Synthesis and Electrochemical Performance of V6O13 Nanosheets Film Cathodes for LIBs
Abstract
1. Introduction
2. Experimental Section
2.1. Preparation of Films
2.2. Materials Characterizations
2.3. Electrochemical Characterizations
3. Results and Discussion
3.1. Characterization of the Obtained Films
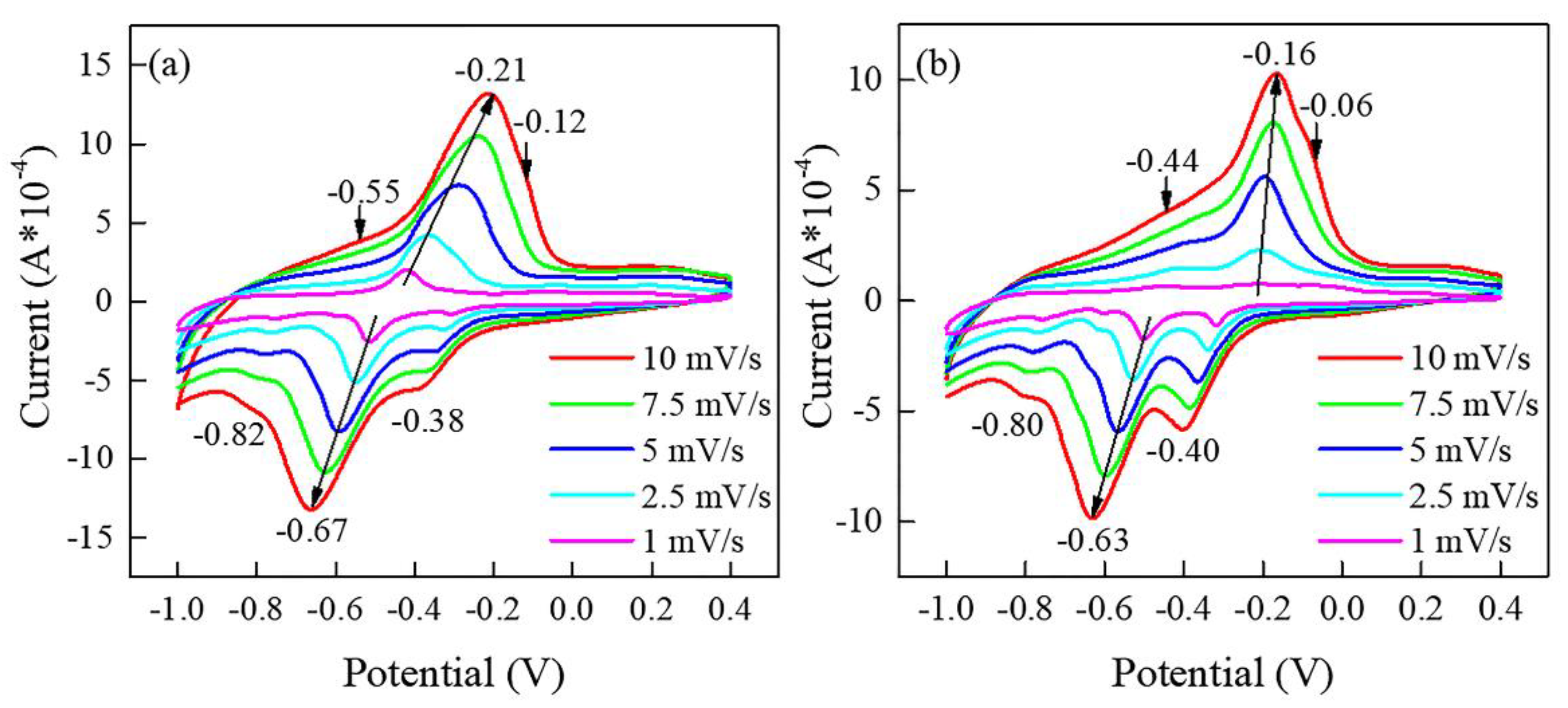
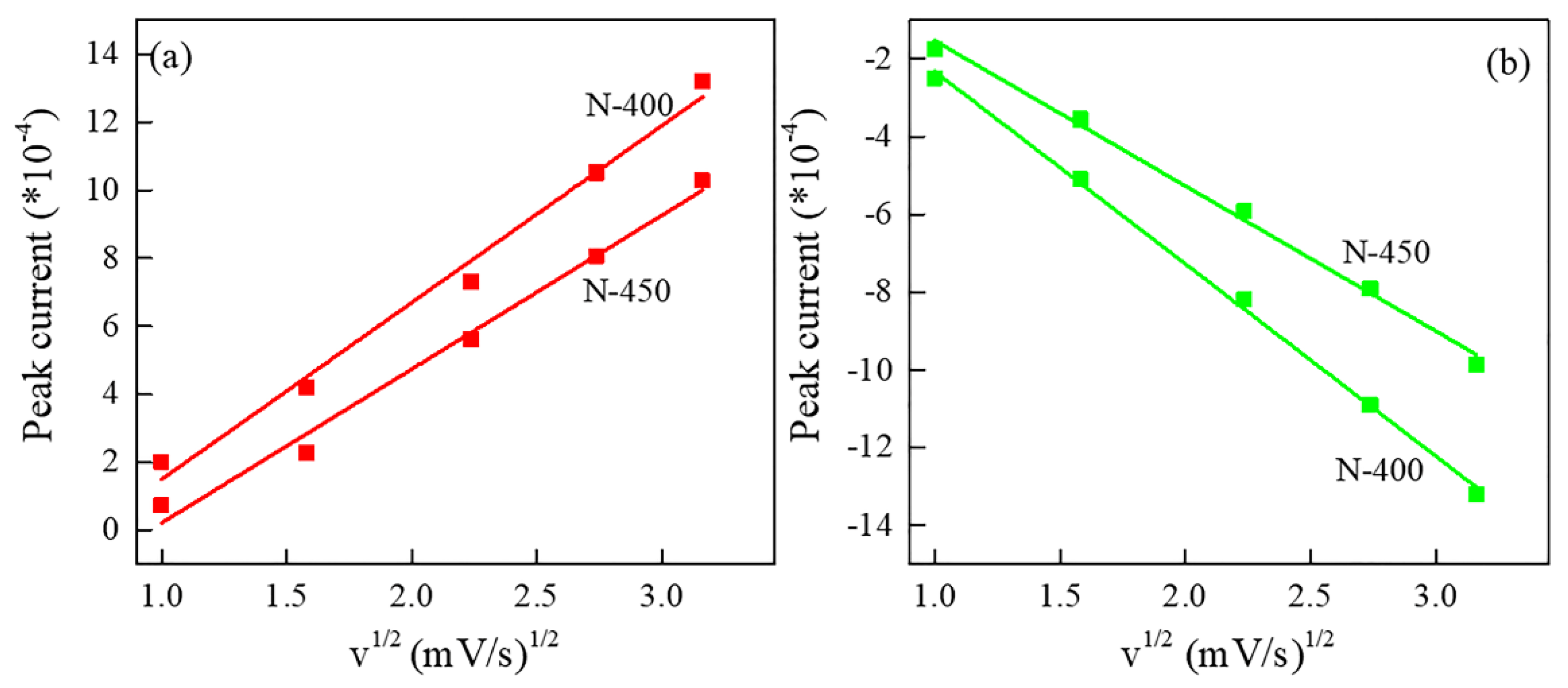
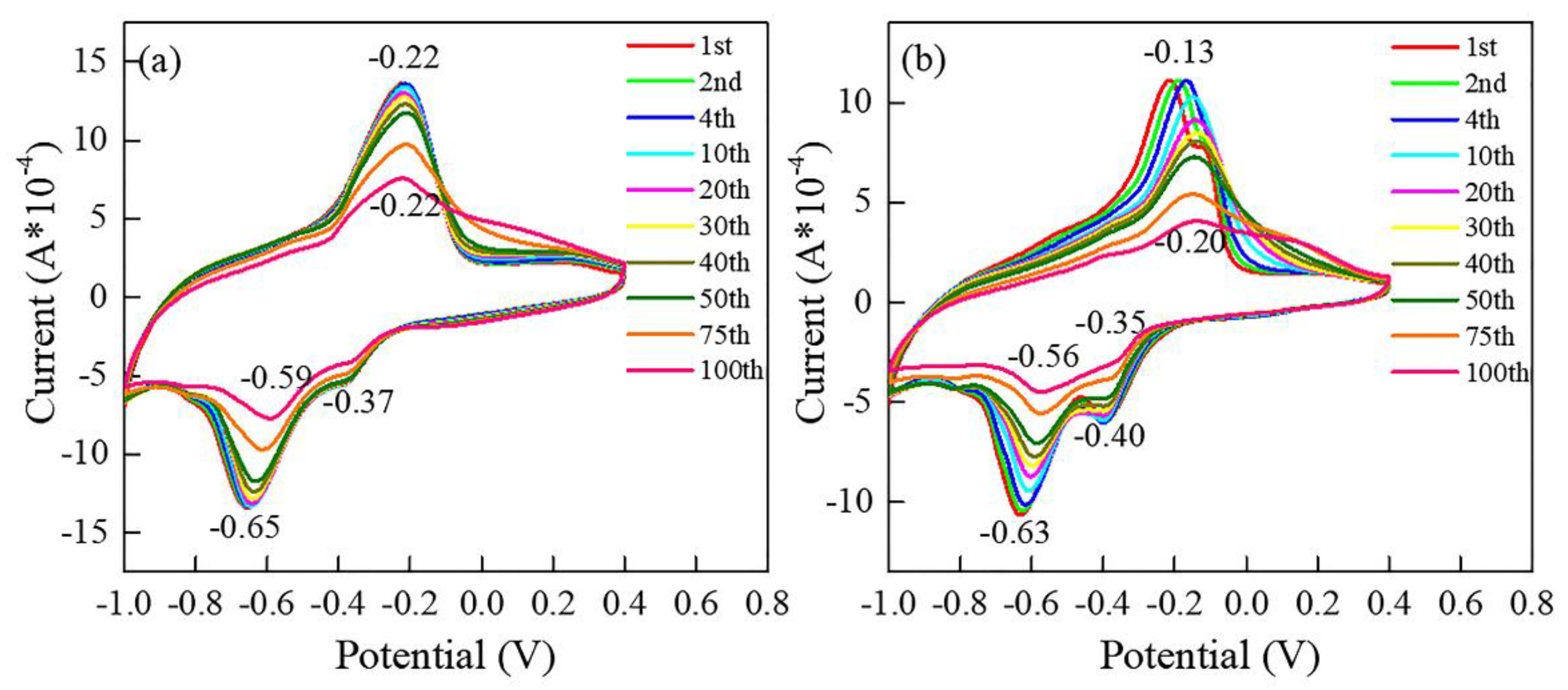
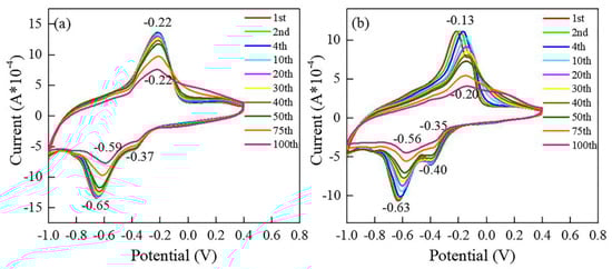
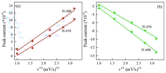
3.2. Electrochemical Performance Study
4. Conclusions
Author Contributions
Funding
Conflicts of Interest
References
- Shi, X.; Du, J.; Jones, T.G.J.; Wang, X.; Liang, H.P. Understanding the Mechanism for Capacity Decay of V6O13-Based Lithium-Metal Polymer Batteries. ACS Appl. Mater. Interfaces 2018, 10, 29667–29674. [Google Scholar] [CrossRef] [PubMed]
- Luo, W.; Gaumet, J.J.; Mai, L. Nanostructured Layered Vanadium Oxide as Cathode for High-Performance Sodium-Ion Batteries: A Perspective. MRS Commun. 2017, 7, 152–165. [Google Scholar] [CrossRef]
- Chen, J.; Xu, H.Y.; Ruan, J.H.; Xin, Y.M.; Li, Y.; Li, D.C.; Wang, A.G.; Sun, D.S. Preparation and Electrochemical Performance of Binder-Free Sodium Vanadium Bronze Thin Film Electrodes Based on a Low Temperature Liquid Phase Deposition Method. Mater. Chem. Phys. 2020, 249, 122935. [Google Scholar] [CrossRef]
- Liang, Y.; Lai, W.H.; Miao, Z.; Chou, S.L. Nanocomposite Materials for the Sodium-Ion Battery: A Review. Small 2018, 14, 5. [Google Scholar] [CrossRef] [PubMed]
- Zou, Z.; Zhang, S.; Li, S. A Review of the Preparation and Performance Improvement of V6O13 as a Cathode Material for Lithium-Ion Batteries. Mater. Technol. 2019, 35, 300–315. [Google Scholar] [CrossRef]
