Chirality-Dependent and Intrinsic Auxeticity for Single-Walled Carbon Nanotubes
Abstract
1. Introduction
2. Models and Methodology
3. Results and Discussion
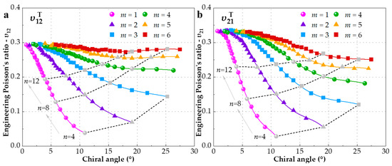
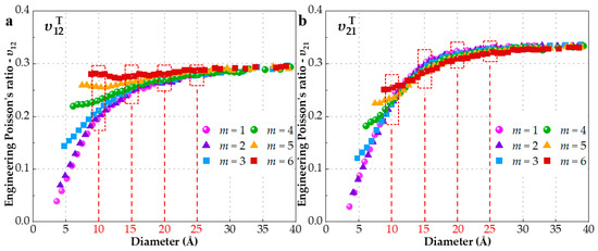
3.1. Engineering Poisson’s Ratio (EPR) under Tension
3.2. EPR and Ratio of Young’s Moduli under Tension and Compression
3.3. Incremental Poisson’s Ratio (IPR) under Tension
4. Conclusions
Author Contributions
Funding
Institutional Review Board Statement
Informed Consent Statement
Data Availability Statement
Acknowledgments
Conflicts of Interest
References
- Iijima, S. Helical microtubules of graphitic carbon. Nature 1991, 354, 56–58. [Google Scholar] [CrossRef]
- Fan, Y.; Xiang, Y.; Shen, H.-S. Temperature-Dependent Mechanical Properties of Graphene/Cu Nanocomposites with In-Plane Negative Poisson’s Ratios. Research 2020, 2020, 5618021. [Google Scholar] [CrossRef]
- Bian, L.C.; Li, H.; Cheng, Y. Temperature and size-dependent modeling for predicting mechanical properties of carbon nanotubes. Appl. Math. Model. 2021, 98, 518–536. [Google Scholar] [CrossRef]
- Zhu, S.Q.; Wang, X. Effect of environmental temperatures on elastic properties of single-walled carbon nanotube. J. Therm. Stresses 2007, 30, 1195–1210. [Google Scholar] [CrossRef]
- Natsuki, T.; Tantrakarn, K.; Endo, M. Effects of carbon nanotube structures on mechanical properties. Appl. Phys. A-Mater. 2004, 79, 117–124. [Google Scholar] [CrossRef]
- Lei, X.W.; Natsuki, T.; Shi, J.X.; Ni, Q.Q. Analysis of Carbon Nanotubes on the Mechanical Properties at Atomic Scale. J. Nanomater. 2011, 2011, 805313. [Google Scholar] [CrossRef]
- Eberhardt, O.; Wallmersperger, T. Energy consistent modified molecular structural mechanics model for the determination of the elastic properties of single wall carbon nanotubes. Carbon 2015, 95, 166–180. [Google Scholar] [CrossRef]
- Bian, L.C.; Gao, M. Nanomechanics model for properties of carbon nanotubes under a thermal environment. Acta Mech. 2018, 229, 4521–4538. [Google Scholar] [CrossRef]
- Xiao, J.R.; Gama, B.A.; Gillespie, J.W. An analytical molecular structural mechanics model for the mechanical properties of carbon nanotubes. Int. J. Solids Struct. 2005, 42, 3075–3092. [Google Scholar] [CrossRef]
- Popov, V.N.; Van Doren, V.E.; Balkanski, M. Elastic properties of single-walled carbon nanotubes. Phys. Rev. B 2000, 61, 3078–3084. [Google Scholar] [CrossRef]
- Shen, L.X.; Li, J. Transversely isotropic elastic properties of single-walled carbon nanotubes. Phys. Rev. B 2004, 69, 045414. [Google Scholar] [CrossRef]
- Zhang, H.W.; Wang, J.B.; Ye, H.F. Influence of inversion energy on elastic properties of single-walled carbon nanotubes. Mater. Sci. Eng. A-Struct. 2007, 467, 78–88. [Google Scholar] [CrossRef]
- Hwu, C.B.; Yeh, Y.K. Explicit expressions of mechanical properties for graphene sheets and carbon nanotubes via a molecular-continuum model. Appl. Phys. A-Mater. 2014, 116, 125–140. [Google Scholar] [CrossRef]
