The Synergistic Effect of Polyphosphates Acid and Different Compounds of Waste Cooking Oil on Conventional and Rheological Properties of Modified Bitumen
Abstract
1. Introduction
2. Materials and Methods
2.1. Raw Materials
2.1.1. Bitumen
2.1.2. PPA
2.1.3. WCO
2.2. Preparation of Samples
2.3. Tests Methods
2.3.1. Conventional Tests
2.3.2. Brookfield Viscosity Test
2.4. Rheological Properties Tests
2.5. Bending Beam Rheometer (BBR) Test
3. Results and Discussion
3.1. Physical Properties
3.2. Brookfield Viscosity
3.3. Rheological Properties
3.3.1. Temperature Sweep
3.3.2. Frequency Sweep
3.4. BBR
4. Conclusions
Author Contributions
Funding
Institutional Review Board Statement
Informed Consent Statement
Data Availability Statement
Conflicts of Interest
References
- Akhtar, A.; Sarmah, A.K. Construction and demolition waste generation and properties of recycled aggregate concrete: A global perspective. J. Clean. Prod. 2018, 186, 262–281. [Google Scholar] [CrossRef]
- Ahmed, R.B.; Hossain, K. Waste cooking oil as an asphalt rejuvenator: A state-of-the-art review. Constr. Build. Mater. 2020, 230, 116985. [Google Scholar] [CrossRef]
- Tunay, D.; Yildirim, O.; Ozkaya, B.; Demir, A. Effect of organic fraction of municipal solid waste addition to high rate activated sludge system for hydrogen production from carbon rich waste sludge. Int. J. Hydrog. Energy 2022, 47, 26284–26293. [Google Scholar] [CrossRef]
- Chen, W.; Li, Y.; Chen, S.; Zheng, C. Properties and economics evaluation of utilization of oil shale waste as an alternative environmentally-friendly building materials in pavement engineering. Constr. Build. Mater. 2020, 259, 119698. [Google Scholar] [CrossRef]
- Maturi, K.C.; Gupta, A.; Haq, I.; Kalamdhad, A.S. Chapter 7—A glance over current status of waste management and landfills across the globe: A review, In Biodegradation and Detoxification of Micropollutants in Industrial Wastewater; Haq, I., Kalamdhad, A.S., Shah, M.P., Eds.; Elsevier: Amsterdam, The Netherlands, 2022; pp. 131–144. [Google Scholar]
- Banerji, A.K.; Chakraborty, D.; Mudi, A.; Chauhan, P. Characterization of waste cooking oil and waste engine oil on physical properties of aged bitumen. Mater. Today 2022, 59, 1694–1699. [Google Scholar] [CrossRef]
- Bui, T.-D.; Tseng, J.-W.; Tseng, M.-L.; Lim, M.K. Opportunities and challenges for solid waste reuse and recycling in emerging economies: A hybrid analysis. Resour. Conserv. Recycl. 2022, 177, 105968. [Google Scholar] [CrossRef]
