Compatibility of Drotaverine Hydrochloride with Ibuprofen and Ketoprofen Nonsteroidal Anti-Inflammatory Drugs Mixtures
Abstract
1. Introduction
2. Materials and Methods
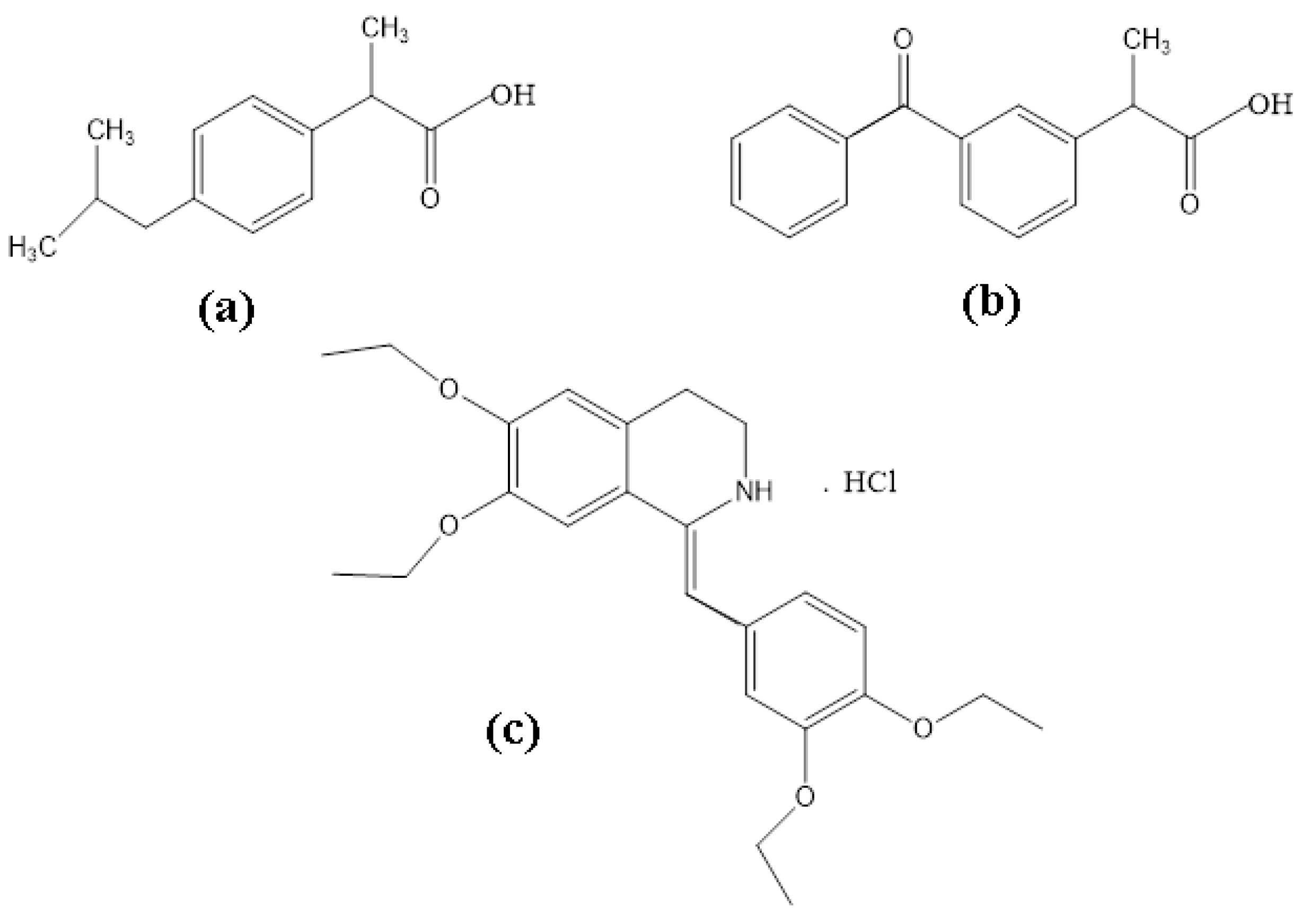
2.1. Chemicals
2.2. Equipment
2.3. Preparation of the Binary Mixtures
2.4. Data Analysis
3. Results and Discussion
3.1. DSC Analysis of Pure Substances
3.2. DSC Analysis of Binary Mixtures of API
3.3. XRD Analysis
3.4. Analysis by FTIR Spectrometry
4. Conclusions
Supplementary Materials
Author Contributions
Funding
Institutional Review Board Statement
Informed Consent Statement
Data Availability Statement
Conflicts of Interest
References
- George, C.P.; Thorat, S.H.; Shaligram, P.S.; Gonnade, R.G. Drug-drug cocrystals of anticancer drugs erlotinib-furosemide and gefitinib-mefenamic acid for alternative multidrug treatment. Cryst. Eng. Comm. 2020, 22, 6137–6151. [Google Scholar] [CrossRef]
- Zalte, A.G.; Saudagar, R.B. Advances techniques in preparation of cocrystals. Int. J. Sci. Prog. Res. 2015, 12, 32–35. [Google Scholar]
- Wang, J.; Dai, X.L.; Lu, T.B.; Chen, J.M. Temozolomide-hesperetin drug-drug cocrystal with optimized performance in stability, dissolution, and tabletability. Cryst. Growth Des. 2021, 21, 838–846. [Google Scholar] [CrossRef]
- Liu, L.; Li, Y.; Zhang, M.; Zhang, Y.; Lou, B. A drug−drug cocrystal of dihydromyricetin and pentoxifylline. J. Pharm. Sci. 2021, 111, 82–87. [Google Scholar] [CrossRef] [PubMed]
- Rajurkar, V.G.; Sunil, N.A.; Ghawate, V. Tablet formulation and enhancement of aqueous solubility of efavirenz by solvent evaporation co-crystal technique. Med. Chem. 2015, 2, 2161–2444. [Google Scholar] [CrossRef]
- Shinozaki, T.; Ono, M.; Higashi, K.; Moribe, K. A novel drug-drug cocrystal of levofloxacin and metacetamol: Reduced hygroscopicity and improved photostability of levofloxacin. J. Pharm. Sci. 2019, 108, 2383–2390. [Google Scholar] [CrossRef] [PubMed]
- Macaşoi, C.; Pincu, E.; Jurca, B.; Meltzer, V. Increasing the bromazepam solubility by forming eutectic mixture with citric acid. Thermochim. Acta 2021, 702, 178954. [Google Scholar] [CrossRef]
- Douroumis, D.; Ross, S.A.; Nokhodchi, A. Advanced methodologies for cocrystal synthesis. Adv. Drug Deliv. Rev. 2017, 117, 178–195. [Google Scholar] [CrossRef] [PubMed]
