Dynamic Compression Mechanical Properties of Polyoxymethylene-Fiber-Reinforced Concrete
Abstract
1. Introduction
2. Experimental Program
2.1. Raw Materials and Mixture Proportions
2.2. Specimen Preparation
2.3. SHPB Test
3. Test Results and Discussion
3.1. SHPB Test Stress Uniformity Analysis
3.2. Failure Pattern
3.3. Dynamic Stress–Strain Curves
3.4. Dynamic Compressive Strength Analysis
3.5. Dynamic Increase Factor
3.6. Dynamic Compression Deformation Analysis
3.7. Impact Toughness Analysis
4. Dynamic Constitutive Model of PFRC
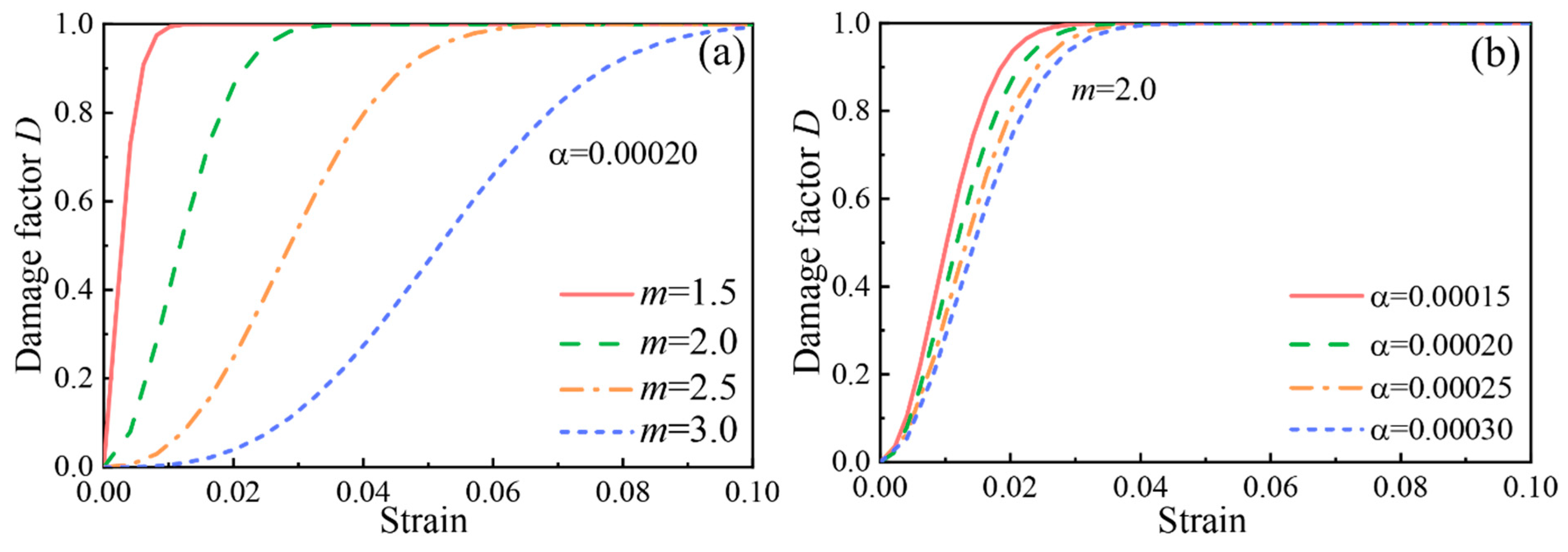
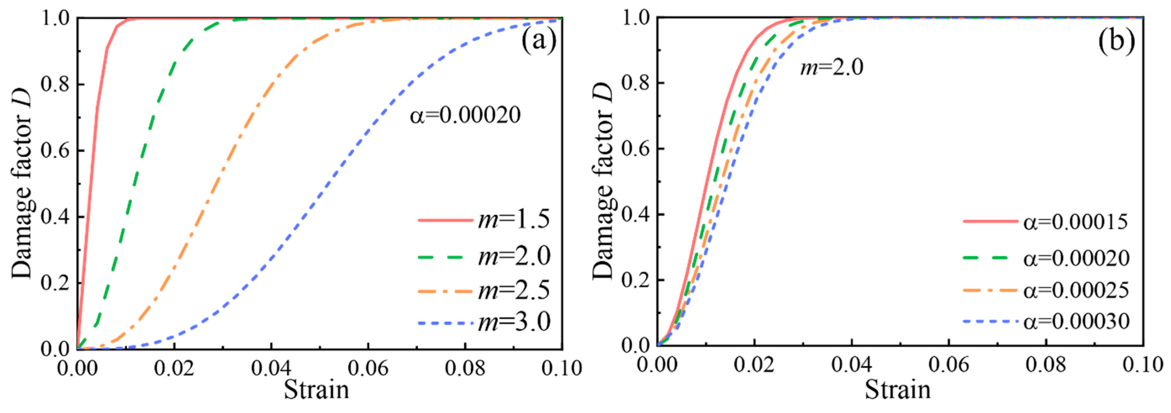
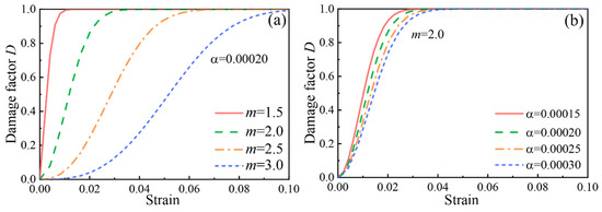
4.1. Establishment of Damage Dynamic Constitutive Model
4.2. Fitting Results and Analysis
5. Conclusions
- PFRC is a strain-rate-dependent material in which the dynamic compressive strength, dynamic increase factor, dynamic peak strain, dynamic ultimate strain, dynamic peak toughness, and dynamic ultimate toughness all increase with an increasing strain rate.
- Different lengths of POM fibers can significantly improve the dynamic compressive deformation capacity and impact toughness of concrete. POM fibers with a length of 8 mm led to the greatest improvements in the dynamic compressive strength and impact toughness of the concrete.
- The damage dynamic constitutive model of PFRC was established by optimizing the Z-W-T constitutive model with damage correction. The fitted curves of this model of PFRC are in good agreement with the experimental data of the PFRC, and the constitutive model can better describe the dynamic compressive mechanical properties of PFRC under different strain rate impact loading.
- The constitutive model established can act as a reference for the design of PFRC under impact loading. For the PFRC studied in this paper, when the strain rate exceeded the range of 80~150 s−1, there were no test data to verify the validity of the model. In the future, the dynamic mechanical properties of PFRC under a wider range of strain rates can be studied, and the respective constitutive models can be improved.
Author Contributions
Funding
Institutional Review Board Statement
Informed Consent Statement
Data Availability Statement
Acknowledgments
Conflicts of Interest
References
- He, J.Q.; Wang, Q.; Yao, B.Y.; Ho, J. Mechanical properties of high strength POM-FRCC and its performance under elevated temperatures. Constr. Build. Mater. 2021, 290, 15. [Google Scholar] [CrossRef]
- Zhang, L.H.; Liu, J.Z.; Zhou, H.X.; Yang, Z.Q. Effects of POM fiber on concrete performance. China Concr. Cem. Prod. 2018, 1, 58–62. (In Chinese) [Google Scholar]