- Wang, D.; Riccardi, C.; Jafari, B.; Falchetto, A.C.; Wistuba, M.P. Investigation on the effect of high amount of Re-recycled RAP with Warm mix asphalt (WMA) technology. Constr. Build. Mater. 2021, 312, 125395. [Google Scholar] [CrossRef]
- Wang, D.; Falchetto, A.C.; Hugener, M.; Porot, L.; Kawakami, A.; Hofko, B.; Grilli, A.; Pasquini, E.; Pasetto, M.; Tabatabaee, H.; et al. Effect of Aging on the Rheological Properties of Blends of Virgin and Rejuvenated RA Binders, RILEM International Symposium on Bituminous Materials; Springer: Berlin/Heidelberg, Germany, 2020; pp. 3–10. [Google Scholar]
- Rahman, M.T.; Mohajerani, A.; Giustozzi, F. Recycling of Waste Materials for Asphalt Concrete and Bitumen: A Review. Materials 2020, 13, 1495. [Google Scholar] [CrossRef]
- Bilema, M.; Aman, M.; Hassan, N.; Al-Saffar, Z.; Mashaan, N.; Memon, Z.; Milad, A.; Yusoff, N. Effects of Waste Frying Oil and Crumb Rubber on the Characteristics of a Reclaimed Asphalt Pavement Binder. Materials 2021, 14, 3482. [Google Scholar] [CrossRef]
- Muhbat, S.; Tufail, M.; Hashmi, S. Production of diesel-like fuel by co-pyrolysis of waste lubricating oil and waste cooking oil. Biomass Convers. Biorefinery 2021, 9, 1–11. [Google Scholar] [CrossRef]
- Singhabhandhu, A.; Tezuka, T. The waste-to-energy framework for integrated multi-waste utilization: Waste cooking oil, waste lubricating oil, and waste plastics. Energy 2010, 35, 2544–2551. [Google Scholar] [CrossRef]
- Landi, F.F.D.; Fabiani, C.; Castellani, B.; Cotana, F.; Pisello, A.L. Environmental assessment of four waste cooking oil valorization pathways. Waste Manag. 2022, 138, 219–233. [Google Scholar] [CrossRef] [PubMed]
- Chen, M.; Xiao, F.; Putman, B.; Leng, B.; Wu, S. High temperature properties of rejuvenating recovered binder with rejuvenator, waste cooking and cotton seed oils. Constr. Build. Mater. 2014, 59, 10–16. [Google Scholar] [CrossRef]
- Li, H.; Dong, B.; Wang, W.; Zhao, G.; Guo, P.; Ma, Q. Effect of Waste Engine Oil and Waste Cooking Oil on Performance Improvement of Aged Asphalt. Appl. Sci. 2019, 9, 1767. [Google Scholar] [CrossRef]
- Taherkhani, H.; Noorian, F. Comparing the effects of waste engine and cooking oil on the properties of asphalt concrete containing reclaimed asphalt pavement (RAP). Road Mater. Pavement Des. 2020, 21, 1238–1257. [Google Scholar] [CrossRef]
- Yan, K.; Li, Y.; Long, Z.; You, L.; Wang, M.; Zhang, M.; Diab, A. Mechanical behaviors of asphalt mixtures modified with European rock bitumen and waste cooking oil. Constr. Build. Mater. 2022, 319, 125909. [Google Scholar] [CrossRef]
