Experimental Investigations on Dry Sliding Wear Behavior of Kevlar and Natural Fiber-Reinforced Hybrid Composites through an RSM–GRA Hybrid Approach
Abstract
:1. Introduction
2. Proposed Methodology
2.1. RSM-Based D-Optimal Design
2.2. Grey Relational Analysis (GRA)
3. Experimental Details
3.1. Materials
3.2. Fabrication of Composites
3.3. Wear Test and Measurement
4. Results and Discussion
4.1. Statistical Analysis and Development of an Empirical Model
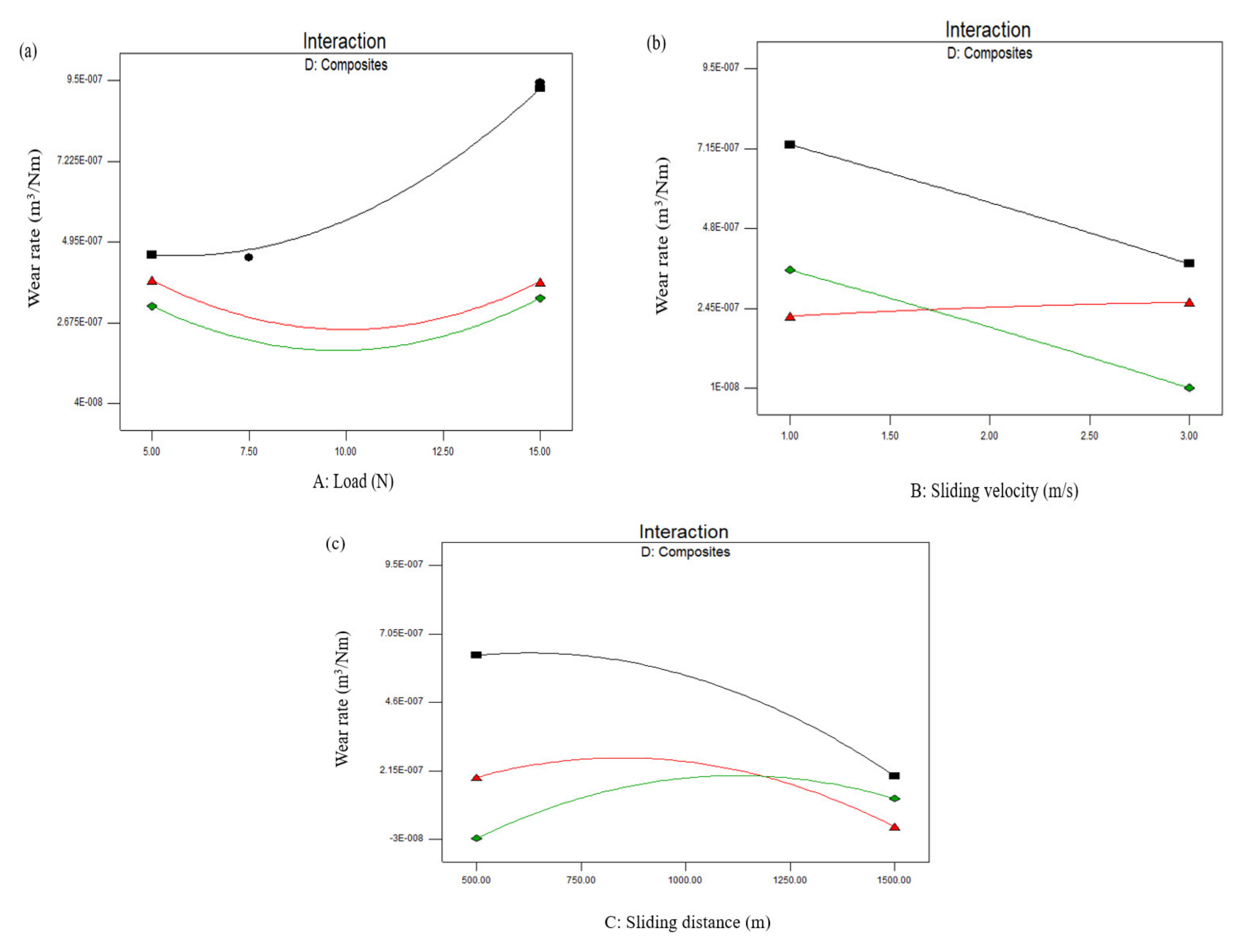
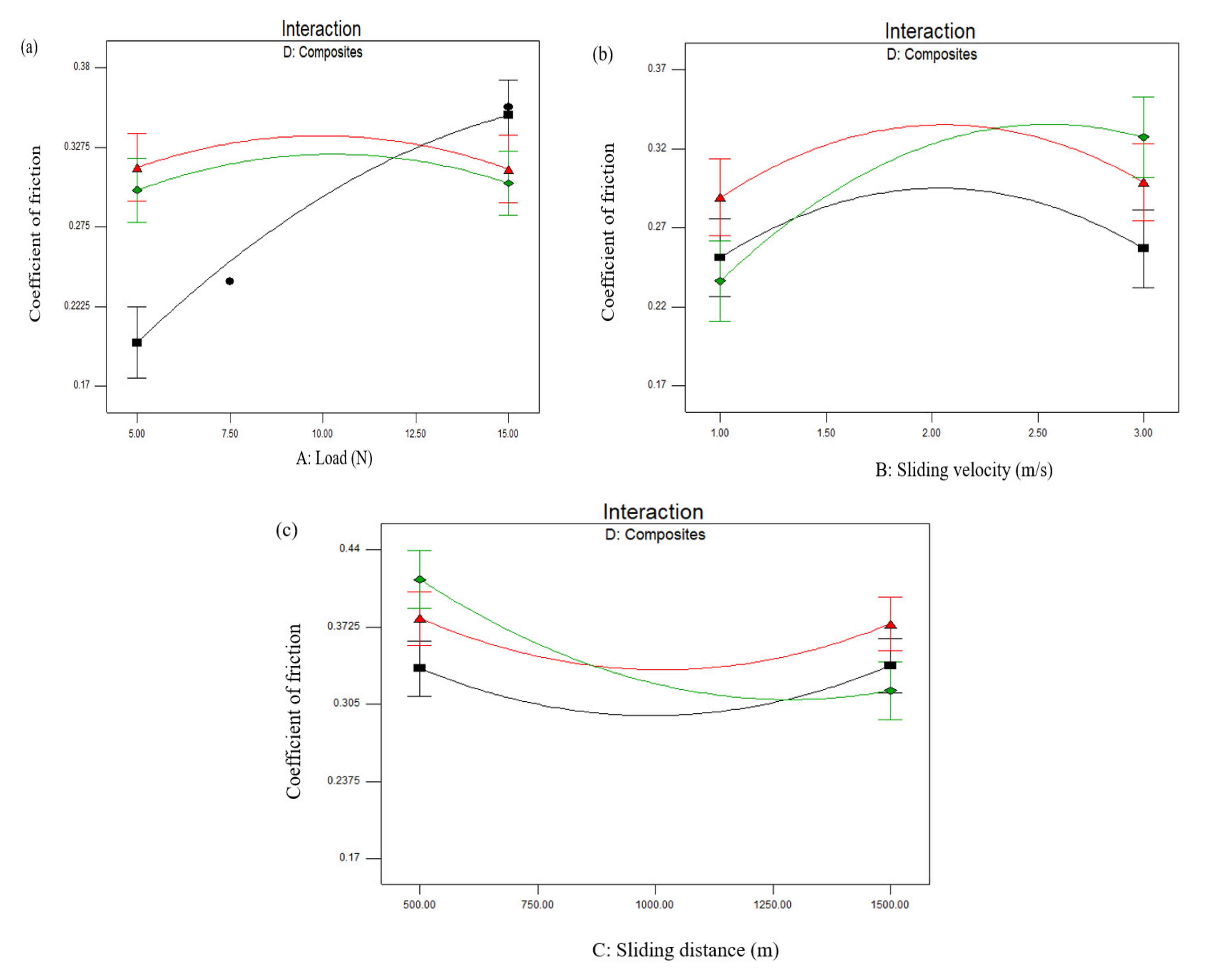
4.2. Influence of the Process Parameters on the Wear Characteristics
Influence on SWR
Influence on COF
4.3. Microstructural Analysis of Worn-Out Surfaces
4.4. Prediction of Optimal Process Variables Using GRA
5. Conclusions
- The dry sliding wear test experiments were designed and executed through a D-optimal design approach. The ANOVA results displayed that the proposed quadratic mathematical models are efficient at 95% conformance levels in the prediction of wear behaviors of fabricated composites with a coefficient of determination of 98.92% for SWR and 97.09% for COF.