- Zhang, S.; Zou, Z.; Zhang, H.; Liu, J.; Zhong, S. Al/Ga Co-Doped V6O13 Nanorods with High Discharge Specific Capacity as Cathode Materials for Lithium-Ion Batteries. J. Electroanal. Chem. 2021, 890, 115220. [Google Scholar] [CrossRef]
- Meng, J.; Zhang, S.; Liu, X.; Zhong, S.; Zou, Z. Facile Synthesis of 3D Urchin-Like V6O13 Microflowers as Cathode Materials for High-Capacity and High-Rate Lithium-Ion Batteries. J. Electroanal. Chem. 2021, 900, 115742. [Google Scholar] [CrossRef]
- Li, S.; Zou, Z.; Wu, X.; Zhang, Y. Solvothermal Preparation of Carbon Coated V6O13 Nanocomposite as Cathode Material for Lithium-Ion Battery. J. Electroanal. Chem. 2019, 846, 113173. [Google Scholar] [CrossRef]
- Manthiram, A. An Outlook on Lithium Ion Battery Technology. ACS Cent. Sci. 2017, 3, 1063–1069. [Google Scholar] [CrossRef]
- Wu, X.; Zou, Z.; Li, S.; Wang, Z. Simple Synthesis and Electrochemical Performance of V6O13 Cathode Materials as Lithium-Ion Batteries. Ionics 2019, 25, 1413–1418. [Google Scholar] [CrossRef]
- Ding, Y.L.; Wen, Y.; Wu, C.; van Aken, P.A.; Maier, J.; Yu, Y. 3D V6O13 Nanotextiles Assembled from Interconnected Nanogrooves as Cathode Materials for High-Energy Lithium Ion Batteries. Nano Lett. 2015, 15, 1388–1394. [Google Scholar] [CrossRef] [PubMed]
- He, J.; Long, F.; Zou, Z.; Wang, W.; Fu, Z. Hydrothermal Synthesis and Electrochemical Performance of Mn-Doped V6O13 as Cathode Material for Lithium-Ion Battery. Ionics 2014, 21, 995–1001. [Google Scholar] [CrossRef]
- Vernardou, D.; Apostolopoulou, M.; Louloudakis, D.; Spanakis, E.; Katsarakis, N.; Koudoumas, E.; McGrath, J.; Pemble, M.E. Electrochemical Properties of Opal-V6O13 Composites. J. Alloys Compd. 2014, 586, 621–626. [Google Scholar] [CrossRef]
