Study on Microwave Deicing Efficiency of Microwave-Absorbing Concrete Pavements and Its Influencing Factors
Abstract
1. Introduction
2. Materials and Methods
2.1. Raw Materials
2.2. Specimen Preparation
2.3. Test Equipment and Test Method
2.3.1. Test Equipment
2.3.2. Test Method
- (a)
- For the test of the form of the road’s surface structure, specimens of the scattered microwave-absorbing surface with thicknesses of 2 cm, 3 cm, and 4 cm and a magnetite content of 60 vol %, and specimens of the thin double-layered microwave-absorbing surface with thicknesses of 2 cm, 3 cm, and 4 cm and a magnetite content of 60 vol % were formed according to the methods proposed in Section 2.2, followed by the microwave heating experiments. The temperatures at different locations on the concrete slabs’ surfaces, i.e., at Points 1 to 13, were recorded throughout the test, and the average value of the temperature at all points was taken.
- (b)
- In the tests of the content of the microwave-absorbing material, magnetite was used to replace crushed limestone aggregates at 0 %, 20 %, 40 %, 60 %, 80 %, or 100 % by volume. Microwave-absorbing concrete slabs (2 cm in thickness) were made according to the method of forming the scattered microwave-absorbing surface specimens.
- (c)
- In the test to investigate the effect of microwave power, the microwave power was set to 4000 W, 7000 W, and 10,000 W. Microwave heating experiments were carried out on cement concrete specimens with a scattered microwave-absorbing layer with different magnetite contents (40 vol %, 60 vol %, and 80 vol %) at different levels of microwave power.
- (d)
- In the test of the shielding conditions, according to the dissipation and loss path of microwaves in the cement surface of the road, some of the microwaves will penetrate the microwave-absorbing cement concrete slab and reach the next structural layer of the concrete slab. Therefore, this study used metal aluminum foil as a microwave shielding material pasted underneath the cement concrete slab to simulate the state of the cement concrete slab at the bottom shielding layer, as shown in Figure 8, to further examine the efficiency of the heating by microwave absorption in a microwave-absorbing cement concrete slab with bottom shielding. Before the test, the concrete specimens with different magnetite contents were divided into those in the fully free state and those with bottom shielding, and the average value of the temperature measured at five points on the concrete slab (Points 1–5) was taken as the object of analysis and comparison in order to study the influence law of the surface heating rate of microwave-absorbing concrete in the two states (free and with bottom shielding).
- (e)
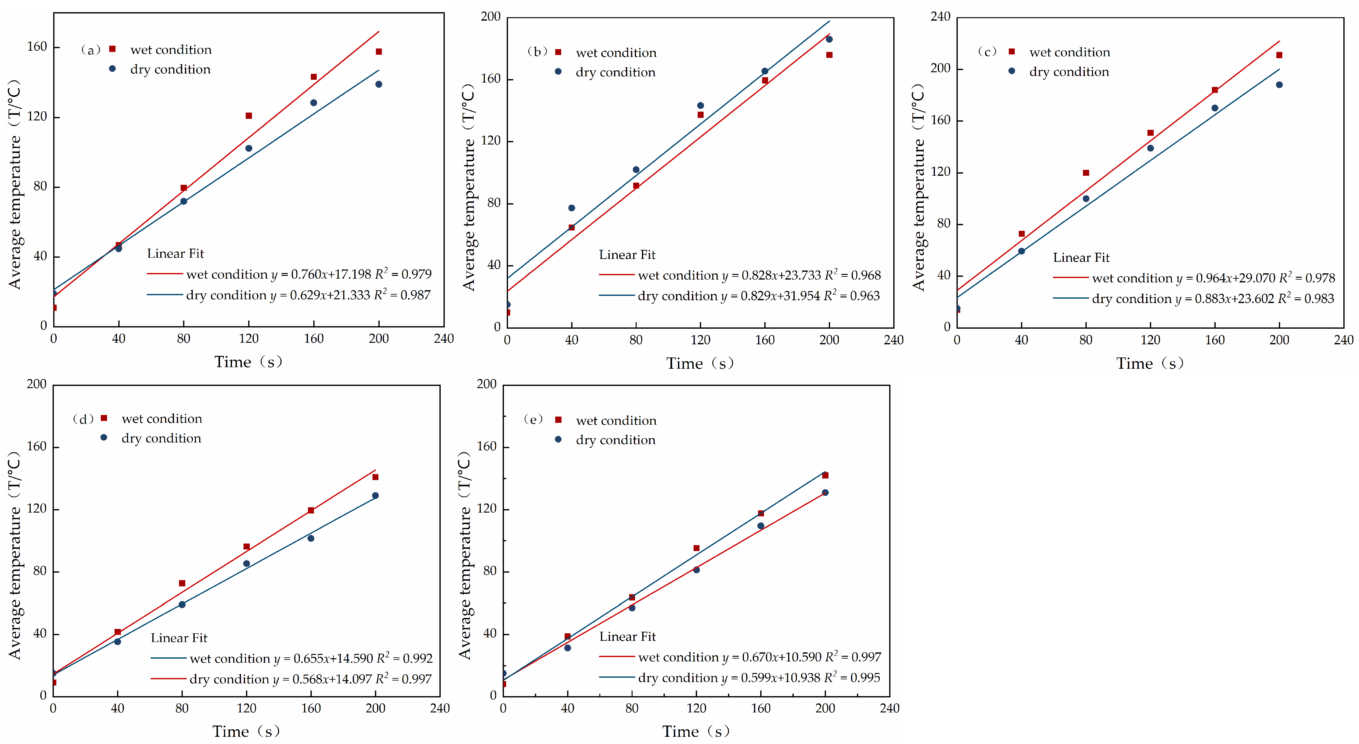