- Sanchez-Portal, D.; Artacho, E.; Soler, J.M.; Rubio, A.; Ordejon, P. Ab initio structural, elastic, and vibrational properties of carbon nanotubes. Phys. Rev. B 1999, 59, 12678–12688. [Google Scholar] [CrossRef]
- Zhang, C.L.; Shen, H.-S. Predicting the elastic properties of double-walled carbon nanotubes by molecular dynamics simulation. J. Phys. D-Appl. Phys. 2008, 41, 055404. [Google Scholar] [CrossRef]
- Fan, Y.; Xiang, Y.; Shen, H.-S. Temperature-dependent negative Poisson’s ratio of monolayer graphene: Prediction from molecular dynamics simulations. Nanotechnol. Rev. 2019, 8, 415–421. [Google Scholar] [CrossRef]
- Brenner, D.W.; Shenderova, O.A.; Harrison, J.A.; Stuart, S.J.; Ni, B.; Sinnott, S.B. A second-generation reactive empirical bond order (REBO) potential energy expression for hydrocarbons. J. Phys.-Condens. Mater. 2002, 14, 783–802. [Google Scholar] [CrossRef]
- Ni, X.G.; Zhang, Z.; Wang, Y.; Wang, X.X. Atomistic study of the strain- and size-dependence of Poisson’s ratio of single-walled carbon nanotubes. Solid State Phenom. 2007, 121–123, 1021–1024. [Google Scholar] [CrossRef]
- Shintani, K.; Narita, T. Atomistic study of strain dependence of Poisson’s ratio of single-walled carbon nanotubes. Surf. Sci. 2003, 532, 862–868. [Google Scholar] [CrossRef]
- Canadija, M. Deep learning framework for carbon nanotubes: Mechanical properties and modeling strategies. Carbon 2021, 184, 891–901. [Google Scholar] [CrossRef]
- Jiang, J.-W.; Chang, T.; Guo, X.; Park, H.S. Intrinsic Negative Poisson’s Ratio for Single-Layer Graphene. Nano Lett. 2016, 16, 5286–5290. [Google Scholar] [CrossRef] [PubMed]
- Chang, T.C.; Geng, J.Y.; Guo, X.M. Prediction of chirality- and size-dependent elastic properties of single-walled carbon nanotubes via a molecular mechanics model. Proc. R. Soc. A Math. Phys. Eng. Sci. 2006, 462, 2523–2540. [Google Scholar] [CrossRef]
- Li, H.J.; Guo, W.L. Transversely isotropic elastic properties of single-walled carbon nanotubes by a rectangular beam model for the C-C bonds. J. Appl. Phys. 2008, 103, 103501. [Google Scholar] [CrossRef]
- Wang, L.F.; Zheng, Q.S.; Liu, J.Z.; Jiang, Q. Size dependence of the thin-shell model for carbon nanotubes. Phys. Rev. Lett. 2005, 95, 105501. [Google Scholar] [CrossRef]
- Li, C.Y.; Chou, T.W. Elastic properties of single-walled carbon nanotubes in transverse directions. Phys. Rev. B 2004, 69, 073401. [Google Scholar] [CrossRef]
- Pereira, A.F.G.; Fernandes, J.V.; Antunes, J.M.; Sakharova, N.A. Shear modulus and Poisson’s ratio of single-walled carbon nanotubes: Numerical evaluation. Phys. Status Solidi B 2016, 253, 366–376. [Google Scholar] [CrossRef]
- Jalan, S.K.; NageswaraRao, B.; Gopalakrishnan, S. Development of Empirical Relations for the Transversely Isotropic Properties of Zigzag, Armchair and Chiral Single-Walled Carbon Nanotubes. Adv. Compos. Lett. 2012, 21, 93–99. [Google Scholar] [CrossRef]