- Yu, R.; Liu, K.N.; Yin, T.Y.; Tang, L.; Ding, M.; Shui, Z. Comparative study on the effect of steel and polyoxymethylene fibers on the characteristics of Ultra-High Performance Concrete (UHPC). Cem. Concr. Compos. 2022, 127, 18. [Google Scholar]
- Zhang, W.; Xu, X.; Wang, H.; Wei, F.; Zhang, Y. Experimental and numerical analysis of interfacial bonding strength of polyoxymethylene reinforced cement composites. Constr. Build. Mater. 2019, 207, 1–9. [Google Scholar] [CrossRef]
- Wang, Z.H.; Guo, R.X.; Liu, G.S.; Guo, L.X.; Yan, Y. Study on Flexural Fatigue Properties of POM Fiber Airport Pavement Concrete. Polymers 2022, 14, 2979. [Google Scholar] [CrossRef] [PubMed]
- Zhang, H.; Wang, B.; Xie, A.Y.; Qi, Y.Z. Experimental study on dynamic mechanical properties and constitutive model of basalt fiber reinforced concrete. Constr. Build. Mater. 2017, 152, 154–167. [Google Scholar] [CrossRef]
- Yu, Q.L.; Zhuang, W.T.; Shi, C.J. Research progress on the dynamic compressive properties of ultra-high performance concrete under high strain rates. Cem. Concr. Compos. 2021, 124, 18. [Google Scholar] [CrossRef]
- Yoo, D.-Y.; Banthia, N. Impact resistance of fiber-reinforced concrete–A review. Cem. Concr. Compos. 2019, 104, 103389. [Google Scholar] [CrossRef]
- Su, Y.; Li, J.; Wu, C.; Wu, P.; Li, Z.X. Effects of steel fibres on dynamic strength of UHPC. Constr. Build. Mater. 2016, 114, 708–718. [Google Scholar] [CrossRef]
- Liao, L.; Zhao, J.; Zhang, F.; Li, S.; Wang, Z. Experimental study on compressive properties of SFRC under high strain rate with different fiber content and aspect ratio. Constr. Build. Mater. 2020, 261, 119906. [Google Scholar] [CrossRef]
- Huang, B.F.; Xiao, Y. Impact tests of high-strength, lightweight concrete with large spilt Hopkinson pressure bar. China. Civ. Eng. J. 2021, 54, 30–42. (In Chinese) [Google Scholar]
- Safa, K.; Gary, G. Displacement correction for punching at a dynamically loaded bar end. Int. J. Impact Eng. 2010, 37, 371–384. [Google Scholar] [CrossRef]
- Pham, T.M.; Chen, W.; Khan, A.M.; Hao, H.; Elchalakani, M.; Tran, T.M. Dynamic compressive properties of lightweight rubberized concrete. Constr. Build. Mater. 2020, 238, 117705. [Google Scholar] [CrossRef]
- Chen, S.; Shi, S.Q.; He, Q.L.; Li, J. Experimental study and numerical simulation on the impact resistance performance of concrete reinforced with metal meshes. Mater. Rep. 2020, 34, 20046–20052. (In Chinese) [Google Scholar]
- Hao, Y.; Hao, H. Dynamic compressive behaviour of spiral steel fibre reinforced concrete in split Hopkinson pressure bar tests. Constr. Build. Mater. 2013, 48, 521–532. [Google Scholar] [CrossRef]