- The four tests described above were carried out in a dry environment, but the actual process of microwave deicing in a microwave-absorbing concrete road surface can generate its own heat through the action of the microwave-sensitive materials. After the heat has been transferred to the road–ice interface, the frozen ice at the point of contact between the road’s surface and the ice layer will gradually melt, producing water, and the microwave-absorbing road surface will become wet. Therefore, in this test, the effect of the moisture in the microwave-absorbing concrete on the efficiency of microwave deicing was analyzed by comparing the data on the increase in the microwave absorption temperature for dry and wet concrete slabs. The microwave-absorbing material contents were 60 vol % magnetite, iron sulfide slag, steel slag, lead–zinc slag, or graphite made into specimens with a scattered microwave-absorbing layer. These specimens were placed in a water bath for 6 h, and the surface moisture of the specimen was wiped dry. The concrete specimens were heated by a 7000 W microwave in both dry and wet conditions, and the average values of the temperatures measured at five points (Points 1–5) on the concrete slab in order to study the absorption rate of the microwave-absorbing concrete in dry and wet conditions.
3. Results
3.1. The Influence of the Form of the Pavement Surface Structure on the Efficiency of Microwave Deicing
3.2. Effect of Microwave-Absorbing Material Contents on the Efficiency of Microwave Deicing
3.3. Effect of Microwave Power on the Efficiency of Microwave Deicing
3.4. Effect of the Shielding State on the Efficiency of Microwave Deicing
3.5. Effect of Dry and Wet Conditions on the Efficiency of Microwave Deicing
4. Conclusions and Discussion
- (1)
- Concrete specimens with a scattered microwave-absorbing surface layer had more significant microwave absorption and warming advantages than the thin double-layered microwave-absorbing concrete specimens. A scattered microwave-absorbing layer with a thickness of 2 cm had the best deicing effect.
- (2)
- The efficiency of microwave deicing increases significantly with an increase in the content of the microwave-absorbing material in the cement concrete, and the deicing time decreased with an increase in the content of the microwave-absorbing material, but there was also a decrease in the deicing rate. The deicing effect was good and economical when the content of magnetite was 40 vol %, 60 vol %, and 80 vol %.
- (3)
- Increasing the microwave power can significantly improve the efficiency of microwave deicing. The difference Δt between the time when the ice starts to slide and the time when the ice has completely detached decreased significantly with an increase in the power of the incident microwaves.