- Ghavamian, A.; Rahmandoust, M.; Ochsner, A. On the determination of the shear modulus of carbon nanotubes. Compos. Part B-Eng. 2013, 44, 52–59. [Google Scholar] [CrossRef]
- Shokrieh, M.M.; Rafiee, R. A review of the mechanical properties of isolated carbon nanotubes and carbon nanotube composites. Mech. Compos. Mater. 2010, 46, 155–172. [Google Scholar] [CrossRef]
- Zhang, L.C. On the mechanics of single-walled carbon nanotubes. J. Mater. Process. Technol. 2009, 209, 4223–4228. [Google Scholar] [CrossRef]
- Vodenitcharova, T.; Zhang, L.C. Effective wall thickness of a single-walled carbon nanotube. Phys. Rev. B 2003, 68, 165401. [Google Scholar] [CrossRef]
- Odegard, G.M.; Gates, T.S.; Nicholson, L.M.; Wise, K.E. Equivalent-continuum modeling of nano-structured materials. Compos. Sci. Technol. 2002, 62, 1869–1880. [Google Scholar] [CrossRef]
- Bao, W.X.; Zhu, C.C.; Cui, W.Z. Simulation of Young’s modulus of single-walled carbon nanotubes by molecular dynamics. Phys. B 2004, 352, 156–163. [Google Scholar] [CrossRef]
- Tserpes, K.I.; Papanikos, P. Finite element modeling of single-walled carbon nanotubes. Compos. Part B-Eng. 2005, 36, 468–477. [Google Scholar] [CrossRef]
- Avila, A.F.; Lacerda, G.S.R. Molecular Mechanics Applied to Single-Walled Carbon Nanotubes. Mater. Res. 2008, 11, 325–333. [Google Scholar] [CrossRef]
- Ababtin, S.; Adibi, S.; Mun, S.; Carino, R.L.; Dickel, D.E.; Gwaltney, S.R.; Novotny, M.A.; Baskes, M.I.; Horstemeyer, M.F. Single-wall carbon nanotube mechanical behavior using the modified embedded atom method with bond order (MEAM-BO). Model. Simul. Mater. Sci. Eng. 2022, 30, 035004. [Google Scholar] [CrossRef]
- Thamaraikannan, S.; Sunny, M.R.; Pradhan, S.C. Chirality dependent mechanical properties of carbon nano-structures. Mater. Res. Express 2019, 6, 095018. [Google Scholar] [CrossRef]
- Yakobson, B.I.; Brabec, C.J.; Berhnolc, J. Nanomechanics of carbon tubes: Instabilities beyond linear response. Phys. Rev. Lett. 1996, 76, 2511–2514. [Google Scholar] [CrossRef]
- Zhou, X.; Zhou, J.J.; Ou-Yang, Z.C. Strain energy and Young’s modulus of single-wall carbon nanotubes calculated from electronic energy-band theory. Phys. Rev. B 2000, 62, 13692–13696. [Google Scholar] [CrossRef]
- Pantano, A.; Parks, D.M.; Boyce, M.C. Mechanics of deformation of single- and multi-wall carbon nanotubes. J. Mech. Phys. Solids 2004, 52, 789–821. [Google Scholar] [CrossRef]
- Huang, Y.; Wu, J.; Hwang, K.C. Thickness of graphene and single-wall carbon nanotubes. Phys. Rev. B 2006, 74, 245413. [Google Scholar] [CrossRef]
- Mylvaganam, K.; Zhang, L.C. Important issues in a molecular dynamics simulation for characterising the mechanical properties of carbon nanotubes. Carbon 2004, 42, 2025–2032. [Google Scholar] [CrossRef]
