Mesoscale Analysis of the Effect of Interfacial Transition Zone on the Compressive Damage of Concrete Based on Discrete Element Method
Abstract
1. Introduction
2. DEM Modelling of Concrete Specimen
2.1. Contact Model
2.2. Generation of Concrete Specimen
2.3. Model Validation
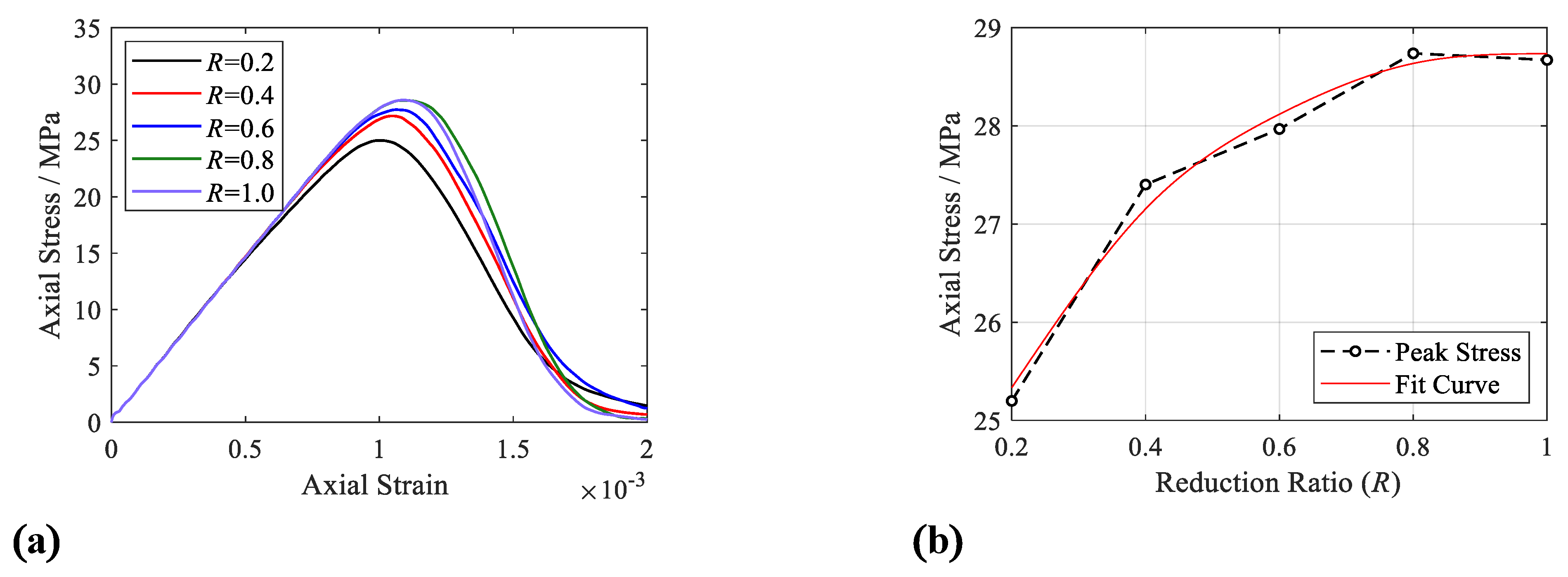
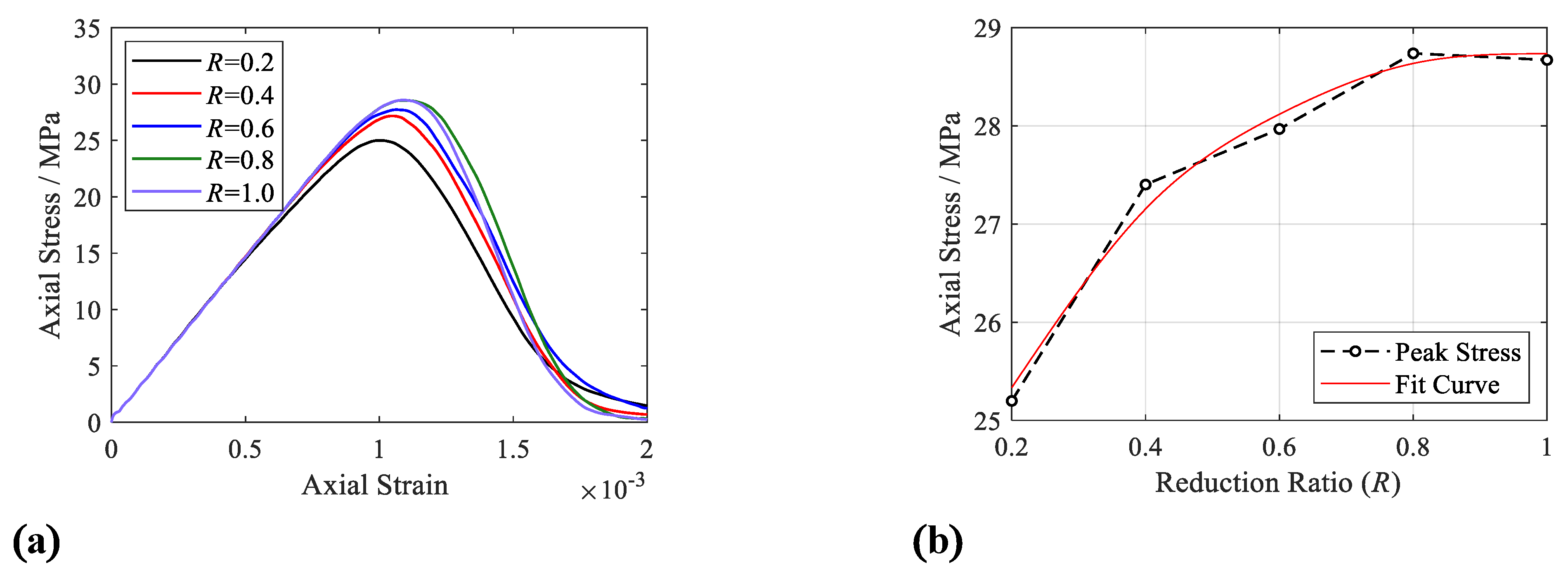
3. Effect of ITZ Strength
4. Analysis of Simulation Results
4.1. Effect of Mechanical Strength
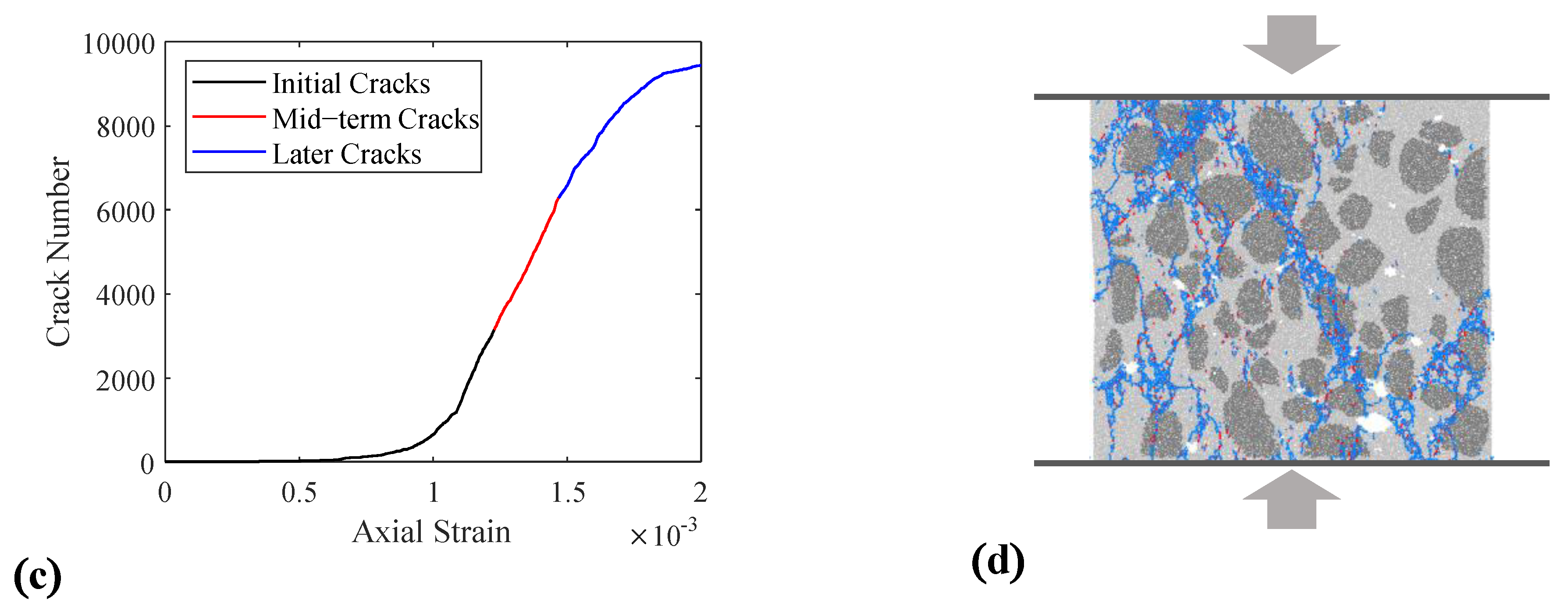
4.2. Effect of Crack Development
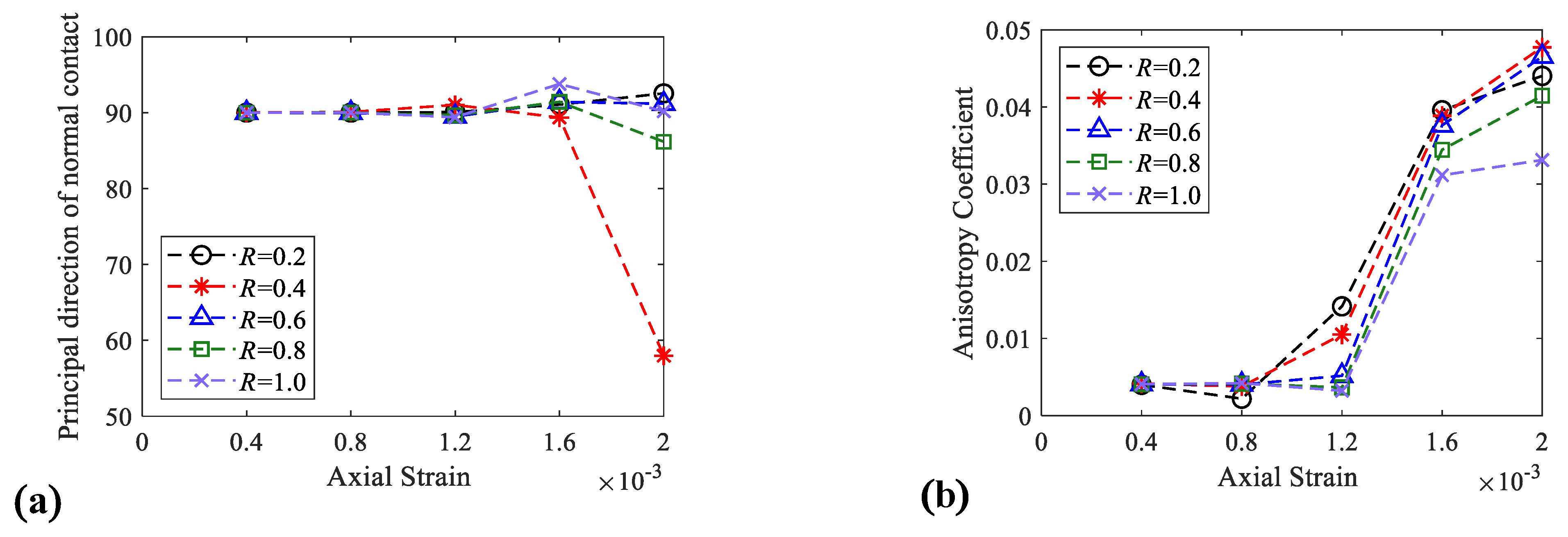
4.3. Effect of Contact Development
5. Conclusions
Author Contributions
Funding
Institutional Review Board Statement
Informed Consent Statement
Data Availability Statement
Conflicts of Interest
References
- Farran, J. Contribution minéralogique à l’étude de l’adhérence entre les constituants hydratés des ciments et les matériaux enrobés. Matériaux Et Constr. 1956, 490, 155–172. [Google Scholar]
- Prokopski, G.; Halbiniak, J. Interfacial transition zone in cementitious materials. Cem. Concr. Res. 2000, 30, 579–583. [Google Scholar] [CrossRef]
- Scrivener, K.L.; Crumbie, A.K.; Laugesen, P. The Interfacial Transition Zone (ITZ) Between Cement Paste and Aggregate in Concrete. Interface Sci. 2004, 12, 411–421. [Google Scholar] [CrossRef]
- Chen, Z.; Wang, J. Effect of Bond Strength Between Aggregate and Cement Paste on the Mechanical Behaviour of Concrete. MRS Proc. 1987, 114, 41–47. [Google Scholar]
- He, Z.H.; Qian, C.X.; Zhao, F. Experimental Investigation of Creep of Cement Paste with Mineral Admixtures via Nanoindentation. Nanosci. Nanotechnol. Lett. 2014, 6, 51–56. [Google Scholar] [CrossRef]