- Wu, X.G.; Wang, S.R.; Yang, J.H.; Zhao, J.Q.; Chang, X. Damage characteristics and constitutive model of lightweight shale ceramsite concrete under static-dynamic loading. Eng. Fract. Mech. 2022, 259, 15. [Google Scholar] [CrossRef]
- Zhang, D.; Tu, H.; Li, Y.; Weng, Y. Effect of fiber content and fiber length on the dynamic compressive properties of strain-hardening ultra-high performance concrete. Constr. Build. Mater. 2022, 328, 10. [Google Scholar] [CrossRef]
- Geng, K.Q.; Chai, J.R.; Qin, Y.; Li, X.; Duan, M.; Liang, D. Exploring the brittleness and fractal characteristics of basalt fiber reinforced concrete under impact load based on the principle of energy dissipation. Mater. Struct. 2022, 55, 16. [Google Scholar] [CrossRef]
- Dong, Z.; Yao, Z.; Dasari, A.; Tan, K.H.; Weng, Y. Effect of spatial distribution of polymer fibers on preventing spalling of UHPC at high temperatures. Cem. Concr. Res. 2020, 140, 106281. [Google Scholar]
- Fu, Q.; Niu, D.T.; Zhang, J.; Huang, D.; Wang, Y.; Hong, M.; Zhang, L. Dynamic compressive mechanical behaviour and modelling of basalt-polypropylene fibre-reinforced concrete. Arch. Civ. Mech. Eng. 2018, 18, 914–927. [Google Scholar] [CrossRef]
- Wu, Z.M.; Shi, C.J.; He, W.; Wang, D. Static and dynamic compressive properties of ultra-high performance concrete (UHPC) with hybrid steel fiber reinforcements. Cem. Concr. Compos. 2017, 79, 148–157. [Google Scholar] [CrossRef]
- Qin, Z.C.; Zheng, D.; Li, X.X.; Wang, H.C. Influence of Inertia on the Dynamic Compressive Strength of Concrete. Materials 2022, 15, 7278. [Google Scholar] [CrossRef] [PubMed]
- Sun, B.; Chen, R.; Ping, Y.; Zhu, Z.D.; Wu, N.; Shi, Z.Y. Research on Dynamic Strength and Inertia Effect of Concrete Materials Based on Large-Diameter Split Hopkinson Pressure Bar Test. Materials 2022, 15, 2995. [Google Scholar] [CrossRef] [PubMed]
- Chen, M.; Chen, W.; Zhong, H.; Chi, D.; Wang, Y.; Zhang, M. Experimental study on dynamic compressive behaviour of recycled tyre polymer fibre reinforced concrete. Cem. Concr. Compos. 2019, 98, 95–112. [Google Scholar] [CrossRef]
- Müller, H.S.; Anders, I.; Breiner, R.; Vogel, M. Concrete: Treatment of types and properties in fib Model Code 2010. Struct. Concr. 2013, 14, 320–334. [Google Scholar] [CrossRef]
- Tedesco, J.W.; Ross, C.A. Strain-rate-dependent constitutive equations for concrete. J. Press. Vessel. Technol. Trans. Asme 1998, 120, 398–405. [Google Scholar] [CrossRef]