- (4)
- A shielding layer can be set at the bottom of the microwave-absorbing concrete slab to enhance its rate of heating by microwave absorption to a significant extent. Therefore, the structure of a microwave-absorbing concrete road surface can be designed with an absorbing layer above the reflective shielding layer, so the microwaves transmitted through the absorbing layer and to the shielding layer are reflected back to the upper absorbing layer, in order to achieve a second round of microwave heating.
- (5)
- Microwave-absorbing concrete has a faster rate of warming in the wet state. Under 7000 W of power, a concrete slab with 60 vol % magnetite had a significant deicing effect compared with other materials.
Author Contributions
Funding
Institutional Review Board Statement
Informed Consent Statement
Data Availability Statement
Conflicts of Interest
References
- Du, Y.; Li, F.; Wang, S.; Zhu, X. Inhibition and Removal of Thin Ice on the Surface of Asphalt Pavements by Hydrophobic Method. J. Test. Eval. 2016, 44, 711–718. [Google Scholar] [CrossRef]
- Xu, H.F.; He, Z.Y.; Zhu, Y.Z.; Zhao, X.L. Current situation and development trend of road deicing and snow removal vehicles. Spec. Purp. Veh. 2018, 7, 83–86. [Google Scholar]
- Novak, A.; Mrázová, M. Research of Physiological Factors Affecting Pilot Performance in Flight Simulation Training Device. Komunikacie 2015, 17, 103–107. [Google Scholar] [CrossRef]
- Glushko, A.N.; Loseva, E.A.; Kislyakova, L.S.; Bessarabov, A.M.; Zhdanovich, O.A.; Sandu, R.A. Contribution of Applied Chemistry to Maintaining Russian Highway Infrastructure in Winter. Russ. J. Gen. Chem. 2015, 85, 2449–2457. [Google Scholar] [CrossRef]
- Scott, R.; Goulden, T.; Letman, M.; Hayward, J.; Jamieson, R. Long-Term Evaluation of the Impact of Urbanization on Chloride Levels in Lakes in a Temperate Region. J. Environ. Manag. 2019, 244, 285–293. [Google Scholar] [CrossRef] [PubMed]
- Kodur, V.; Banerji, S.; Solhmirzaei, R. Effect of Temperature on Thermal Properties of Ultrahigh-Performance Concrete. J. Mater. Civ. Eng. 2020, 32, 04020210. [Google Scholar] [CrossRef]
- Alimrani, N.S.; Balazs, G.L. Synthetic Fibres or Fibre Cocktail in Terms of Shear Capacity of Concrete after Elevated Temperatures. Mech. Mater. 2020, 148, 103504. [Google Scholar] [CrossRef]
- Miron, J.; Millward, A.A.; Vaziriyeganeh, M.; Zwiazek, J.J.; Urban, J. Winter Climate Variability, De-Icing Salt and Streetside Tree Vitality. Front. Ecol. Evol. 2022, 10, 749168. [Google Scholar] [CrossRef]
- Buttress, A.J.; Jones, D.A.; Dodds, C.; Dimitralds, G.; Campbell, C.J.; Dawson, A.; Kingman, S.W. Understanding the Scabbling of Concrete Using Microwave Energy. Cem. Concr. Res. 2015, 75, 75–90. [Google Scholar] [CrossRef]
- Chen, H.; Wu, Y.; Xia, H.; Zhang, Z.; Yuan, T. Anti-Freezing Asphalt Concrete: Ice-Adhesion Performance. J. Mater. Sci. 2018, 53, 4781–4795. [Google Scholar] [CrossRef]
- Wang, Z.; Wang, H.; An, D.; Ai, T.; Zhao, P. Laboratory Investigation on Deicing Characteristics of Asphalt Mixtures Using Magnetite Aggregate as Microwave-Absorbing Materials. Constr. Build. Mater. 2016, 124, 589–597. [Google Scholar] [CrossRef]
- Guan, M.H.; Xu, Y.G.; Lu, T.J.; Xu, C.H. Application of Microwave Heating on Removing Ice on Streets. J. North. Jiaotong Univ. 2003, 27, 79–83. [Google Scholar]
- Zanko, L.M.; Niles, H.B.; Oreskovich, J.A. Mineralogical and Microscopic Evaluation of Coarse Taconite Tailings from Minnesota Taconite Operations. Regul. Toxicol. Pharmacol. 2008, 52, S51–S65. [Google Scholar] [CrossRef]
- Hopstock, D.M.; Zanko, L.M. Minnesota Taconite as a Microwave-Absorbing Road Aggregate Material for Deicing and Pothole Patching Applications; University of Minnesota: Duluth, MN, USA, 2005; Available online: http://conservancy.umn.edu/handle/11299/974 (accessed on 11 October 2022).
