| 220 °C_6 h | * | * | * | * | * | * | * | * | * | * | * | * | * | * | * | * | * | * | * | * | * | ns | ns | ns | |
| 220 °C_8 h | * | * | * | * | * | * | * | * | * | * | * | * | * | * | * | * | * | * | * | * | * | ns | ns | ns | |
| Tangential | |||||||||||||||||||||||||
Publisher’s Note: MDPI stays neutral with regard to jurisdictional claims in published maps and institutional affiliations. |
© 2022 by the authors. Licensee MDPI, Basel, Switzerland. This article is an open access article distributed under the terms and conditions of the Creative Commons Attribution (CC BY) license (https://creativecommons.org/licenses/by/4.0/).
Share and Cite
Bytner, O.; Drożdżek, M.; Laskowska, A.; Zawadzki, J. Temperature, Time, and Interactions between Them in Relation to Colour Parameters of Black Poplar (Populus nigra L.) Thermally Modified in Nitrogen Atmosphere. Materials 2022, 15, 824. https://doi.org/10.3390/ma15030824
Bytner O, Drożdżek M, Laskowska A, Zawadzki J. Temperature, Time, and Interactions between Them in Relation to Colour Parameters of Black Poplar (Populus nigra L.) Thermally Modified in Nitrogen Atmosphere. Materials. 2022; 15(3):824. https://doi.org/10.3390/ma15030824
Chicago/Turabian StyleBytner, Olga, Michał Drożdżek, Agnieszka Laskowska, and Janusz Zawadzki. 2022. "Temperature, Time, and Interactions between Them in Relation to Colour Parameters of Black Poplar (Populus nigra L.) Thermally Modified in Nitrogen Atmosphere" Materials 15, no. 3: 824. https://doi.org/10.3390/ma15030824
APA StyleBytner, O., Drożdżek, M., Laskowska, A., & Zawadzki, J. (2022). Temperature, Time, and Interactions between Them in Relation to Colour Parameters of Black Poplar (Populus nigra L.) Thermally Modified in Nitrogen Atmosphere. Materials, 15(3), 824. https://doi.org/10.3390/ma15030824