- Li, Q.M.; Meng, H. About the dynamic strength enhancement of concrete-like materials in a split Hopkinson pressure bar test. Int. J. Solids Struct. 2003, 40, 343–360. [Google Scholar] [CrossRef]
- Zhou, X.; Hao, H. Modelling of compressive behaviour of concrete-like materials at high strain rate. Int. J. Solids Struct. 2008, 45, 4648–4661. [Google Scholar] [CrossRef]
- Cotsovos, D.M.; Pavlovic, M.N. Numerical investigation of concrete subjected to compressive impact loading. Part 1: A fundamental explanation for the apparent strength gain at high loading rates. Comput. Struct. 2008, 86, 145–163. [Google Scholar] [CrossRef]
- Fu, Q.; Niu, D.T.; Zhang, J.; Huang, D.; Hong, M. Impact response of concrete reinforced with hybrid basalt-polypropylene fibers. Powder Technol. 2018, 326, 411–424. [Google Scholar] [CrossRef]
- Xia, W.; Xu, J.Y.; Nie, X.L.; Wang, Z.H.; Huang, Z.; Yao, A. Dynamic compressive mechanical properties of carbon nanofibers reinforced concrete under impact loading. Mater. Rep. 2021, 35, 22063–22071. (In Chinese) [Google Scholar]
- Ren, G.M.; Wu, H.; Fang, Q.; Liu, J.Z. Effects of steel fiber content and type on dynamic compressive mechanical properties of UHPCC. Constr. Build. Mater. 2018, 164, 29–43. [Google Scholar] [CrossRef]
- Javanbakht, M. High pressure phase evolution under hydrostatic pressure in a single imperfect crystal due to nanovoids. Materialia 2021, 20, 101199. [Google Scholar] [CrossRef]
- Roy, A.M. Influence of Interfacial Stress on Microstructural Evolution in NiAl Alloys. J. Exp. Theor. Phys. Lett. 2020, 112, 173–179. [Google Scholar] [CrossRef]
- Al-Salloum, Y.; Almusallam, T.; Ibrahim, S.M.; Abbas, H.; Alsayed, S. Rate dependent behavior and modeling of concrete based on SHPB experiments. Cem. Concr. Compos. 2015, 55, 34–44. [Google Scholar] [CrossRef]
- Du, W.P.; Yang, C.Q.; De Backer, H.; Li, C.; Ming, K.; Zhang, H.L.; Pan, Y. Investigation on Dynamic Mechanical Properties of Recycled Concrete Aggregate under Split-Hopkinson Pressure Bar Impact Test. Buildings 2022, 12, 1055. [Google Scholar] [CrossRef]
- Chen, M.; Ren, C.H.; Liu, Y.B.; Yang, Y.; Wang, E.; Liang, X. Effects of Polypropylene Fibre and Strain Rate on Dynamic Compressive Behaviour of Concrete. Materials 2019, 12, 1797. [Google Scholar] [CrossRef]
- Hou, X.M.; Cao, S.J.; Rong, Q.; Zheng, W.; Li, G. Effects of steel fiber and strain rate on the dynamic compressive stress-strain relationship in reactive powder concrete. Constr. Build. Mater. 2018, 170, 570–581. [Google Scholar] [CrossRef]
- Zhou, J.K.; Chen, X.D. Stress-Strain Behavior and Statistical Continuous Damage Model of Cement Mortar under High Strain Rates. J. Mater. Civ. Eng. 2013, 25, 120–130. [Google Scholar] [CrossRef]