- Haţieganu, E.; Dumitrescu, D.; Stecoza, C.; Moruşciag, L. Chimie Terapeutică; Editura Medicală: Bucuresti, România, 2006. [Google Scholar]
- Hawash, M.; Jaradat, N.; Hameedi, S.; Mousa, A. Design, synthesis and biological evaluation of novel benzodioxole derivatives as COX inhibitors and cytotoxic agents. BMC Chemistry 2020, 14, 54–62. [Google Scholar] [CrossRef] [PubMed]
- Roosewelt, C.; Harihrishnan, N.; Gunasekaran, V.; Chandrasekaran, S.; Haribaskar, V.; Prathap, B. Simultaneous estimation of Drotaverine HCl and Mefenamic Acid in tablet dosage form using spectrophotometric method. Asian J. Chem. 2010, 22, 843–849. [Google Scholar]
- Anumolu, P.D.; Gurrala, S.; Yeradesi, V.R.; Puvvadi, S.B.R.; Chavali, S.V.S. Development of dissolution test method for Drotaverine Hydrochloride/Mefenamic Acid combination using derivative spectrophotometry. Trop. J. Pharm. Res. 2013, 12, 227–232. [Google Scholar] [CrossRef][Green Version]
- Pavel, I.Z.; Heller, L.; Sommerwerk, S.; Loesche, A.; Al-Harrasi, A.; Csuk, R. Drotaverine—A Concealed Cytostatic! Arch. Pharm. Chem. Life Sci. 2017, 350, e1600289. [Google Scholar] [CrossRef] [PubMed]
- Marinescu, D.C.; Pincu, E.; Meltzer, V. Thermodynamic study of binary system Propafenone Hydrocloride with Metoprolol Tartrate: Solid–liquid equilibrium and compatibility with α-lactose monohydrate and corn starch. Int. J. Pharm. 2013, 448, 366–372. [Google Scholar] [CrossRef] [PubMed]
- Rai, U.S.; Rai, R.N. Physical chemistry of the organic analog of metal–metal eutectic and monotectic alloys. J. Cryst. Growth. 1998, 191, 234–242. [Google Scholar] [CrossRef]
- Sharma, B.L.; Kant, R.; Sharma, R.; Tandon, S. Deviations of binary organic eutectic melt systems. Mater. Chem. Phys. 2003, 82, 216–224. [Google Scholar] [CrossRef]
- Reddi, R.S.B.; Kumar Satuluri, V.S.A.; Rai, U.S.; Rai, R.N. Thermal, physicochemical and microstructural studies of binary organic eutectic systems. J. Therm. Anal. Calorim. 2012, 107, 377–385. [Google Scholar] [CrossRef]
- Donthi, M.R.; Dudhipala, N.R.; Komalla, D.R.; Suram, D.; Banala, N. Preparation and evaluation of fixed combination of ketoprofen enteric coated and famotidine floating mini tablets by single unit encapsulation system. J. Bioequiv. Availab. 2015, 7, 279–283. [Google Scholar] [CrossRef]