- Fan, Y.; Shen, H.-S. Non-symmetric stiffness of origami-graphene metamaterial plates. Compos. Struct. 2022, 297, 115974. [Google Scholar] [CrossRef]
- Stuart, S.J.; Tutein, A.B.; Harrison, J.A. A reactive potential for hydrocarbons with intermolecular interactions. J. Chem. Phys. 2000, 112, 6472–6486. [Google Scholar] [CrossRef]
- Galiakhmetova, L.K.; Korznikova, E.A.; Kudreyko, A.A.; Dmitriev, S.V. Negative Thermal Expansion of Carbon Nanotube Bundles. Phys. Status Solidi RRL Rapid Res. Lett. 2022, 16, 2100415. [Google Scholar] [CrossRef]
- Korznikova, E.A.; Zhou, K.; Galiakhmetova, L.K.; Soboleva, E.G.; Kudreyko, A.A.; Dmitriev, S.V. Partial Auxeticity of Laterally Compressed Carbon Nanotube Bundles. Phys. Status Solidi RRL Rapid Res. Lett. 2022, 16, 2100189. [Google Scholar] [CrossRef]
- Thompson, A.P.; Plimpton, S.J.; Mattson, W. General formulation of pressure and stress tensor for arbitrary many-body interaction potentials under periodic boundary conditions. J. Chem. Phys. 2009, 131, 154107. [Google Scholar] [CrossRef] [PubMed]
- Shi, X.; He, X.Q.; Wang, L.F.; Sun, L.G. Hierarchical-structure induced adjustable deformation of super carbon nanotubes with radial shrinkage up to 66%. Carbon 2017, 125, 289–298. [Google Scholar] [CrossRef]
- Goel, M.; Harsha, S.P.; Singh, S.; Sahani, A.K. Analysis of temperature, helicity and size effect on the mechanical properties of carbon nanotubes using molecular dynamics simulation. Mater. Today Proc. 2020, 26, 897–904. [Google Scholar] [CrossRef]
- Lin, Y.W.; Xu, K.; Cao, X.Z.; Zhang, Z.S.; Wu, J.Y. Role of nanotube chirality on the mechanical characteristics of pillared graphene. Mech. Mater. 2021, 162, 104035. [Google Scholar] [CrossRef]
- Chen, Y.; Qin, H.S.; Liu, Y.L.; Pei, Q.X.; Zhang, Y.W. Modeling and Analysis of the Geometry-Dependent Mechanical and Thermal Properties of Coiled Carbon Nanotubes. Phys. Status Solidi RRL Rapid Res. Lett. 2022, 16, 2100360. [Google Scholar] [CrossRef]
- Qian, C.; McLean, B.; Hedman, D.; Ding, F. A comprehensive assessment of empirical potentials for carbon materials. APL Mater. 2021, 9, 061102. [Google Scholar] [CrossRef]
- O’Connor, T.C.; Andzelm, J.; Robbins, M.O. AIREBO-M: A reactive model for hydrocarbons at extreme pressures. J. Chem. Phys. 2015, 142, 024903. [Google Scholar] [CrossRef] [PubMed]
- Dilrukshi, K.G.S.; Dewapriya, M.A.N.; Puswewala, U.G.A. Size dependency and potential field influence on deriving mechanical properties of carbon nanotubes using molecular dynamics. Theor. Appl. Mech. Lett. 2015, 5, 167–172. [Google Scholar] [CrossRef]
- Thompson, A.P.; Aktulga, H.M.; Berger, R.; Bolintineanu, D.S.; Brown, W.M.; Crozier, P.S.; in’t Veld, P.J.; Kohlmeyer, A.; Moore, S.G.; Nguyen, T.D.; et al. LAMMPS-a flexible simulation tool for particle-based materials modeling at the atomic, meso, and continuum scales. Comput. Phys. Commun. 2022, 271, 108171. [Google Scholar] [CrossRef]