- Chen, M.; Leng, B.; Wu, S.; Sang, Y. Physical, chemical and rheological properties of waste edible vegetable oil rejuvenated asphalt binders. Constr. Build. Mater. 2014, 66, 286–298. [Google Scholar] [CrossRef]
- Azahar, W.N.A.W.; Jaya, R.P.; Hainin, M.R.; Bujang, M.; Ngadi, N. Chemical modification of waste cooking oil to improve the physical and rheological properties of asphalt binder. Constr. Build. Mater. 2016, 126, 218–226. [Google Scholar] [CrossRef]
- Oldham, D.; Rajib, A.; Dandamudi, K.P.R.; Liu, Y.; Deng, S.; Fini, E.H. Transesterification of Waste Cooking Oil to Produce A Sustainable Rejuvenator for Aged Asphalt. Resour. Conserv. Recycl. 2021, 168, 105297. [Google Scholar] [CrossRef]
- Zhao, Y.; Chen, M.; Zhang, X.; Wu, S.; Zhou, X.; Jiang, Q. Effect of chemical component characteristics of waste cooking oil on physicochemical properties of aging asphalt. Constr. Build. Mater. 2022, 344, 128236. [Google Scholar] [CrossRef]
- Yuechao, Z.; Meizhu, C.; Shaopeng, W.; Qi, J. Rheological properties and microscopic characteristics of rejuvenated asphalt using different components from waste cooking oil. J. Clean. Prod. 2022, 370, 133556. [Google Scholar] [CrossRef]
- Fang, Y.; Zhang, Z.; Wang, S.; Li, N. High temperature rheological properties of high modulus asphalt cement (HMAC) and its definition criteria. Constr. Build. Mater. 2020, 238, 117657. [Google Scholar] [CrossRef]
- Wang, W.; Jia, M.; Jiang, W.; Lou, B.; Jiao, W.; Yuan, D.; Li, X.; Liu, Z. High temperature property and modification mechanism of asphalt containing waste engine oil bottom. Constr. Build. Mater. 2020, 261, 119977. [Google Scholar] [CrossRef]
- Hu, C.; Feng, J.; Zhou, N.; Zhu, J.; Zhang, S. Hydrochar from corn stalk used as bio-asphalt modifier: High-temperature performance improvement. Environ. Res. 2021, 193, 110157. [Google Scholar] [CrossRef] [PubMed]
- Alam, S.; Hossain, Z. Changes in fractional compositions of PPA and SBS modified asphalt binders. Constr. Build. Mater. 2017, 152, 386–393. [Google Scholar] [CrossRef]
- Baldino, N.; Gabriele, D.; Rossi, C.O.; Seta, L.; Lupi, F.R.; Caputo, P. Low temperature rheology of polyphosphoric acid (PPA) added bitumen. Constr. Build. Mater. 2012, 36, 592–596. [Google Scholar] [CrossRef]
- Jiang, X.; Li, P.; Ding, Z.; Yang, L.; Zhao, J. Investigations on viscosity and flow behavior of polyphosphoric acid (PPA) modified asphalt at high temperatures. Constr. Build. Mater. 2019, 228, 116610. [Google Scholar] [CrossRef]