- Xu, F.; Sun, L.X.; Tan, Z.C.; Liang, J.G.; Li, R.L. Thermodynamic study of ibuprofen by adiabatic calorimetry and thermal analysis. Thermochim. Acta 2004, 412, 33–57. [Google Scholar] [CrossRef]
- Prajapati, S.; Shah, P.; Patel, C. Formulation and evaluation of orodispersible tablets of drotaverine HCl. Int. J. Curr. Res. Pharm. 2015, 1, 60–71. [Google Scholar]
- de Villiers, M.M.; Liebenberg, W.; Malan, S.F.; Gerber, J.J. The dissolution and complexing properties of ibuprofen and ketoprofen when mixed with N-methylglucamide. Drug Dev. Ind. Pharm. 1999, 25, 967–972. [Google Scholar] [CrossRef] [PubMed]
- Gábor, K.; Szalontai, B.; Budai-Szűcs, M.; Csányi, E.; Szabó-Révész, P.; Jójárt-Laczkovich, O. Formulation of paracetamol-containing pastilles with in situ coating technology. Eur. J. Pharm. Sci. 2016, 95, 54–61. [Google Scholar] [CrossRef]
- Georgescu, M.; Meltzer, V.; Stanculescu, I.; Pincu, E. Thermal behavior of the nimesulide-salicylic acid eutectic mixtures prepared by mechanosynthesis and recrystallization. Materials 2021, 14, 7715. [Google Scholar] [CrossRef]
- Meltzer, V.; Oancea, P.; Stanculescu, I.; Pincu, E. Physico-chemical characterization of solid state reaction between terephtalaldehyde and p-aminophenol. Rev. Roum. Chim. 2021, 66, 273–280. [Google Scholar] [CrossRef]
- Marinescu, D.C.; Pincu, E.; Stanculescu, I.; Meltzer, V. Thermal and spectral characterization of a binary mixture (acyclovir and fluocinolone acetonide): Eutectic reaction and inclusion complexes with beta-cyclodextrin. Thermochim. Acta 2013, 560, 104–111. [Google Scholar] [CrossRef]
- Garbacz, P.; Wesolowski, M. DSC, FTIR and Raman Spectroscopy coupled with multivariate analysis in a study of co-crystals of pharmaceutical interest. Molecules 2018, 23, 2136. [Google Scholar] [CrossRef] [PubMed]
- Ewing, A.V.; Clarke, G.S.; Kazarian, S.G. Attenuated total reflection-Fourier transform infrared spectroscopic imaging of pharmaceuticals in microfluidic devices. Biomicrofluidics 2016, 10, 024125. [Google Scholar] [CrossRef] [PubMed]
- Matkovic, S.R.; Valle, G.M.; Briand, L.E. Quantitative analysis of ibuprofen in pharmaceutical formulations through FTIR spectroscopy. Lat. Am. Appl. Res. 2005, 35, 189–195. [Google Scholar]