- Wu, X.; Zou, Z.; Yang, Q.; Zhang, Y. Magnetic Stirring Assisted Hydrothermal Synthesis of Fibrous-V6O13 Cathode Material for Lithium-Ion Battery. Mater. Lett. 2019, 235, 176–179. [Google Scholar] [CrossRef]
- Xu, S.; Cen, D.; Gao, P.; Tang, H.; Bao, Z. 3D Interconnected V6O13 Nanosheets Grown on Carbonized Textile via a Seed-Assisted Hydrothermal Process as High-Performance Flexible Cathodes for Lithium-Ion Batteries. Nanoscale Res. Lett. 2018, 13, 65. [Google Scholar] [CrossRef]
- Fei, H.; Lin, Y.; Wei, M. Facile Synthesis of V6O13 Micro-Flowers for Li-Ion and Na-Ion Battery Cathodes with Good Cycling Performance. J. Colloid Interface Sci. 2014, 425, 1–4. [Google Scholar] [CrossRef]
- Xu, N.; Ma, X.; Wang, M.; Qian, T.; Liang, J.; Yang, W.; Wang, Y.; Hu, J.; Yan, C. Stationary Full Li-Ion Batteries with Interlayer-Expanded V6O13 Cathodes and Lithiated Graphite Anodes. Electrochim. Acta 2016, 203, 171–177. [Google Scholar] [CrossRef]
- Zhong, S.; Zou, Z.; Lv, S.; Zhang, S.; Geng, J.; Meng, J.; Liu, X.; Liang, F.; Rao, J. V6O13 Nanosheets Self-Assembled into 3D Hollow Microflowers for Long-Life and High-Rate Li-Ion Batteries. J. Alloys Compd. 2022, 903, 163845. [Google Scholar] [CrossRef]
- Meng, W.; Pigliapochi, R.; Bayley, P.M.; Pecher, O.; Gaultois, M.W.; Seymour, I.D.; Liang, H.P.; Xu, W.; Wiaderek, K.M.; Chapman, K.W.; et al. Unraveling the Complex Delithiation and Lithiation Mechanisms of the High Capacity Cathode Material V6O13. Chem. Mater. 2017, 29, 5513–5524. [Google Scholar] [CrossRef]
- Shan, L.; Zhou, J.; Zhang, W.; Xia, C.; Guo, S.; Ma, X.; Fang, G.; Wu, X.; Liang, S. Highly Reversible Phase Transition Endows V6O13 with Enhanced Performance as Aqueous Zinc-Ion Battery Cathode. Energy Technol. 2019, 7, 1900022. [Google Scholar] [CrossRef]