- Huang, Y.; Bird, R.N.; Heidrich, O. A review of the use of recycled solid waste materials in asphalt pavements. Resour. Conserv. Recycl. 2007, 52, 58–73. [Google Scholar] [CrossRef]
- Liu, H.; Chen, Z.; Wang, Y.; Zhang, Z.; Hao, P. Effect of poly phosphoric acid (PPA) on creep response of base and polymer modified asphalt binders/mixtures at intermediate-low temperature. Constr. Build. Mater. 2018, 159, 329–337. [Google Scholar] [CrossRef]
- Han, Y.; Tian, J.; Ding, J.; Shu, L.; Ni, F. Evaluating the storage stability of SBR-modified asphalt binder containing polyphosphoric acid (PPA). Case Stud. Constr. Mater. 2022, 17, e01214. [Google Scholar] [CrossRef]
- Yang, X.; Liu, G.; Rong, H.; Meng, Y.; Peng, C.; Pan, M.; Ning, Z.; Wang, G. Investigation on mechanism and rheological properties of Bio-asphalt/PPA/SBS modified asphalt. Constr. Build. Mater. 2022, 347, 128599. [Google Scholar] [CrossRef]
- Qian, C.; Fan, W.; Ren, F.; Lv, X.; Xing, B. Influence of polyphosphoric acid (PPA) on properties of crumb rubber (CR) modified asphalt. Constr. Build. Mater. 2019, 227, 117094. [Google Scholar] [CrossRef]
- Liu, Z.; Wang, Y.; Meng, Y.; Han, Z.; Jin, T. Comprehensive performance evaluation of steel fiber-reinforced asphalt mixture for induction heating. Int. J. Pavement Eng. 2022, 23, 3838–3849. [Google Scholar] [CrossRef]
- Ashish, P.K.; Singh, D. Effect of Carbon Nano Tube on performance of asphalt binder under creep-recovery and sustained loading conditions. Constr. Build. Mater. 2019, 215, 523–543. [Google Scholar] [CrossRef]
- Cao, Z.; Chen, M.; Liu, Z.; He, B.; Yu, J.; Xue, L. Effect of different rejuvenators on the rheological properties of aged SBS modified bitumen in long term aging. Constr. Build. Mater. 2019, 215, 709–717. [Google Scholar] [CrossRef]
- Hossain, Z.; Alam, S.; Baumgardner, G. Evaluation of rheological performance and moisture susceptibility of polyphosphoric acid modified asphalt binders. Road Mater. Pavement Des. 2020, 21, 237–252. [Google Scholar] [CrossRef]
- Bonemazzi, F.; Giavarini, C. Shifting the bitumen structure from sol to gel. J. Pet. Sci. Eng. 1999, 22, 17–24. [Google Scholar] [CrossRef]
- Dong, Z.; Yang, C.; Luan, H.; Zhou, T.; Wang, P. Chemical characteristics of bio-asphalt and its rheological properties after CR/SBS composite modification. Constr. Build. Mater. 2019, 200, 46–54. [Google Scholar] [CrossRef]