- From the ANOVA and interaction results, composite D3 (CA) showed improved wear resistance due to improved interfacial bonding and stacking sequence, even at higher loads and sliding conditions. Moreover, the sliding distance was found to be more significant parameters for a specific wear rate, whereas the applied load and sliding distance were found to be significant for COF.
- Based on the RSM–GRA hybrid approach, the optimal parameter combinations for improved wear properties were obtained and are as follows: Composite combinations of D3 (CA), a load of 5 N, a sliding velocity of 3 m/s, and a sliding distance of 1500 m with a maximum GRG of 0.7853.
- SEM micrographs revealed the micro-striation patterns and fiber delamination of worn-out surfaces under various testing conditions.
- It is proposed that the hybrid approach of RSM–GRA can be effectively utilized for the modeling and optimization of the wear properties of hybrid polymer matrix composites with minimal computational effort within the selected limits of processing conditions.
- Future perspectives of the present research may enlighten the investigation of thermal and dynamic properties of the composites with different orientations and stacking methods.
Author Contributions
Funding
Institutional Review Board Statement
Informed Consent Statement
Data Availability Statement
Acknowledgments
Conflicts of Interest
References
- Sastra, H.Y.; Siregar, J.P.; Sapuan, S.M.; Hamdan, M.M. Tensile Properties of Arenga pinnata Fiber-Reinforced Epoxy Composites. Polym. Plast. Technol. Eng. 2007, 45, 149–155. [Google Scholar] [CrossRef]
- Leman, Z.; Sapuan, S.M.; Azwan, M.; Ahmad, M.M.H.M.; Maleque, M.A. The Effect of Environmental Treatments on Fiber Surface Properties and Tensile Strength of Sugar Palm Fiber-Reinforced Epoxy Composites. Polym. Plast. Technol. Eng. 2008, 47, 606–612. [Google Scholar] [CrossRef]
- Uyup, M.K.A.; Paridah, M.T.; Husain, H.; Sapuan, S.M.; Bakar, E.S. Effect of curing time on physical and mechanical properties of phenolic-treated bamboo strips. Ind. Crops Prod. 2009, 29, 214–219. [Google Scholar]
- Sapuan, S.M.; Harimi, M.; Maleque, M.A. Mechanical Properties of Epoxy/Coconut Shell Filler Particle Composites. Arab. J. Sci. Eng. 2003, 28, 171–181. [Google Scholar]
- Rashdi, A.A.A.; Sapuan, S.M.; Ahmad, M.M.H.M.; Khalina, A. Water absorption and tensile properties of soil buried kenaf fibre reinforced unsaturated polyester composites (KFRUPC). J. Food Agric. Environ. 2009, 7, 4–7. [Google Scholar]
- Jawaid, M.; Abdul Khalil, H.P.S.; Abu Bakar, A. Woven hybrid composites: Tensile and flexural properties of oil palm-woven jute fibres-based epoxy composites. Mater. Sci. Eng. A 2011, 528, 5190–5195. [Google Scholar] [CrossRef]
- Kumar, N.R.; Chandra, R.B. Retention of Mechanical and Thermal Properties of Hydrothermal Aged Glass Fiber-Reinforced Polymer Nanocomposites. Polym. Plast. Technol. Eng. 2018, 57, 1676–1686. [Google Scholar]