- He, Z.H.; Qian, C.X.; Zhang, Y.; Zhao, F. Nanoindentation characteristics of calcium hydroxide-metakaolin blended with sodium hydroxide solutions. J. Wuhan Univ. Technol. Mater. Sci. Ed. 2014, 29, 185–189. [Google Scholar] [CrossRef]
- Van Breugel, K. Simulation of Hydration and Formation of Structure in Hardening Cement-Based Materials; Delft University Press: Delft, The Netherlands, 1991. [Google Scholar]
- Leemann, A.; Loser, R.; Trtik, P.; Münch, B. Blending of Cements Influence on Porosity and Chloride Resistance; SMAR: Bellevue, WA, USA, 2011. [Google Scholar]
- Wu, X.; Li, D.; Wu, X.; Tang, M. Modification of the Interfacial Zone Between Aggregate and Cement Paste. Mrs Proc. 1987, 114–135. [Google Scholar]
- Cundall, P.A. A computer model for simulating progressive, large scale movements in rocky block systems. In Proceedings of the International Symposium on Rock Mechanics, Nancy, France, 4–6 October 1971; p. II-8. [Google Scholar]
- Cundall, P.A. The Measurement and Analysis of Acceleration on Rock Slopes; University of London, Imperial College of Science and Technology: London, UK, 1971. [Google Scholar]
- Sun, Q.C.; Wang, G.Q.; Hu, K.H. Some open problems in granular matter mechanics. Prog. Nat. Sci. 2009, 19, 523–529. [Google Scholar] [CrossRef]
- Suchorzewski, J.; Tejchman, J.; Nitka, M.; Bobinski, J. Meso-scale analyses of size effect in brittle materials using DEM. Granul. Matter 2019, 21, 9. [Google Scholar] [CrossRef]
- Chen, X.; Shi, C.; Zhang, Y.-L.; Yang, J.-X. Numerical and Experimental Study on Strain Rate Effect of Ordinary Concrete under Low Strain Rate. Ksce J. Civ. Eng. 2021, 25, 1790–1805. [Google Scholar] [CrossRef]