- Zhang, H.; Wang, L.; Zheng, K.; Jibrin, T.; Bakura, T.J.; Totakhil, P.G. Research on compressive impact dynamic behavior and constitutive model of polypropylene fiber reinforced concrete. Constr. Build. Mater. 2018, 187, 584–595. [Google Scholar] [CrossRef]
- Li, N.; Jin, Z.; Long, G.; Chen, L.; Fu, Q.; Yu, Y.; Zhang, X.; Xiong, C. Impact resistance of steel fiber-reinforced self-compacting concrete (SCC) at high strain rates. J. Build. Eng. 2021, 38, 102212. [Google Scholar] [CrossRef]
- Chen, J.Y.; Wang, L.L. Rate-dependent constitutive eqution of cement motar. J. Ninbo Univ. 2000, 2, 1–5. (In Chinese) [Google Scholar]
- Khosravani, M.R.; Weinberg, K. A review on split Hopkinson bar experiments on the dynamic characterisation of concrete. Constr. Build. Mater. 2018, 190, 1264–1283. [Google Scholar] [CrossRef]
- Yao, A.; Xu, J.Y.; Xia, W.; Huang, H.; Ning, Y.P. Study on Impact Compression Performance and Constitutive Model of Aluminum Oxide Fiber-Reinforced Concrete. Appl. Sci. 2022, 12, 4909. [Google Scholar] [CrossRef]
- Wang, L.L. Foundation of Stress Waves; National Defense Industry Press: Beijing, China, 2005. (In Chinese) [Google Scholar]
- Zhang, H.; Liu, Y.; Sun, H.; Wu, H. Transient dynamic behavior of polypropylene fiber reinforced mortar under compressive impact loading. Constr. Build. Mater. 2016, 111, 30–42. [Google Scholar] [CrossRef]
- Jia, B.; Tao, J.L.; Wang, R.H.; Yang, F. On the dynamic mechanical properties and dynimic constitutive equation of concrete at high temperature. J. Exp. Mech. 2013, 28, 723–731. (In Chinese) [Google Scholar]
- Weibull, W. A statistical distribution function of wide applicability. J. Appl. Mech. 1951, 18, 293–297. [Google Scholar] [CrossRef]
- Wang, W.; Zhang, Z.H.; Huo, Q.; Song, X.D.; Yang, J.C.; Wang, X.F.; Wang, J.H.; Wang, X. Dynamic Compressive Mechanical Properties of UR50 Ultra-Early-Strength Cement-Based Concrete Material under High Strain Rate on SHPB Test. Materials 2022, 15, 6154. [Google Scholar] [CrossRef]
















| Specific Surface Area (m2/kg) | Specific Gravity | Setting Time (min) | Flexural Strength (MPa) | Compressive Strength (MPa) | |||
|---|---|---|---|---|---|---|---|
| Initial | Final | 3d | 28d | 3d | 28d | ||
| 348 | 3.1 | 250 | 310 | 5.5 | — | 27.0 | — |
| Density (kg/m3) | Fineness (%) | Ignition Loss (%) | Water Content (%) |
|---|---|---|---|
| 2300 | 8.40 | 3.50 | 0.3 |
| Water Content (%) | Density (kg/m3) | Ignition Loss (%) | Activity Index (%) | Specific Surface Area (m2/kg) | Mobility Ratio (%) | |
|---|---|---|---|---|---|---|
| 7d | 28d | |||||