- Tamilselvan, M.; Sreekanth, T.V.M.; Yoo, K.; Kim, J. Binder-Free Coaxially Grown V6O13 Nanobelts on Carbon Cloth as Cathodes for Highly Reversible Aqueous Zinc Ion Batteries. Appl. Surf. Sci. 2020, 529, 147077. [Google Scholar] [CrossRef]
- Mutta, G.R.; Popuri, S.R.; Ruterana, P.; Buckman, J. Single Step Hydrothermal Synthesis of Mixed Valent V6O13 Nano-Architectures: A Case Study of the Possible Applications in Electrochemical Energy Conversion. J. Alloys Compd. 2017, 706, 562–567. [Google Scholar] [CrossRef]
- Wu, M.; Zhu, K.; Liang, P.; Yao, Z.; Shi, F.; Zhang, J.; Yan, K.; Liu, J.; Wang, J. Uniform Rotate Hydrothermal Synthesis of V6O13 Nanosheets as Cathode Material for Lithium-Ion Battery. J. Alloys Compd. 2021, 877, 160174. [Google Scholar] [CrossRef]
- Zou, Z.; Cheng, H.; He, J.; Long, F.; Wu, Y.; Yan, Z.; Chen, H. V6O13 Nanosheets Synthesized From Ethanol-Aqueous Solutions as High Energy Cathode Material for Lithium-Ion Batteries. Electrochim. Acta 2014, 135, 175–180. [Google Scholar] [CrossRef]
- Zhang, Y.; Huang, C.; Meng, C. Controlled Synthesis of V6O13 Nanobelts by a Facile One-Pot Hydrothermal Process and Their Effect on Thermal Decomposition of Ammonium Perchlorate. Mater. Express 2015, 5, 105–112. [Google Scholar] [CrossRef]
- Xu, H.Y.; Ruan, J.H.; Liu, F.L.; Li, D.C.; Zhang, F.J.; Wang, A.G.; Sun, D.S.; Oh, W.C. Preparation of Lithium-Doped NaV6O15 Thin Film Cathodes with High Cycling Performance in SIBs. J. Korean Ceram. Soc. 2022, 59, 289–301. [Google Scholar] [CrossRef]
- Esparcia, E.A.; Chae, M.S.; Ocon, J.D.; Hong, S.T. Ammonium Vanadium Bronze (NH4V4O10) as a High-Capacity Cathode Material for Nonaqueous Magnesium-Ion Batteries. Chem. Mater. 2018, 30, 3690–3696. [Google Scholar] [CrossRef]