- Nayak, R.K.; Ray, B.C. Influence of seawater absorption on retention of mechanical properties of nano-TiO2 embedded glass fiber reinforced epoxy polymer matrix composites. Arch. Civ. Mech. Eng. 2018, 18, 597–1607. [Google Scholar] [CrossRef]
- Nayak, R.K.; Ray, B.C. Water absorption, residual mechanical and thermal properties of hydrothermally conditioned nano-Al2O3 enhanced glass fiber reinforced polymer composites. Polym. Bull. 2017, 74, 4175–4194. [Google Scholar] [CrossRef]
- Narayanan, V.; ElayaPerumal, A.; Alavudeen, A.; Thiruchitrambalam, M. Mechanical and water absorption behaviour of banana/sisal reinforced hybrid composites. Mater. Des. 2011, 32, 4017–4021. [Google Scholar]
- Tufan, M.; Akbas, S.; Aslan, M. Decay resistance, thermal degradation, tensile and flexural properties of sisal carbon hybrid composites. Maderas-Cienc. Tecnol. 2016, 18, 599–606. [Google Scholar] [CrossRef] [Green Version]
- Wambua, P.; Vangrimde, B.; Lomov, S.; Verpoest, I. The response of natural fibre composites to ballistic impact by fragment simulating projectiles. Compos. Struct. 2007, 77, 232–240. [Google Scholar] [CrossRef]
- Mishra, S.; Mohanty, A.K.; Drzal, L.; Misra, M.; Parija, S.; Nayak, S.K.; Tripathy, S.S. Studies on mechanical performance of biofibre/glass reinforced polyester hybrid composites. Compos. Sci. Technol. 2003, 63, 1377–1385. [Google Scholar] [CrossRef]
- Abdul Khalil, H.P.S.; Hanida, S.; Kang, C.W.; Nik Fuaad, N.A. Agro-hybrid Composite: The effects on mechanical and physical properties of oil palm fiber (EFB)/glass hybrid reinforced polyester composites. J. Reinf. Plast. Compos. 2007, 26, 203–218. [Google Scholar] [CrossRef]
- Chaudhary, V.; Bajpai, P.K.; Maheshwari, S. An Investigation on Wear and Dynamic Mechanical behaviour of Jute/Hemp/Flax Reinforced Composites and Its Hybrids for Tribological Applications. Fiber Polym. 2018, 19, 403–415. [Google Scholar] [CrossRef]
- Shalwan, A.; Yousif, B. In state of art: Mechanical and tribological behaviour of polymeric composites based on natural fibres. Mater. Des. 2013, 48, 14–24. [Google Scholar] [CrossRef]
- Sneha Latha, P.; Venkateswara Rao, M.; Kiran Kumar, V.V.; Raghavendra, G.; Ojha, S.; Inala, R. Evaluation of mechanical and tribological properties of bamboo-glass hybrid fibre reinforced polymer composite. J. Ind. Text. 2016, 46, 3–8. [Google Scholar] [CrossRef] [Green Version]
- Karsli, N.G.; Aytac, A.; Deniz, V. Effects of initial fiber length and fiber length distribution on the properties of carbon-fiber-reinforced-polypropylene composites. J. Reinf. Plast. Comp. 2012, 31, 1053–1060. [Google Scholar] [CrossRef]
- Parikh, H.H.; Soni, H.P.; Suthar, D.A.; Patel, D.H. Mechanical and Tribological Characterization of Hybrid Natural Fiber Reinforced Composites. Curr. Mater. Sci. 2019, 12, 136–143. [Google Scholar] [CrossRef]