- Kovinich, J.; Kuhn, A.; Wong, A.; Ding, H.; Hesp, S.A.M. Wax in Asphalt: A comprehensive literature review. Constr. Build. Mater. 2022, 342, 128011. [Google Scholar] [CrossRef]
- Huang, T.; He, H.; Zhang, P.; Lv, S.; Jiang, H.; Liu, H.; Peng, X. Laboratory investigation on performance and mechanism of polyphosphoric acid modified bio-asphalt. J. Clean. Prod. 2022, 333, 130104. [Google Scholar] [CrossRef]












| Abbreviations | Abbreviations | ||
|---|---|---|---|
| 4LC0.5PPA | 4%LC + 0.5%PPA | WCO | waste cooking oil |
| 4LC1PPA | 4%LC + 1PPA | PPA | polyphosphoric acid |
| 4LC1.5PPA | 4%LC + 1.5%PPA | DSR | dynamic shear rheology |
| 4LC2PPA | 4%LC + 2%PPA | Ea | viscous activation energy |
| 4IC0.5PPA | 4%IC + 0.5%PPA | ARA | asphalt rejuvenation agent |
| 4IC1PPA | 4%IC + 1PPA | LC | light component |
| 4IC1.5PPA | 4%IC + 1.5%PPA | IC | intermediate component |
| 4IC2PPA | 4%IC + 2%PPA | HC | heavy component |
| 4HC0.5PPA | 4%HC + 0.5%PPA | TS | temperature sweep |
| 4HC1PPA | 4%HC + 1PPA | FS | frequency sweep |
| 4HC1.5PPA | 4%HC + 1.5%PPA | G*/(1-(1/TanδSinδ)) | Shenoy parameter |
| 4HC2PPA | 4%HC + 2%PPA | BBR | Bending beam rheometer |
| G*/Sinδ | Rutting factor | GTS | grade temperature sensitivity |
| Technical Indexes | Unit | Results | Test Method |
|---|---|---|---|
| Ductility (5 °C, 5 cm/min) | cm | 37.1 | T0605 |
| Penetration (25 °C, 100 g, 5 s) | 0.1 mm | 82.9 | T0604 |
| Softening Point | ℃ | 47.3 | T0604 |
| RTFOT | |||
| Weight loss | % | −0.066 | T0601 |
| Residual penetration ratio | % | 57.9 | T0604 |
| Residual ductility (5 °C) | cm | 21.6 | T0605 |
| Index | Unit | Test Results |
|---|---|---|
| Density (25 °C) | g/cm3 | 2.15 |
| Viscosity (85 °C) | mPa.s | 562 |
| Iron content | % | ≤0.01 |
| Sulfate | % | 0.01 |
| P2O5 | % | 82.95 |
| Index | Unit | Test Results | ||
|---|---|---|---|---|
| LC | IC | HC | ||
| Viscosity (50 °C) | cP | 66 | 85 | 219 |
| Flash point | °C | 197 | 219 | 242 |
| Fire point | °C | 216 | 233 | 264 |
| Density | g/cm3 | 0.89 | 0.92 | 0.97 |
| Mechanical impurity | % | 0.425 | 0.002 | 0 |
| Viscosity (50 °C) | cP | 66 | 85 | 219 |
| Original | 4HC0.5PPA | 4HC1PPA | 4HC1.5PPA | 4HC2PPA | 4IC0.5PPA | 4IC1PPA | |
|---|---|---|---|---|---|---|---|
| Ai | 9.251 | 9.279 | 9.263 | 9.011 | 7.935 | 9.418 | 9.284 |
| |VTSi| | 3.319 | 3.367 | 3.325 | 3.281 | 3.243 | 3.338 | 3.296 |
| 4IC1.5PPA | 4IC2PPA | 4LC0.5PPA | 4LC1PPA | 4LC1.5PPA | 4LC2PPA | ||
| Ai | 9.025 | 8.329 | 10.019 | 9.846 | 9.355 | 8.367 | |
| |VTSi| | 3.269 | 3.271 | 3.741 | 3.709 | 3.328 | 3.443 |