- Suchorzewski, J.; Tejchman, J.; Nitka, M. Discrete element method simulations of fracture in concrete under uniaxial compression based on its real internal structure. Int. J. Damage Mech. 2018, 27, 578–607. [Google Scholar] [CrossRef]
- Wang, P.; Gao, N.; Ji, K.; Stewart, L.; Arson, C. DEM analysis on the role of aggregates on concrete strength. Comput. Geotech. 2020, 119, 14. [Google Scholar] [CrossRef]
- Zhou, X.; Xie, Y.; Long, G.; Zeng, X.; Li, J.; Yao, L.; Jiang, W.; Pan, Z. DEM analysis of the effect of interface transition zone on dynamic splitting tensile behavior of high-strength concrete based on multi-phase model. Cem. Concr. Res. 2021, 149, 106577. [Google Scholar] [CrossRef]
- Nitka, M.; Tejchman, J. A three-dimensional meso-scale approach to concrete fracture based on combined DEM with X-ray CT images. Cem. Concr. Res. 2018, 107, 11–29. [Google Scholar] [CrossRef]
- Zhao, X.K.; Dong, Q.; Chen, X.Q.; Fan, Q.S.; Li, R.Q. Influence of mesoscale heterogeneous and initial defects on the fracture of cement-treated base materials. Constr. Build. Mater. 2021, 272, 14. [Google Scholar] [CrossRef]
- Zhang, S.; Zhang, C.; Liao, L.; Wang, C. Numerical study of the effect of ITZ on the failure behaviour of concrete by using particle element modelling. Constr. Build. Mater. 2018, 170, 776–789. [Google Scholar] [CrossRef]
- Zhao, H.; Wu, Z.; Liu, A.; Zhang, L. Numerical insights into the effect of ITZ and aggregate strength on concrete properties. Theor. Appl. Fract. Mech. 2022, 120, 103415. [Google Scholar] [CrossRef]
- Potyondy, D.O.; Cundall, P.A. A bonded-particle model for rock. Int. J. Rock Mech. Min. Sci. 2004, 41, 1329–1364. [Google Scholar] [CrossRef]