- Shuhimi, F.F.; Bin Abdollah, M.F.; Kalam, M.A.; Masjuki, H.H.; Mustafa, A.; Amiruddin, H. Tribological Characteristics Comparison for Oil Palm Fibre/Epoxy and Kenaf Fibre/Epoxy Composites under Dry Sliding Conditions. Tribol. Int. 2016, 101, 247–254. [Google Scholar] [CrossRef]
- Rajmohan, T.; Palanikumar, K.; Davim, J.P.; Arun Premnath, A. Modeling and optimization in tribological parameters of polyether ether ketone matrix composites using D-optimal design. J. Thermoplast. Comp. 2014, 1–28. [Google Scholar] [CrossRef]
- Rajamani, D.; Ziout, A.; Balasubramanian, E.; Velu, R.; Sachin, S.; Mohamed, H. Prediction and analysis of surface roughness in selective inhibition sintered high-density polyethylene parts: A parametric approach using response surface methodology–grey relational analysis. Adv. Mech. Eng. 2018, 10, 1–16. [Google Scholar] [CrossRef]
- Balasubramanian, E.; Rajamani, D.; Arunkumar, P. Modeling and prediction of optimal process parameters in wear behaviour of selective inhibition sintered high density polyethylene parts. Prog. Addit. Manufact. 2018, 3, 109–121. [Google Scholar]
- Aravind, C.; Gopala Krishnan, S.; Radhika, N. Investigating the Adhesive Wear Properties of Aluminum Hybrid Metal Matrix Composites at Elevated Temperatures Using RSM Technique. Tribol. Ind. 2019, 41, 604–612. [Google Scholar] [CrossRef]
- Nuruzzaman, D.M.; Chowdhury, M.A. Effect of Normal Load and Sliding Velocity on Friction Coefficient of Aluminum Sliding Against Different Pin Materials. Am. J. Mater. Sci. 2012, 2, 26–31. [Google Scholar] [CrossRef] [Green Version]
- Sakthi-Balan, G.; Ganesh, N.; Ravichandran, M. Study of tribological and water intake characteristics of epoxy-based hybrid composite. Mater. Today 2020, 27, 729–735. [Google Scholar]









| No | Process Variables | Unit | Levels | ||
|---|---|---|---|---|---|
| −1 | 0 | 1 | |||
| 1 | Applied load | N | 5 | 10 | 15 |
| 2 | Sliding velocity | m/s | 1 | 2 | 3 |
| 3 | Sliding distance | m | 500 | 1000 | 1500 |
| 4 | Composite combination | Categorical | AB | BC | CA |
| D1 (AB) | D2 (BC) | D3 (CA) |
|---|---|---|
| Kevlar | Kevlar | Kevlar |
| Aloe vera | Bamboo | Palm |
| Kevlar | Kevlar | Kevlar |
| Bamboo | Palm | Aloe vera |
| Kevlar | Kevlar | Kevlar |
| Exp No. | Applied Load (N) | Sliding Velocity (m/s) | Sliding Distance (m) | Sequence of Composite Laminates | SWR (mm3/N-m) | COF |
|---|---|---|---|---|---|---|
| 1 | 10 | 3 | 500 | AB | 3.82 × 10−7 | 0.323 |
| 2 | 15 | 2 | 1000 | AB | 9.43 × 10−7 | 0.354 |
| 3 | 15 | 1 | 1500 | BC | 1.81 × 10−7 | 0.266 |
| 4 | 15 | 1 | 500 | CA | 4.50 × 10−7 | 0.318 |
| 5 | 15 | 3 | 500 | BC | 2.72 × 10−7 | 0.357 |
| 6 | 15 | 2 | 1500 | CA | 2.10 × 10−7 | 0.268 |
| 7 | 15 | 3 | 1000 | CA | 7.43 × 10−8 | 0.316 |
| 8 | 10 | 1 | 1500 | AB | 3.73 × 10−7 | 0.285 |
| 9 | 10 | 1 | 1500 | AB | 3.14 × 10−7 | 0.319 |
| 10 | 15 | 3 | 1500 | AB | 2.56 × 10−7 | 0.322 |
| 11 | 5 | 3 | 500 | BC | 3.24 × 10−7 | 0.297 |
| 12 | 10 | 1.5 | 1250 | BC | 1.04 × 10−7 | 0.313 |