- Gao, J.; Zhang, Z.W.; Han, Z.Q.; Sha, A.M.; Wang, Z.J.; Jiang, W. A Review of Electromagnetic Wave Absorbing Materials Used in Microwave Deicing Pavement. Mater. Rev. 2016, 30, 87–95. [Google Scholar]
- Lou, B.; Liu, Z.; Sha, A.; Jia, M.; Li, Y. Microwave Absorption Ability of Steel Slag and Road Performance of Asphalt Mixtures Incorporating Steel Slag. Materials 2020, 13, 663. [Google Scholar] [CrossRef]
- Gallego, J.; del Val, M.A.; Contreras, V.; Paez, A. Heating Asphalt Mixtures with Microwaves to Promote Self-Healing. Constr. Build. Mater. 2013, 42, 1–4. [Google Scholar] [CrossRef]
- Rajavaram, R.; Lee, J.; Oh, J.S.; Kim, H.G.; Lee, J. Microwave Heating Characteristics of Magnetite Ore. Met. Mater.-Int. 2016, 22, 1116–1120. [Google Scholar] [CrossRef]
- Guan, B.W.; Yang, T.; Xiong, R.; Wang, Y.W. Electromagnetic Wave Absorbing Properties of Asphalt Mixture with Natural Magnetite Powder. J. Build. Mater. 2016, 19, 198–203. [Google Scholar]
- Wang, Z.H.; Bai, E.L.; Yan, P.; Huang, H.; Liu, J.L.; Wang, Y.X. Microwave deicing characteristics and durability of magnetite aggregate concrete. Acta Mater. Compos. Sin. 2022, 1–14. [Google Scholar] [CrossRef]
- Wang, Z.H.; Bai, E.L.; Huang, H.; Wang, T.; Sun, H. Study on the Electromagnetic Property and Microwave Heating Efficiency of Concrete with Magnetite Aggregate. Constr. Build. Mater. 2022, 342, 128080. [Google Scholar] [CrossRef]
- Liu, J.; Xu, J.; Huang, H.; Chen, H. Microwave Deicing Efficiency and Dielectric Property of Road Concrete Modified Using Different Wave Absorbing Material. Cold Reg. Sci. Tech. 2020, 174, 103064. Available online: https://www.webofscience.com/wos/alldb/full-record/WOS:00053149170002 (accessed on 3 November 2022). [CrossRef]
- Makul, N.; Rattanadecho, P.; Agrawal, D.K. Applications of Microwave Energy in Cement and Concrete—A Review. Renew. Sust. Energ. Rev. 2014, 37, 715–733. [Google Scholar] [CrossRef]
- Wang, J.Y.; Wang, X.C.; Ding, L.T.; Fu, L.J. Microwave sensitive coating materials and equipment for snow removal. J. Chang. Univ. Nat. Sci. Ed. 2018, 38, 49–57. [Google Scholar]
- Jiao, S.J.; Tang, X.W.; Gao, Z.Y.; Wang, Q. Study of Key Technology on Microwave Deicing Efficiency. China J. Highw. Transp. 2008, 21, 121–126. [Google Scholar]
- Ding, L.; Wang, X.; Zhang, W.; Wang, S.; Zhao, J.; Li, Y. Microwave Deicing Efficiency: Study on the Difference between Microwave Frequencies and Road Structure Materials. Appl. Sci. 2018, 8, 2360. [Google Scholar] [CrossRef]
- Chen, H.; Xu, J.; Wu, Y.; Liu, J.; Huang, H. Study on the Thermodynamic Properties of Concrete Surface during Microwave Deicing of Airport Pavement. Materials 2020, 13, 3557. [Google Scholar] [CrossRef]
- Huang, H.; Xu, J.; Yao, A.; Xia, W.; Bai, E.; Ning, Y. Study on Microwave Deicing of Carbon-Fiber-Modified Concrete under Multi-Factor Coupling Effect. Appl. Sci. 2022, 12, 5551. [Google Scholar] [CrossRef]