- Sarkar, S.; Veluri, P.S.; Mitra, S. Morphology Controlled Synthesis of Layered NH4V4O10 and the Impact of Binder on Stable High Rate Electrochemical Performance. Electrochim. Acta 2014, 132, 448–456. [Google Scholar] [CrossRef]
- O’Dwyer, C.; Lavayen, V.; Newcomb, S.B.; Santa Ana, M.A.; Benavente, E.; González, G.; Sotomayor Torres, C.M. Vanadate Conformation Variations in Vanadium Pentoxide Nanostructures. J. Electrochem. Soc. 2007, 154, K29. [Google Scholar] [CrossRef]
- Liu, C.; Neale, Z.; Zheng, J.; Jia, X.; Huang, J.; Yan, M.; Tian, M.; Wang, M.; Yang, J.; Cao, G. Expanded Hydrated Vanadate for High-Performance Aqueous Zinc-Ion Batteries. Energy Environ. Sci. 2019, 12, 2273–2285. [Google Scholar] [CrossRef]
- Song, X.; Li, J.; Li, Z.; Xiao, Q.; Lei, G.; Hu, Z.; Ding, Y.; Kheimeh Sari, H.M.; Li, X. Superior Sodium Storage of Carbon-Coated NaV6O15 Nanotube Cathode: Pseudocapacitance versus Intercalation. ACS Appl. Mater. Interfaces 2019, 11, 10631–10641. [Google Scholar] [CrossRef] [PubMed]
- Li, S.; Li, X.; Li, Y.; Yan, B.; Song, X.; Fan, L.; Shan, H.; Li, D. Design of V2O5·xH2O Cathode for Highly Enhancing Sodium Storage. J. Alloys Compd. 2017, 722, 278–286. [Google Scholar] [CrossRef]
- Xiao, F.; Song, X.; Li, Z.; Zhang, H.; Zhang, L.; Lei, G.; Xiao, Q.; Hu, Z.; Ding, Y. Embedding of Mg-Doped V2O5 Nanoparticles in a Carbon Matrix to Improve Their Electrochemical Properties for High-Energy Rechargeable Lithium Batteries. J. Mater. Chem. Phys. 2017, 5, 17432–17441. [Google Scholar]
- Deng, L.; Niu, X.; Ma, G.; Yang, Z.; Zeng, L.; Zhu, Y.; Guo, L. Layered Potassium Vanadate K0.5V2O5 as a Cathode Material for Nonaqueous Potassium Ion Batteries. Adv. Funct. Mater. 2018, 28, 1800670. [Google Scholar] [CrossRef]