| 13 | 10 | 3 | 500 | AB | 4.61 × 10−7 | 0.287 |
| 14 | 5 | 1 | 500 | AB | 5.74 × 10−7 | 0.17 |
| 15 | 5 | 1 | 1500 | BC | 6.50 × 10−8 | 0.37 |
| 16 | 5 | 1 | 1500 | BC | 7.71 × 10−8 | 0.335 |
| 17 | 5 | 3 | 1500 | CA | 1.06 × 10−7 | 0.226 |
| 18 | 5 | 3 | 1500 | CA | 2.25 × 10−7 | 0.308 |
| 19 | 10 | 3 | 1500 | BC | 7.16 × 10−8 | 0.336 |
| 20 | 5 | 2 | 500 | CA | 4.25 × 10−8 | 0.36 |
| 21 | 10 | 2.5 | 1250 | CA | 1.08 × 10−7 | 0.325 |
| 22 | 12.5 | 2 | 750 | BC | 3.31 × 10−7 | 0.365 |
| 23 | 5 | 1 | 1000 | CA | 3.96 × 10−7 | 0.22 |
| 24 | 5 | 3 | 500 | BC | 3.73 × 10−7 | 0.29 |
| 25 | 7.5 | 2 | 1000 | AB | 4.51 × 10−7 | 0.239 |
| 26 | 15 | 1 | 1500 | BC | 1.45 × 10−7 | 0.293 |
| 27 | 10 | 1.5 | 750 | CA | 2.16 × 10−7 | 0.33 |
| 28 | 10 | 1 | 500 | BC | 2.01 × 10−7 | 0.327 |
| Source | Sum of Squares | DOF | Mean Square | F-Value | Prob > F | Remarks |
|---|---|---|---|---|---|---|
| Model | 1.03 × 10−12 | 17 | 6.09 × 10−14 | 54.04 | <0.0001 | Significant |
| A-Load | 3.11 × 10−14 | 1 | 3.11 × 10−14 | 27.61 | 0.0004 | |
| B-Sliding velocity | 9.69 × 10−14 | 1 | 9.69 × 10−14 | 85.99 | <0.0001 | |
| C-Sliding distance | 1.43 × 10−13 | 1 | 1.43 × 10−13 | 127.6 | <0.0001 | |
| D-Composites | 4.51 × 10−13 | 2 | 2.25 × 10−13 | 200.13 | <0.0001 | |
| AB | 9.02 × 10−14 | 1 | 9.02 × 10−14 | 80.05 | <0.0001 | |
| AC | 3.73 × 10−14 | 1 | 3.73 × 10−14 | 33.08 | 0.0002 | |
| AD | 1.36 × 10−13 | 2 | 6.81 × 10−14 | 60.41 | <0.0001 | |
| BC | 9.73 × 10−15 | 1 | 9.73 × 10−15 | 8.63 | 0.0148 | |
| BD | 1.37 × 10−13 | 2 | 6.86 × 10−14 | 60.83 | <0.0001 | |
| CD | 1.65 × 10−13 | 2 | 8.29 × 10−14 | 73.55 | <0.0001 | |
| A2 | 9.51 × 10−14 | 1 | 9.51 × 10−14 | 84.37 | <0.0001 | |
| C2 | 5.32 × 10−14 | 1 | 5.32 × 10−14 | 47.19 | <0.0001 | |
| Residual | 1.12 × 10−14 | 10 | 1.12 × 10−15 | Not significant | ||
| Lack of Fit | 5 × 10−15 | 5 | 1 × 10−15 | 0.79 | 0.5951 | |
| Pure Error | 6.27 × 10−15 | 5 | 1.25 × 10−15 | |||
| Cor. Total | 1.04 × 10−12 | 27 | ||||
| R2 = 98.92% | Adj. R2 = 97.09% | |||||
| Source | Sum of Squares | DOF | Mean Square | F-Value | Prob > F | Remarks |
|---|---|---|---|---|---|---|
| Model | 0.057 | 17 | 0.003 | 9.933 | 0.0004 | Significant |
| A-Load | 0.002 | 1 | 0.002 | 8.082 | 0.0175 | |
| B-Sliding velocity | 0.001 | 1 | 0.001 | 4.728 | 0.0458 | |
| C-Sliding distance | 0.000 | 1 | 0.000 | 1.957 | 0.0192 | |
| D-Composites | 0.009 | 2 | 0.004 | 13.884 | 0.0013 | |
| AB | 0.000 | 1 | 0.000 | 1.515 | 0.0246 | |
| AC | 0.009 | 1 | 0.009 | 26.680 | 0.0004 | |
| AD | 0.014 | 2 | 0.007 | 20.826 | 0.0003 | |
| BC | 0.000 | 1 | 0.000 | 1.577 | 0.0237 | |
| BD | 0.004 | 2 | 0.002 | 6.284 | 0.0171 | |
| CD | 0.005 | 2 | 0.002 | 8.414 | 0.0072 | |
| A2 | 0.002 | 1 | 0.002 | 6.931 | 0.0250 | |
| B2 | 0.004 | 1 | 0.004 | 14.124 | 0.0037 | |
| C2 | 0.004 | 1 | 0.004 | 13.550 | 0.0042 | |
| Residual | 0.003 | 10 | 0.000 | |||
| Lack of Fit | 0.001 | 5 | 0.000 | 0.520 | 0.7547 | Not significant |