- Elkordy, A.A.; Essa, E.A. Dissolution of ibuprofen from spray dried and spray chilled particles. Pak. J. Pharm. Sci. 2010, 23, 284–290. [Google Scholar] [PubMed]
- Ambala, R.; Vemul, S.K. Formulation and characterization of ketoprofen emulgels. J. Appl. Pharm. Sci. 2015, 5, 112–117. [Google Scholar] [CrossRef]
- Vueba, M.L.; Pina, M.E.; Veiga, F.; Sousa, J.J.; Batista De Carvalho, L.A.E. Conformational study of ketoprofen by combined DFT calculations and Raman spectroscopy. Int. J. Pharm. 2006, 307, 56–65. [Google Scholar] [CrossRef] [PubMed]
- Srikanth, M.V.; Uhumwangho, M.U.; Sunil, S.A.; Rao, N.S.; Ravi Kiran, C.H.; Ramanamurthy, K.V. Design and evaluation of taste masked drotaverine HCl orodispersible tablets using polymethacrylate polymers. Der Pharm. Lett. 2010, 2, 223–231. [Google Scholar]
- Pubchem Database. Available online: https://pubchem.ncbi.nlm.nih.gov/ (accessed on 1 February 2022).







| Pure Compound | Tfus/K | ∆fusH/kJ mol−1 | |
|---|---|---|---|
| Lit. (DSC) | This Study (DSC) | This Study (DSC) | |
| Ibuprofen | 349 [19] | 348.4 ± 0.2 | 24.91 ± 0.43 |
| Ketoprofen | 366.15 [18] | 367.5 ± 0.2 | 27.42 ± 0.32 |
| Drotaverine Hydrochloride | 489.35 [20] | 488.4 ± 0.4 | 50.52 ± 0.52 |
| xIbu | 1st DSC Peak | 2nd DSC Peak | GE/J mol−1 | |
|---|---|---|---|---|
| T/K | ΔfusHe/J g−1 | T/K | ||
| 0 | - | - | 488.4 | - |
| 0.2 | 343.3 | 14.77 | 474.2 | 2900.5 |
| 0.4 | 343.8 | 31.54 | 457.6 | 4065.4 |
| 0.5 | 343.5 | 51.68 | 443.3 | 3987.2 |
| 0.7 | 343.5 | 75.48 | 412.8 | 3175.2 |
| 0.9 | 343.8 | 111.9 | 343.8 | −615.4 |
| 1 | - | - | 348.4 | - |
| xKet | 1st DSC Peak | 2nd DSC Peak | GE/J mol−1 | |
|---|---|---|---|---|
| T/K | ∆fusHe/J g−1 | T/K | ||
| 0 | - | - | 488.4 | - |
| 0.2 | 343.6 | 8.86 | 474.4 | 2582.4 |
| 0.3 | 347.8 | 14.56 | 460.5 | 2553.5 |
| 0.4 | 347.4 | 18.09 | 447.2 | 2450.0 |
| 0.5 | 342.0 | 26.03 | 432.2 | 2102.5 |
| 0.7 | 349.3 | 62.82 | 374.8 | −1217.7 |
| 0.8 | 344.1 | 94.02 | 344.1 | −1828.0 |
| 0.9 | 353.2 | 57.44 | 365.2 | −470.1 |
| 1 | - | - | 367.4 | - |
| Ket | Ibu | D-HCl | |||
|---|---|---|---|---|---|
| Angle (2ϴ) | I/I0 | Angle (2ϴ) | I/I0 | Angle (2ϴ) | I/I0 |