- Ansari, R.; Ajori, S.; Ameri, A. On the vibrational characteristics of single- and double-walled carbon nanotubes containing ice nanotube in aqueous environment. Appl. Phys. A-Mater. 2015, 121, 223–232. [Google Scholar] [CrossRef]
- Jin, Y.; Yuan, F.G. Simulation of elastic properties of single-walled carbon nanotubes. Compos. Sci. Technol. 2003, 63, 1507–1515. [Google Scholar] [CrossRef]
- Peng, L.M.; Zhang, Z.L.; Xue, Z.Q.; Wu, Q.D.; Gu, Z.N.; Pettifor, D.G. Stability of carbon nanotubes: How small can they be? Phys. Rev. Lett. 2000, 85, 3249–3252. [Google Scholar] [CrossRef]
- Zhang, C.-L.; Shen, H.-S. Temperature-dependent elastic properties of single-walled carbon nanotubes: Prediction from molecular dynamics simulation. Appl. Phys. Lett. 2006, 89, 081904. [Google Scholar] [CrossRef]
- Gamboa, A.; Vignoles, G.L.; Leyssale, J.-M. On the prediction of graphene’s elastic properties with reactive empirical bond order potentials. Carbon 2015, 89, 176–187. [Google Scholar] [CrossRef]
- Suzuki, K.; Nomura, S. On elastic properties of single-walled carbon nanotubes as composite reinforcing fillers. J. Compos. Mater. 2007, 41, 1123–1135. [Google Scholar] [CrossRef]
- Chen, W.H.; Cheng, H.C.; Hsu, Y.C. Mechanical properties of carbon nanotubes using molecular dynamics simulations with the inlayer van der Waals interactions. CMES Comp. Model. Eng. 2007, 20, 123–145. [Google Scholar] [CrossRef]
- Chang, T.C.; Gao, H.J. Size-dependent elastic properties of a single-walled carbon nanotube via a molecular mechanics model. J. Mech. Phys. Solids 2003, 51, 1059–1074. [Google Scholar] [CrossRef]
- Yao, Y.T.; Alderson, A.; Alderson, K.L. Can nanotubes display auxetic behaviour? Phys. Status Solidi B 2008, 245, 2373–2382. [Google Scholar] [CrossRef]
- Natsuki, T.; Tantrakarn, K.; Endo, M. Prediction of elastic properties for single-walled carbon nanotubes. Carbon 2004, 42, 39–45. [Google Scholar] [CrossRef]
- Chang, T.C.; Geng, J.Y.; Guo, X.M. Chirality- and size-dependent elastic properties of single-walled carbon nanotubes. Appl. Phys. Lett. 2005, 87, 251929. [Google Scholar] [CrossRef]
- Ajori, S.; Eftekharfar, A.R. Mechanical properties and fracture analysis of defective penta-graphene under temperature variation: Insight from molecular dynamics. Diamond Relat. Mater. 2022, 124, 108956. [Google Scholar] [CrossRef]








| (n, m) | (4, 1) | (4, 2) | (4, 3) | (5, 4) | (6, 5) | (7, 6) |
|---|---|---|---|---|---|---|
| Chiral angle | 10.89° | 19.11° | 25.28° | 26.33° | 27.00° | 27.46° |
| Diameter (Å) | 3.59 | 4.14 | 4.76 | 6.11 | 7.47 | 8.82 |
| EPR | 0.0385 | 0.0694 | 0.1436 | 0.2194 | 0.2591 | 0.2802 |
| EPR | 0.0284 | 0.0556 | 0.1206 | 0.1817 | 0.2247 | 0.2508 |
| IPE (eV) | −7.048 | −7.152 | −7.223 | −7.301 | −7.341 | −7.364 |
| (n, m) | (4, 1) | (8, 2) | (12, 3) | (16, 4) | (20, 5) | (24, 6) |
|---|---|---|---|---|---|---|
| Diameter (Å) | 3.59° | 7.18° | 10.76° | 14.35° | 17.94° | 21.53° |