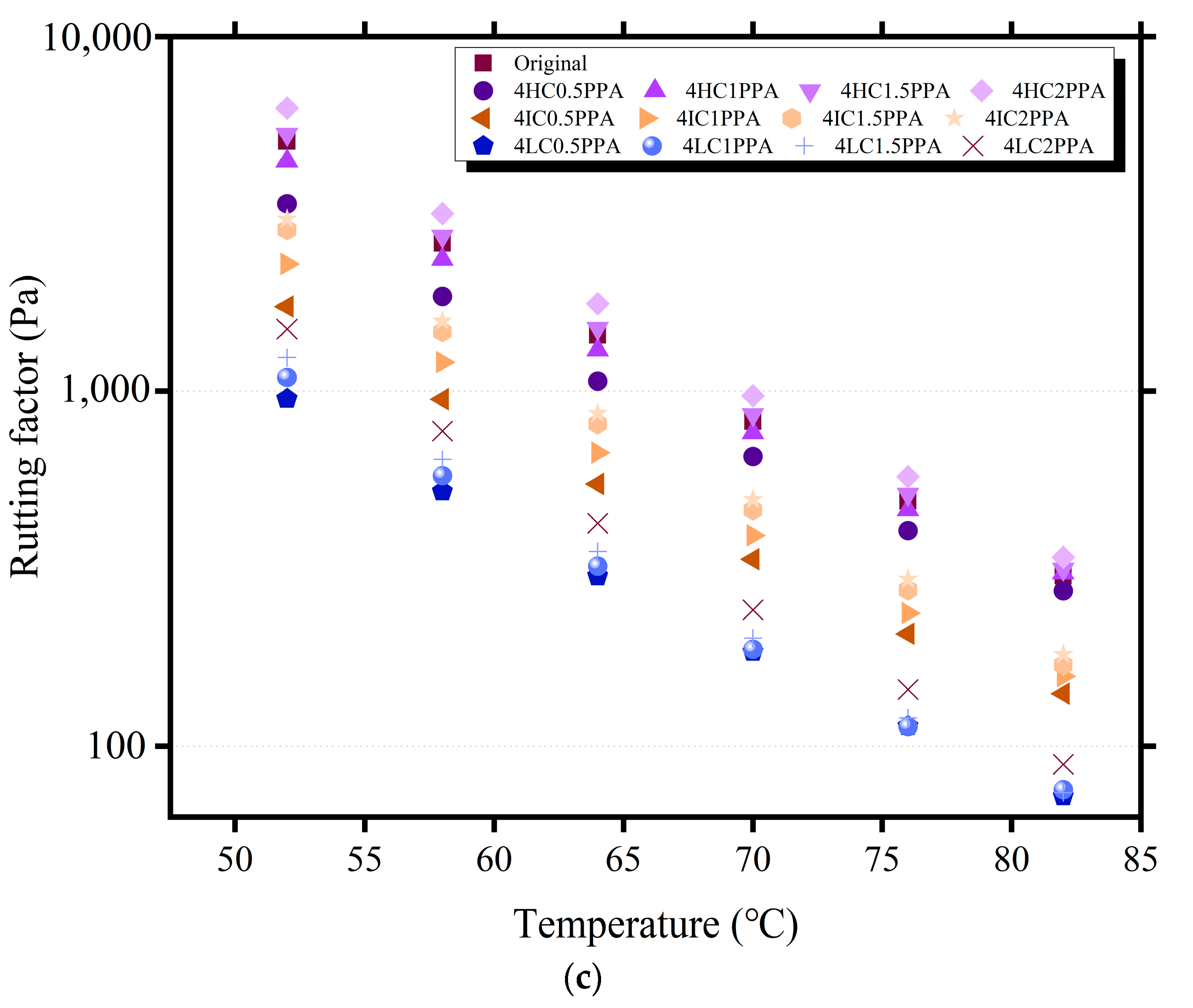
| Original | 4HC0. 5PPA | 4HC1PPA | 4HC1. 5PPA | 4HC2PPA | 4IC0. 5PPA | 4IC1PPA | 4IC1. 5PPA | 4IC2PPA | 4LC0. 5PPA | 4LC1PPA | 4LC1. 5PPA | 4LC2PPA | |
|---|---|---|---|---|---|---|---|---|---|---|---|---|---|
| 52 | 9.1742 | 7.425 | 8.6143 | 9.3766 | 10.1087 | 4.5115 | 5.7138 | 6.6786 | 6.9724 | 3.1075 | 3.1611 | 3.2238 | 3.3047 |
| 58 | 5.8879 | 4.3825 | 5.4347 | 6.0867 | 6.7212 | 2.6934 | 2.7951 | 3.3827 | 3.6849 | 2.4372 | 2.4778 | 2.5251 | 2.6064 |
| 64 | 2.9134 | 2.3851 | 2.5038 | 3.1244 | 3.8137 | 2.0815 | 2.1751 | 2.2575 | 2.2861 | 1.8258 | 1.8592 | 1.8947 | 1.9763 |
| 70 | 1.7021 | 1.6027 | 1.6655 | 1.7203 | 1.7727 | 1.3119 | 1.3787 | 1.4503 | 1.4803 | 1.0485 | 1.0587 | 1.0902 | 1.1702 |
| 76 | 1.2156 | 1.1326 | 1.1913 | 1.2356 | 1.2846 | 0.8426 | 0.9013 | 0.9656 | 0.9956 | 0.5826 | 0.5813 | 0.7051 | 0.6856 |
| 82 | 0.8666 | 0.8264 | 0.8753 | 0.8866 | 0.9197 | 0.5362 | 0.5853 | 0.6166 | 0.6466 | 0.4738 | 0.4757 | 0.4743 | 0.4823 |
Publisher’s Note: MDPI stays neutral with regard to jurisdictional claims in published maps and institutional affiliations. |
© 2022 by the authors. Licensee MDPI, Basel, Switzerland. This article is an open access article distributed under the terms and conditions of the Creative Commons Attribution (CC BY) license (https://creativecommons.org/licenses/by/4.0/).
Share and Cite
Wang, W.; Li, J.; Wang, D.; Liu, P.; Li, X. The Synergistic Effect of Polyphosphates Acid and Different Compounds of Waste Cooking Oil on Conventional and Rheological Properties of Modified Bitumen. Materials 2022, 15, 8681. https://doi.org/10.3390/ma15238681
Wang W, Li J, Wang D, Liu P, Li X. The Synergistic Effect of Polyphosphates Acid and Different Compounds of Waste Cooking Oil on Conventional and Rheological Properties of Modified Bitumen. Materials. 2022; 15(23):8681. https://doi.org/10.3390/ma15238681
Chicago/Turabian StyleWang, Wentong, Jin Li, Di Wang, Pengfei Liu, and Xinzhou Li. 2022. "The Synergistic Effect of Polyphosphates Acid and Different Compounds of Waste Cooking Oil on Conventional and Rheological Properties of Modified Bitumen" Materials 15, no. 23: 8681. https://doi.org/10.3390/ma15238681
APA StyleWang, W., Li, J., Wang, D., Liu, P., & Li, X. (2022). The Synergistic Effect of Polyphosphates Acid and Different Compounds of Waste Cooking Oil on Conventional and Rheological Properties of Modified Bitumen. Materials, 15(23), 8681. https://doi.org/10.3390/ma15238681