| 0.40 | 2900 | 0.23 | 80 | 97 | 418 | 98 |
| Index | Diameter (mm) | Density (g/cm3) | Strength (MPa) | Elongation Rate (%) | Modulus (GPa) |
|---|---|---|---|---|---|
| Parameter | 0.2 | 1.41 | 1000 | 15 | 8.5 |
| NO. | W/B | POM Fiber Length (mm) | Dosage by Volume Fraction (%) | Mix Ratio (kg/m3) | |||||||
|---|---|---|---|---|---|---|---|---|---|---|---|
| Cement | Fly Ash | Slag | Water | Sand | Rough Stone (16–26.5 mm) | Fine Stone (4.75–16 mm) | Water Reducer | ||||
| OPC | 0.37 | - | 0 | 279.76 | 61.31 | 42.16 | 155.97 | 565.87 | 886.53 | 433.84 | 2.11 |
| PFRC-6 | 0.37 | 6 | 0.9 | 279.76 | 61.31 | 42.16 | 155.97 | 565.87 | 886.53 | 433.84 | 2.11 |
| PFRC-8 | 0.37 | 8 | 0.9 | 279.76 | 61.31 | 42.16 | 155.97 | 565.87 | 886.53 | 433.84 | 2.11 |
| PFRC-12 | 0.37 | 12 | 0.9 | 279.76 | 61.31 | 42.16 | 155.97 | 565.87 | 886.53 | 433.84 | 2.11 |
| PFRC-16 | 0.37 | 16 | 0.9 | 279.76 | 61.31 | 42.16 | 155.97 | 565.87 | 886.53 | 433.84 | 2.11 |
| PFRC-24 | 0.37 | 24 | 0.9 | 279.76 | 61.31 | 42.16 | 155.97 | 565.87 | 886.53 | 433.84 | 2.11 |
| Test No. | OPC | PFRC-6 | PFRC-8 | PFRC-12 | PFRC-16 | PFRC-24 |
|---|---|---|---|---|---|---|
| Static compressive strength (MPa) | 54.9 | 54.2 | 56.8 | 53.7 | 51.9 | 45.6 |
| Test No. | (m/s) | DIF | ||||||
|---|---|---|---|---|---|---|---|---|
| OPC | 4.21 | 78.82 | 65.89 | 0.0055 | 0.0118 | 1.20 | 0.19 | 0.47 |
| 6.48 | 110.09 | 73.56 | 0.0064 | 0.0167 | 1.34 | 0.34 | 0.90 | |
| 8.18 | 155.03 | 96.08 | 0.0080 | 0.0401 | 1.75 | 0.49 | 1.83 | |
| PFRC-6 | 4.24 | 80.49 | 65.25 | 0.0060 | 0.0302 | 1.20 | 0.25 | 0.93 |
| 6.45 | 113.99 | 74.23 | 0.0067 | 0.0409 | 1.37 | 0.39 | 1.57 | |
| 8.08 | 142.92 | 97.30 | 0.0086 | 0.0534 | 1.80 | 0.58 | 1.92 | |
| PFRC-8 | 4.27 | 81.71 | 72.77 | 0.0075 | 0.0229 | 1.28 | 0.41 | 0.96 |
| 6.42 | 106.28 | 81.35 | 0.0080 | 0.0441 | 1.43 | 0.52 | 1.72 | |
| 8.04 | 147.35 | 101.27 | 0.0096 | 0.0541 | 1.78 | 0.71 | 2.65 | |
| PFRC-12 | 4.31 | 85.15 | 68.82 | 0.0073 | 0.0387 | 1.28 | 0.33 | 0.95 |
| 6.55 | 115.62 | 77.41 | 0.0082 | 0.0503 | 1.44 | 0.47 | 1.66 | |
| 8.07 | 149.77 | 98.78 | 0.0095 | 0.0548 | 1.84 | 0.70 | 2.42 | |
| PFRC-16 | 4.17 | 76.17 | 62.35 | 0.0065 | 0.0157 | 1.20 | 0.25 | 0.65 |
| 6.41 | 112.28 | 73.05 | 0.0069 | 0.0419 | 1.41 | 0.32 | 1.14 | |
| 8.04 | 138.85 | 89.92 | 0.0089 | 0.0524 | 1.73 | 0.64 | 2.25 | |
| PFRC-24 | 4.14 | 83.69 | 52.54 | 0.0064 | 0.0244 | 1.15 | 0.25 | 0.61 |
| 6.43 | 116.49 | 64.93 | 0.0081 | 0.0484 | 1.42 | 0.36 | 1.26 | |
| 8.14 | 151.91 | 84.16 | 0.0085 | 0.0547 | 1.85 | 0.45 | 1.98 |
| Test No. | |||
|---|---|---|---|
| OPC | 0.71 | 0.92 | |