| EPR(AIREBO) | 0.0385 | 0.1483 | 0.2065 | 0.2332 | 0.2491 | 0.2588 |
| IPE (AIREBO, eV) | −7.048 | −7.333 | −7.384 | −7.402 | −7.410 | −7.415 |
| EPR (REBO) | 0.0518 | 0.1678 | 0.2211 | 0.2511 | 0.2693 | 0.2806 |
| IPE (REBO, eV) | −6.899 | −7.260 | −7.333 | −7.359 | −7.372 | −7.379 |
| Group | (n, m) | θ (°) | D (Å) | △υ * | (TPa·nm) | (TPa·nm) | △C ** | ||
|---|---|---|---|---|---|---|---|---|---|
| G25 | (26, 11) | 16.83° | 25.76 | 0.3070 | 0.3075 | −0.16% | 0.2961 | 0.2954 | 0.24% |
| (24, 11) | 17.90° | 24.27 | 0.3072 | 0.3061 | 0.36% | 0.2957 | 0.2966 | −0.30% | |
| G20 | (19, 9) | 18.35° | 19.38 | 0.2991 | 0.2987 | 0.13% | 0.2983 | 0.2984 | −0.03% |
| (20, 10) | 19.11° | 20.71 | 0.3009 | 0.3007 | 0.07% | 0.2965 | 0.2955 | 0.34% | |
| G15 | (14, 7) | 19.11° | 14.50 | 0.2877 | 0.2873 | 0.14% | 0.3040 | 0.3049 | −0.30% |
| G10 | (10, 3) | 12.73 | 9.23 | 0.2043 | 0.2046 | −0.15% | 0.3338 | 0.3343 | −0.15% |
| (11, 4) | 14.92 | 10.53 | 0.2341 | 0.2343 | −0.09% | 0.3231 | 0.3242 | −0.34% |
| Group | (n, m) | θ (°) | D (Å) | △υ * | (TPa·nm) | (TPa·nm) | △C ** | ||
|---|---|---|---|---|---|---|---|---|---|
| G25 | (26, 11) | 16.83° | 25.76 | 0.3174 | 0.3162 | 0.38% | 0.3017 | 0.3026 | −0.30% |
| (24, 11) | 17.90° | 24.27 | 0.3168 | 0.3177 | −0.28% | 0.3029 | 0.3019 | 0.33% | |
| G20 | (19, 9) | 18.35° | 19.38 | 0.3103 | 0.3100 | 0.10% | 0.3047 | 0.3049 | −0.07% |
| (20, 10) | 19.11° | 20.71 | 0.3130 | 0.3138 | −0.26% | 0.3042 | 0.3033 | 0.30% | |
| G15 | (14, 7) | 19.11° | 14.50 | 0.2943 | 0.2945 | −0.07% | 0.3119 | 0.3122 | −0.10% |
| G10 | (10, 3) | 12.73 | 9.23 | 0.2134 | 0.2141 | −0.33% | 0.3418 | 0.3429 | −0.32% |
| (11, 4) | 14.92 | 10.53 | 0.2404 | 0.2408 | −0.17% | 0.3340 | 0.3336 | 0.12% |
Publisher’s Note: MDPI stays neutral with regard to jurisdictional claims in published maps and institutional affiliations. |
© 2022 by the authors. Licensee MDPI, Basel, Switzerland. This article is an open access article distributed under the terms and conditions of the Creative Commons Attribution (CC BY) license (https://creativecommons.org/licenses/by/4.0/).
Share and Cite
Zhang, H.-N.; Fan, Y.; Shen, H.-S. Chirality-Dependent and Intrinsic Auxeticity for Single-Walled Carbon Nanotubes. Materials 2022, 15, 8720. https://doi.org/10.3390/ma15248720
Zhang H-N, Fan Y, Shen H-S. Chirality-Dependent and Intrinsic Auxeticity for Single-Walled Carbon Nanotubes. Materials. 2022; 15(24):8720. https://doi.org/10.3390/ma15248720
Chicago/Turabian StyleZhang, Hai-Ning, Yin Fan, and Hui-Shen Shen. 2022. "Chirality-Dependent and Intrinsic Auxeticity for Single-Walled Carbon Nanotubes" Materials 15, no. 24: 8720. https://doi.org/10.3390/ma15248720
APA StyleZhang, H.-N., Fan, Y., & Shen, H.-S. (2022). Chirality-Dependent and Intrinsic Auxeticity for Single-Walled Carbon Nanotubes. Materials, 15(24), 8720. https://doi.org/10.3390/ma15248720