- Skarzynski, L.; Nitka, M.; Tejchman, J. Modelling of concrete fracture at aggregate level using FEM and DEM based on X-ray mu CT images of internal structure. Eng. Fract. Mech. 2015, 147, 13–35. [Google Scholar] [CrossRef]
- Zhang, H.; Gao, P.W.; Zhang, Z.X.; Pan, Y.Q.; Zhang, W.G. Effects of Parameters of Air-Avid Structure on the Salt-Frost Durability of Hardened Concrete. Appl. Sci. 2020, 10, 632. [Google Scholar] [CrossRef]
- Song, Y.; Shen, C.Y.; Damiani, R.M.; Lange, D.A. Image-based restoration of the concrete void system using 2D-to-3D unfolding technique. Constr. Build. Mater. 2021, 270, 11. [Google Scholar] [CrossRef]
- Zhu, R.; Alam, S.Y.; Loukili, A. A comprehensive approach for mesoscale discrete element modelling of mechanical and fracture behavior of concrete. Granul. Matter 2019, 21, 1–19. [Google Scholar] [CrossRef]
- Shi, C.; Yang, W.; Yang, J.; Chen, X. Calibration of micro-scaled mechanical parameters of granite based on a bonded-particle model with 2D particle flow code. Granul. Matter 2019, 21, 1–13. [Google Scholar] [CrossRef]
- Rothenburg, L.; Bathurst, R.J. Analytical study of induced anisotropy in idealized granular materials. Geotechnique 1989, 39, 601–614. [Google Scholar] [CrossRef]














| Materials | E (GPa) | k | (GPa) | (MPa) | (MPa) | (°) | |
|---|---|---|---|---|---|---|---|
| Coarse aggregate | 33.40 | 1.50 | 33.40 | 1.50 | 29.50 | 29.50 | 40.00 |
| Mortar | 20.04 | 1.50 | 20.04 | 1.50 | 17.70 | 17.70 | 45.00 |
| ITZ | 16.03 | 1.50 | 16.03 | 1.50 | 14.16 | 14.16 | 35.00 |
| Materials | Test Number | E (GPa) | k | (GPa) | Reduction Factor/R | (MPa) | (MPa) | (°) | |
|---|---|---|---|---|---|---|---|---|---|
| Coarse aggregate | 1, 2, 3, 4, 5 | 33.40 | 1.50 | 33.40 | 1.50 | --- | 29.50 | 29.50 | 40.00 |