- Shang, C.; Hu, L.; Lin, Q.; Fu, X.; Wang, X.; Zhou, G. Integration of NaV6O15·nH2O Nanowires and rGO as Cathode Materials for Efficient Sodium Storage. Appl. Surf. Sci. 2019, 494, 458–464. [Google Scholar] [CrossRef]
- Zhang, Y.; Zheng, J.; Zhao, Y.; Hu, T.; Gao, Z.; Meng, C. Fabrication of V2O5 with Various Morphologies for High-Performance Electrochemical Capacitor. Appl. Surf. Sci. 2016, 377, 385–393. [Google Scholar] [CrossRef]
- Xu, H.; Liu, F.; Li, D.; Ruan, J.; Wang, A.; Sun, D. Enhancement of Electrochemical Properties of SIBs by Generating a New Phase in Potassium-Doped NaV6O15 Film Electrodes. J. Phys. Chem. C 2022, 126, 8208–8217. [Google Scholar] [CrossRef]
- Wang, X.; Liu, Q.; Wang, H.; Jiang, D.; Chang, Y.; Zhang, T.; Zhang, B.; Mou, H.; Jiang, Y. PVP-Modulated Synthesis of NaV6O15 Nanorods as Cathode Materials for High-Capacity Sodium-Ion Batteries. J. Mater. Sci. 2016, 51, 8986–8994. [Google Scholar] [CrossRef]
- Hu, F.; Jiang, W.; Dong, Y.; Lai, X.; Xiao, L.; Wu, X. Synthesis and Electrochemical Performance of NaV6O15 Microflowers for Lithium and Sodium Ion Batteries. RSC Adv. 2017, 7, 29481–29488. [Google Scholar] [CrossRef]
- Osman, S.; Zuo, S.; Xu, X.; Shen, J.; Liu, Z.; Li, F.; Li, P.; Wang, X.; Liu, J. Freestanding Sodium Vanadate/Carbon Nanotube Composite Cathodes with Excellent Structural Stability and High Rate Capability for Sodium-Ion Batteries. ACS Appl. Mater. Interfaces 2021, 13, 816–826. [Google Scholar] [CrossRef]
- Dong, Y.; Xu, J.; Chen, M.; Guo, Y.; Zhou, G.; Li, N.; Zhou, S.; Wong, C.-P. Self-Assembled NaV6O15 Flower-Like Microstructures for High-Capacity and Long-Life Sodium-Ion Battery Cathode. Nano Energy 2020, 68, 104357. [Google Scholar] [CrossRef]