| 23 | 100 | 6 | 100 | 14.5 | 100 |
| 18.5 | 79.3 | 22.3 | 81.4 | 22 | 60 |
| 22 | 69.4 | 16 | 65.4 | 44 | 28.57 |
| 6.5 | 46.2 | 20.4 | 52.7 | 65 | 25.42 |
| 19.5 | 51.3 | 12.3 | 30.7 | 77 | 27.71 |
| Ibu | D-HCl | Ket | |||
|---|---|---|---|---|---|
| ν (cm−1) | Vibration Mode | ν (cm−1) | Vibration Mode | ν (cm−1) | Vibration Mode |
| 2955 | νCH3 antisymmetric | 3500–3300 | νN-H secondary amine | 3054 | νC-H |
| 1708 | νC=O | 3000–2840 | νC-H | ||
| 1507 | νC=C aromatic | 1650–1580 | δ N-H | 1694 | νC=O |
| 1418 | δCH-CO | 1600–1475 | νC=C aromatic | 1654 | νC=O (ketone) |
| 1329 | δOH in plane | 1260–1000 | νC-O | 15,898 | νC=C aromatic |
| 1230 | νC-C | 1442 | νC=C aromatic | ||
| 934 | δCH3 rocking | ||||
| 866 | δC-H out of plane | ||||
| 779 | δCH2 rocking | ||||
| 668 | δC-H out of plane | ||||
Publisher’s Note: MDPI stays neutral with regard to jurisdictional claims in published maps and institutional affiliations. |
© 2022 by the authors. Licensee MDPI, Basel, Switzerland. This article is an open access article distributed under the terms and conditions of the Creative Commons Attribution (CC BY) license (https://creativecommons.org/licenses/by/4.0/).
Share and Cite
Soare, A.-C.; Meltzer, V.; Colbea, C.; Stanculescu, I.; Pincu, E. Compatibility of Drotaverine Hydrochloride with Ibuprofen and Ketoprofen Nonsteroidal Anti-Inflammatory Drugs Mixtures. Materials 2022, 15, 1244. https://doi.org/10.3390/ma15031244
Soare A-C, Meltzer V, Colbea C, Stanculescu I, Pincu E. Compatibility of Drotaverine Hydrochloride with Ibuprofen and Ketoprofen Nonsteroidal Anti-Inflammatory Drugs Mixtures. Materials. 2022; 15(3):1244. https://doi.org/10.3390/ma15031244
Chicago/Turabian StyleSoare, Andreia-Cristina, Viorica Meltzer, Claudiu Colbea, Ioana Stanculescu, and Elena Pincu. 2022. "Compatibility of Drotaverine Hydrochloride with Ibuprofen and Ketoprofen Nonsteroidal Anti-Inflammatory Drugs Mixtures" Materials 15, no. 3: 1244. https://doi.org/10.3390/ma15031244
APA StyleSoare, A.-C., Meltzer, V., Colbea, C., Stanculescu, I., & Pincu, E. (2022). Compatibility of Drotaverine Hydrochloride with Ibuprofen and Ketoprofen Nonsteroidal Anti-Inflammatory Drugs Mixtures. Materials, 15(3), 1244. https://doi.org/10.3390/ma15031244