| Mortar | 20.04 | 1.50 | 20.04 | 1.50 | 17.70 | 17.70 | 45.00 | ||
| ITZ | 1 | 16.03 | 1.50 | 16.03 | 1.50 | 0.2 | 2.83 | 2.83 | 35.00 |
| 2 | 0.4 | 5.67 | 5.67 | ||||||
| 3 | 0.6 | 8.50 | 8.50 | ||||||
| 4 | 0.8 | 11.33 | 11.33 | ||||||
| 5 | 1.0 | 14.16 | 14.16 |
Publisher’s Note: MDPI stays neutral with regard to jurisdictional claims in published maps and institutional affiliations. |
© 2022 by the authors. Licensee MDPI, Basel, Switzerland. This article is an open access article distributed under the terms and conditions of the Creative Commons Attribution (CC BY) license (https://creativecommons.org/licenses/by/4.0/).
Share and Cite
Lei, J.-J.; Wu, Z.-X.; Wen, Z.-J.; Cheng, Z.-S.; Zhu, R. Mesoscale Analysis of the Effect of Interfacial Transition Zone on the Compressive Damage of Concrete Based on Discrete Element Method. Materials 2022, 15, 8840. https://doi.org/10.3390/ma15248840
Lei J-J, Wu Z-X, Wen Z-J, Cheng Z-S, Zhu R. Mesoscale Analysis of the Effect of Interfacial Transition Zone on the Compressive Damage of Concrete Based on Discrete Element Method. Materials. 2022; 15(24):8840. https://doi.org/10.3390/ma15248840
Chicago/Turabian StyleLei, Jian-Jun, Ze-Xiang Wu, Zheng-Jun Wen, Zi-Shan Cheng, and Ran Zhu. 2022. "Mesoscale Analysis of the Effect of Interfacial Transition Zone on the Compressive Damage of Concrete Based on Discrete Element Method" Materials 15, no. 24: 8840. https://doi.org/10.3390/ma15248840
APA StyleLei, J.-J., Wu, Z.-X., Wen, Z.-J., Cheng, Z.-S., & Zhu, R. (2022). Mesoscale Analysis of the Effect of Interfacial Transition Zone on the Compressive Damage of Concrete Based on Discrete Element Method. Materials, 15(24), 8840. https://doi.org/10.3390/ma15248840