- Sun, D.; Jin, G.; Wang, H.; Huang, X.; Ren, Y.; Jiang, J.; He, H.; Tang, Y. LixV2O5/LiV3O8 Nanoflakes with Significantly Improved Electrochemical Performance for Li-Ion Batteries. J. Mater. Chem. A 2014, 2, 8009–8016. [Google Scholar] [CrossRef]
- Song, H.; Liu, Y.; Zhang, C.; Liu, C.; Cao, G. Mo-doped LiV3O8 Nanorod-Assembled Nanosheets as a High Performance Cathode Material for Lithium Ion Batteries. J. Mater. Chem. A 2015, 3, 3547–3558. [Google Scholar] [CrossRef]












| Anodic/Cathodic | Films | DLi+ (×10−12 cm−2s−1) |
|---|---|---|
| Anodic | N−400 | 5.65 |
| N−450 | 3.32 | |
| Cathodic | N−400 | 6.08 |
| N−450 | 3.20 |
Publisher’s Note: MDPI stays neutral with regard to jurisdictional claims in published maps and institutional affiliations. |
© 2022 by the authors. Licensee MDPI, Basel, Switzerland. This article is an open access article distributed under the terms and conditions of the Creative Commons Attribution (CC BY) license (https://creativecommons.org/licenses/by/4.0/).
Share and Cite
Li, F.; Xu, H.; Liu, F.; Li, D.; Wang, A.; Sun, D. Synthesis and Electrochemical Performance of V6O13 Nanosheets Film Cathodes for LIBs. Materials 2022, 15, 8574. https://doi.org/10.3390/ma15238574
Li F, Xu H, Liu F, Li D, Wang A, Sun D. Synthesis and Electrochemical Performance of V6O13 Nanosheets Film Cathodes for LIBs. Materials. 2022; 15(23):8574. https://doi.org/10.3390/ma15238574
Chicago/Turabian StyleLi, Fei, Haiyan Xu, Fanglin Liu, Dongcai Li, Aiguo Wang, and Daosheng Sun. 2022. "Synthesis and Electrochemical Performance of V6O13 Nanosheets Film Cathodes for LIBs" Materials 15, no. 23: 8574. https://doi.org/10.3390/ma15238574
APA StyleLi, F., Xu, H., Liu, F., Li, D., Wang, A., & Sun, D. (2022). Synthesis and Electrochemical Performance of V6O13 Nanosheets Film Cathodes for LIBs. Materials, 15(23), 8574. https://doi.org/10.3390/ma15238574