| PRFC-6 | 0.73 | 0.91 | |
| PRFC-8 | 0.73 | 0.92 | |
| PRFC-12 | 0.72 | 0.94 | |
| PRFC-16 | 0.73 | 0.92 | |
| PRFC-24 | 0.72 | 0.97 | |
| Test No. | (GPa) | (GPa) | ||||||
|---|---|---|---|---|---|---|---|---|
| OPC | 78.82 | 1.79 | 1.59 | 17.98 | 1.40 | 31 | 0 | 0.94 |
| 110.09 | 1.80 | 2.16 | 17.48 | 2.32 | 30 | 0 | 0.96 | |
| 155.03 | 1.92 | 1.90 | 14.55 | 3.11 | 30 | 0 | 0.92 | |
| PFRC-6 | 80.49 | 1.77 | 2.32 | 14.46 | 2.30 | 30 | 10.66 | 0.95 |
| 113.99 | 1.78 | 2.75 | 14.26 | 5.42 | 30 | 12.73 | 0.90 | |
| 142.92 | 2.05 | 1.49 | 10.25 | 6.64 | 28 | 14.87 | 0.92 | |
| PFRC-8 | 81.71 | 1.80 | 1.83 | 17.57 | 5.55 | 33 | 12.64 | 0.91 |
| 106.28 | 1.82 | 2.95 | 13.33 | 7.20 | 30 | 16.40 | 0.98 | |
| 147.35 | 2.00 | 2.38 | 10.45 | 7.30 | 32 | 23.07 | 0.93 | |
| PFRC-12 | 85.15 | 1.78 | 2.07 | 15.69 | 2.81 | 29 | 9.23 | 0.96 |
| 115.62 | 1.82 | 2.55 | 14.09 | 3.65 | 30 | 20.25 | 0.98 | |
| 149.77 | 2.50 | 0.17 | 13.27 | 5.197 | 30 | 23.29 | 0.96 | |
| PFRC-16 | 76.17 | 1.77 | 2.64 | 13.72 | 2.31 | 30 | 5.21 | 0.95 |
| 112.28 | 2.33 | 0.20 | 12.85 | 3.03 | 33 | 14.27 | 0.97 | |
| 138.85 | 2.42 | 0.25 | 12.55 | 5.51 | 29 | 25.99 | 0.93 | |
| PFRC-24 | 83.69 | 1.57 | 3.57 | 15.18 | 3.90 | 30 | 10.75 | 0.92 |
| 116.49 | 1.68 | 4.59 | 11.98 | 4.02 | 30 | 12.54 | 0.93 | |
| 151.91 | 1.68 | 6.58 | 11.44 | 4.10 | 30 | 17.59 | 0.92 |
Publisher’s Note: MDPI stays neutral with regard to jurisdictional claims in published maps and institutional affiliations. |
© 2022 by the authors. Licensee MDPI, Basel, Switzerland. This article is an open access article distributed under the terms and conditions of the Creative Commons Attribution (CC BY) license (https://creativecommons.org/licenses/by/4.0/).
Share and Cite
Guo, L.; Guo, R.; Yan, Y.; Zhang, Y.; Wang, Z.; Mu, Y. Dynamic Compression Mechanical Properties of Polyoxymethylene-Fiber-Reinforced Concrete. Materials 2022, 15, 7784. https://doi.org/10.3390/ma15217784
Guo L, Guo R, Yan Y, Zhang Y, Wang Z, Mu Y. Dynamic Compression Mechanical Properties of Polyoxymethylene-Fiber-Reinforced Concrete. Materials. 2022; 15(21):7784. https://doi.org/10.3390/ma15217784
Chicago/Turabian StyleGuo, Luxin, Rongxin Guo, Yong Yan, Yubo Zhang, Zhenhui Wang, and Yifan Mu. 2022. "Dynamic Compression Mechanical Properties of Polyoxymethylene-Fiber-Reinforced Concrete" Materials 15, no. 21: 7784. https://doi.org/10.3390/ma15217784
APA StyleGuo, L., Guo, R., Yan, Y., Zhang, Y., Wang, Z., & Mu, Y. (2022). Dynamic Compression Mechanical Properties of Polyoxymethylene-Fiber-Reinforced Concrete. Materials, 15(21), 7784. https://doi.org/10.3390/ma15217784