- Xia, W.; Bai, E.; Lu, S.; Xu, J.; Huang, H. Optimal Design and Experimental Study of Horn Antenna in Pavement Microwave Deicing Technology. Cold Reg. Sci. Tech. 2023, 205, 103695. [Google Scholar] [CrossRef]
- Guo, H.; Wang, Z.; Huo, J.; Wang, X.; Liu, Z.; Li, G. Microwave Heating Improvement of Asphalt Mixtures through Optimizing Layer Thickness of Magnetite and Limestone Aggregates. J. Clean. Prod. 2020, 273, 123090. [Google Scholar] [CrossRef]
- Meng, X.; Xu, J.Y.; Lv, X.C.; Bai, E.L.; Huang, H. Research on Microwave Heat Absorption Efficiency of Carbon Fiber Concrete. J. Air Force Eng. Univ. (Nat. Sci. Ed.) 2021, 22, 107–110. [Google Scholar]
- Singh, C.; Nikolic, M.V.; Narang, S.B.; Sombra, A.S.B.; Zhou, D.; Trukhanov, S.; Panina, L.; Singh, J.; Trukhanov, A. Complex Permittivity and Complex Permeability Characteristics of Co-Ti Doped Barium Strontium Hexaferrite/Paraffin Wax Composites for Application in Microwave Devices. Appl. Phys. A-Mater. Sci. Process. 2020, 126, 850. [Google Scholar] [CrossRef]
- Gao, N.; Li, W.-P.; Wang, W.-S.; Liu, P.; Cui, Y.-M.; Guo, L.; Wang, G.-S. Balancing Dielectric Loss and Magnetic Loss in Fe-NiS2/NiS/PVDF Composites toward Strong Microwave Reflection Loss. ACS Appl. Mater. Interfaces 2020, 12, 14416–14424. [Google Scholar] [CrossRef]
- Mateev, V.; Marinova, I. Loss Estimation of Magnetic Gears. Electr. Eng. 2020, 102, 387–399. [Google Scholar] [CrossRef]
- Ye, H.Y.; Wang, X.C.; Fang, N.R.; Ma, X.N. Road deicing technology with microwave heating in winter. Eng. J. Wuhan Univ. 2019, 52, 981–988. [Google Scholar]
- Luo, R.L.; Mei, J.; Chen, X.; Guo, J.Y. Design of deicing device for wind turbine blade based on microwave and ultrasonic wave. In Proceedings of the 2020 5th International Seminar on Computer Technology, Mechanical and Electrical Engineering (ISCME 2020), Shenyang, China, 30 October–1 November 2020; IOP Publishing: Bristol, UK, 2020. [Google Scholar]
- Fan, Y.Z.; Liu, Y.Q.; Su, X.G.; Zhao, G.Z. Review of microwave absorbing composite based on metamaterial. New Chem. Mater. 2022, 50, 236–239+245. [Google Scholar]
- Poplavko, Y.; Didenko, Y.; Tatarchuk, D. Microwave Absorption Mechanisms in Dielectrics, Semiconductors, Ferrites, and Metals. In Proceedings of the 2022 IEEE 41st International Conference on Electronics and Nanotechnology (ELNANO), Kyiv, Ukraine, 16–20 May 2022; IEEE: Piscataway, NJ, USA, 2022; pp. 6–11. [Google Scholar]
- Peyravi, A.; Feizbakhshan, M.; Hashisho, Z.; Crompton, D.; Anderson, J.E. Purge Gas Humidity Improves Microwave-Assisted Regeneration of Polymeric and Zeolite Adsorbents. Sep. Purif. Technol. 2022, 288, 120640. [Google Scholar] [CrossRef]
- Shibata, Y.; Sonobe, S.; Saiuchi, K.; Asakuma, Y.; Hyde, A.; Phan, C. Interfacial Modification of Liquid-liquid System by Energy Concentration of Microwave Irradiation. J. Jpn. Pet. Inst 2020, 63, 375–379. [Google Scholar] [CrossRef]