| Pure Error | 0.002 | 5 | 0.000 | |||
| Cor.Total | 0.060 | 27 | ||||
| R2 = 94.4% | Adj. R2 = 84.9% | |||||
| Run | Grey Relational Coefficient | Grey Relational Grade | Rank | |
|---|---|---|---|---|
| SWR | COF | |||
| 1 | 0.5865 | 0.3892 | 0.4879 | 25 |
| 2 | 0.3334 | 0.3464 | 0.3399 | 28 |
| 3 | 0.9155 | 0.5039 | 0.7097 | 4 |
| 4 | 0.5373 | 0.3971 | 0.4672 | 27 |
| 5 | 0.6940 | 0.3427 | 0.5184 | 23 |
| 6 | 0.7662 | 0.4987 | 0.6324 | 12 |
| 7 | 1.0064 | 0.4004 | 0.7034 | 5 |
| 8 | 0.5974 | 0.4588 | 0.5281 | 20 |
| 9 | 0.6463 | 0.3955 | 0.5209 | 22 |
| 10 | 0.7182 | 0.3908 | 0.5545 | 18 |
| 11 | 0.6366 | 0.4343 | 0.5355 | 19 |
| 12 | 0.9401 | 0.4054 | 0.6728 | 9 |
| 13 | 0.5303 | 0.4545 | 0.4924 | 24 |
| 14 | 0.4656 | 1.0000 | 0.7328 | 2 |
| 15 | 1.0285 | 0.3277 | 0.6781 | 8 |
| 16 | 0.9999 | 0.3714 | 0.6857 | 7 |
| 17 | 0.9355 | 0.6352 | 0.7853 | 1 |
| 18 | 0.7448 | 0.4140 | 0.5794 | 15 |
| 19 | 1.0127 | 0.3700 | 0.6914 | 6 |
| 20 | 1.0866 | 0.3391 | 0.7129 | 3 |
| 21 | 0.9327 | 0.3861 | 0.6594 | 10 |
| 22 | 0.6307 | 0.3333 | 0.4820 | 26 |
| 23 | 0.5756 | 0.6610 | 0.6183 | 13 |
| 24 | 0.5936 | 0.4483 | 0.5210 | 21 |
| 25 | 0.5366 | 0.5856 | 0.5611 | 17 |
| 26 | 0.8630 | 0.4422 | 0.6526 | 11 |
| 27 | 0.7567 | 0.3786 | 0.5676 | 16 |
| 28 | 0.7780 | 0.3831 | 0.5805 | 14 |
Publisher’s Note: MDPI stays neutral with regard to jurisdictional claims in published maps and institutional affiliations. |
© 2022 by the authors. Licensee MDPI, Basel, Switzerland. This article is an open access article distributed under the terms and conditions of the Creative Commons Attribution (CC BY) license (https://creativecommons.org/licenses/by/4.0/).
Share and Cite
Murali, B.; Vijaya Ramnath, B.M.; Rajamani, D.; Nasr, E.A.; Astarita, A.; Mohamed, H. Experimental Investigations on Dry Sliding Wear Behavior of Kevlar and Natural Fiber-Reinforced Hybrid Composites through an RSM–GRA Hybrid Approach. Materials 2022, 15, 749. https://doi.org/10.3390/ma15030749
Murali B, Vijaya Ramnath BM, Rajamani D, Nasr EA, Astarita A, Mohamed H. Experimental Investigations on Dry Sliding Wear Behavior of Kevlar and Natural Fiber-Reinforced Hybrid Composites through an RSM–GRA Hybrid Approach. Materials. 2022; 15(3):749. https://doi.org/10.3390/ma15030749
Chicago/Turabian StyleMurali, Banu, Bindu Madhavan Vijaya Ramnath, Devaraj Rajamani, Emad Abouel Nasr, Antonello Astarita, and Hussein Mohamed. 2022. "Experimental Investigations on Dry Sliding Wear Behavior of Kevlar and Natural Fiber-Reinforced Hybrid Composites through an RSM–GRA Hybrid Approach" Materials 15, no. 3: 749. https://doi.org/10.3390/ma15030749
APA StyleMurali, B., Vijaya Ramnath, B. M., Rajamani, D., Nasr, E. A., Astarita, A., & Mohamed, H. (2022). Experimental Investigations on Dry Sliding Wear Behavior of Kevlar and Natural Fiber-Reinforced Hybrid Composites through an RSM–GRA Hybrid Approach. Materials, 15(3), 749. https://doi.org/10.3390/ma15030749