- Chen, M.D.; Hu, J.H.; Han, G.Z. Calculation of Microwave Peak Absorbing Frequency of Polar Liquids Including Dielectric Friction. Eur. Phys. J. D 2020, 74, 62. [Google Scholar]
















| Density (g/cm3) | Specific Surface Area (m2/kg) | Coagulation Time (h) | Compressive Strength (MPa) | Flexural Strength (MPa) | |||
|---|---|---|---|---|---|---|---|
| 3.14 | 363 | Initial condensation | Final condensation | 3 d | 28 d | 3 d | 28 d |
| 2 h 10 min | 4 h 40 min | 12.4 | 38.2 | 3.3 | 7.0 | ||
| Apparent Density (g/cm3) | Crushing Value (%) | Needle Flake Content (%) | Water Absorption Rate (%) | Mud Content (%) | Stacking Density (g/cm3) |
|---|---|---|---|---|---|
| 2.71 | 16.5 | 5.4 | 0.9 | 0.1 | 1.68 |
| Density (g/cm3) | Stacking Density (g/cm3) | Modulus of Fineness | Mud Content (%) |
|---|---|---|---|
| 2.61 | 1.52 | 2.78 | 1.1 |
| Material | Density (g/cm3) | Stacking Density (g/cm3) | Water Content (%) | Mohs Hardness | Melting Point (°C) | Heat Conductivity W/(m · k) | Abrasion Rate (%) |
|---|---|---|---|---|---|---|---|
| Magnetite | 3.78 | 2.77 | 0 | 6 | 1594 | 0 | 0 |
| Iron sulfide ore, 1–3 mm | 3.762 | 0 | 0 | >7 | 745 | 0.38 | 0 |
| Iron sulfide ore, 5–10 mm | 2.451 | ||||||
| Steel slag | 3.62 | 1.785 | 0.54 | 0 | 1500 | 0 | 17.6 |
| Lead–zinc slag | 3.175 | 0 | 0.34 | 0 | 0 | 0.9 | 3.7 |
| Graphite | 2.26 | 0 | 0 | 0 | 3655 | 152 | 0 |
Publisher’s Note: MDPI stays neutral with regard to jurisdictional claims in published maps and institutional affiliations. |
© 2022 by the authors. Licensee MDPI, Basel, Switzerland. This article is an open access article distributed under the terms and conditions of the Creative Commons Attribution (CC BY) license (https://creativecommons.org/licenses/by/4.0/).
Share and Cite
Liu, M.; Wang, X.; Deng, Y.; Guo, Y.; Zhao, J.; Li, M. Study on Microwave Deicing Efficiency of Microwave-Absorbing Concrete Pavements and Its Influencing Factors. Materials 2022, 15, 8923. https://doi.org/10.3390/ma15248923
Liu M, Wang X, Deng Y, Guo Y, Zhao J, Li M. Study on Microwave Deicing Efficiency of Microwave-Absorbing Concrete Pavements and Its Influencing Factors. Materials. 2022; 15(24):8923. https://doi.org/10.3390/ma15248923
Chicago/Turabian StyleLiu, Mingyan, Xuancang Wang, Yuyuan Deng, Yuchen Guo, Jing Zhao, and Meixin Li. 2022. "Study on Microwave Deicing Efficiency of Microwave-Absorbing Concrete Pavements and Its Influencing Factors" Materials 15, no. 24: 8923. https://doi.org/10.3390/ma15248923
APA StyleLiu, M., Wang, X., Deng, Y., Guo, Y., Zhao, J., & Li, M. (2022). Study on Microwave Deicing Efficiency of Microwave-Absorbing Concrete Pavements and Its Influencing Factors. Materials, 15(24), 8923. https://doi.org/10.3390/ma15248923

