Feasibility Analysis of Machining Cobalt-Chromium Alloy (Stellite-6) Using TiN Coated Binary Inserts
Abstract
1. Introduction
2. Materials and Methods
3. Results and Discussion
3.1. Surface Roughness
3.2. Analysis of Variance
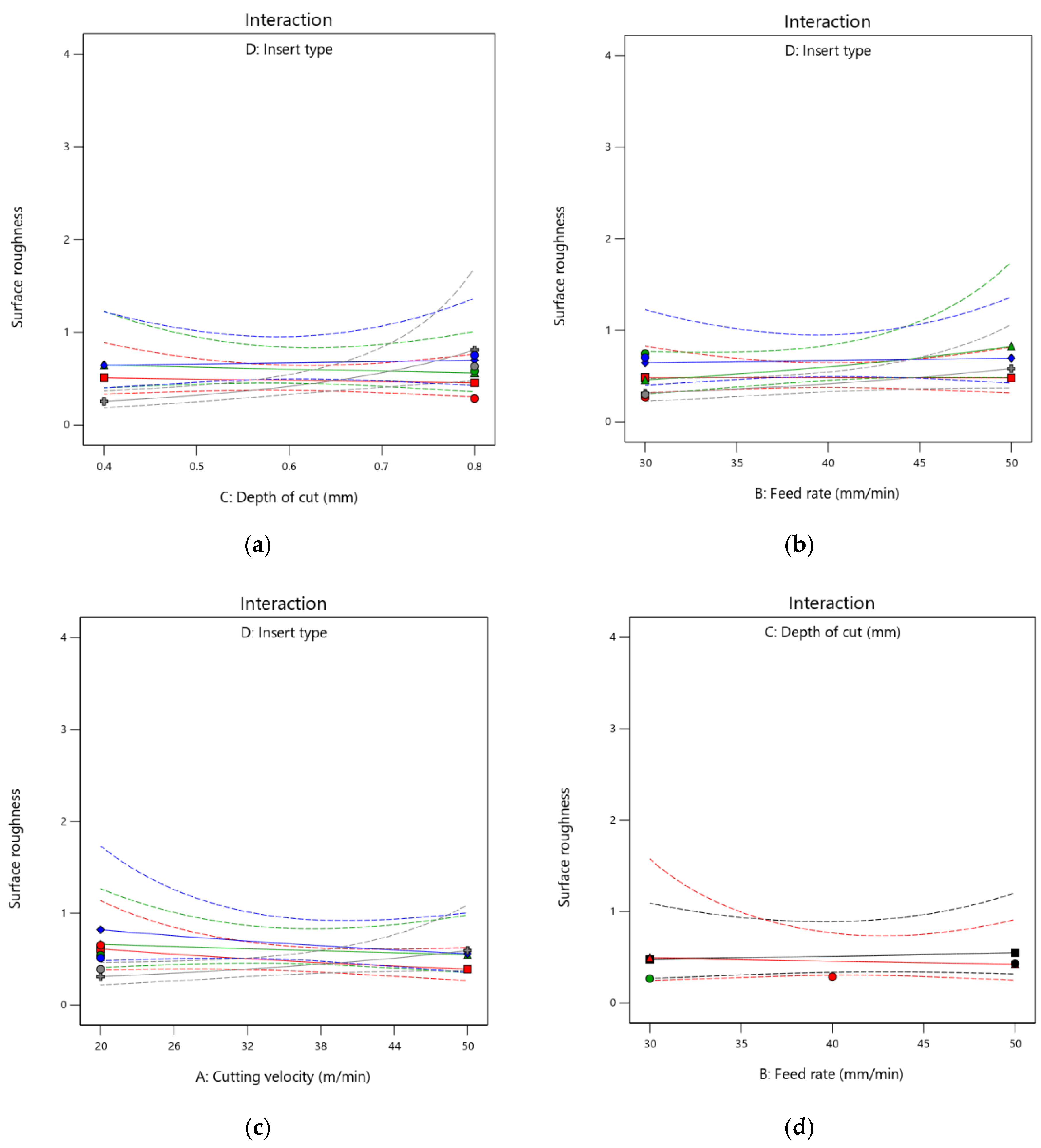
3.3. Statistical Analysis of Surface Roughness
4. Conclusions
- The TiN-coated tool produced lower surface roughness in the case of machined surfaces and did so within the required range for hard end milling (0.8 μm). This was thought to be caused by the TiN-coated material’s high hardness and wear resistance, low coefficient of friction, and high diffusion barrier qualities;
- The factor that had the greatest impact on surface roughness was the cutting feed. The faster feed rate caused the cutting tool to move across the workpiece too quickly, degrading the surface quality;
- The major experimental work was performed with unconventional machining processes, such as WEDM [36], EDM [37], USM [38], and LBM [37], whereas conventionally it is performed with the turning process [39,40]. In light of the requirements of the industry and the very limited work undertaken with the end milling process, it was chosen for this work. The experimental results showed that, for T1G2, the cutting velocity was 20 m/min, the feed rate was 30 mm/min, and the depth of the cut was 0.4 mm, for which the average surface roughness was 0.1267 µm. The cutting velocity was thought to be the characteristic that had the least impact on surface roughness because the roughness was low at shallower cutting depths with a slower rate;
- It was noted through the analysis of variance (ANOVA) that the depth of the cut and the insert type were the most influential parameters for surface roughness, followed by the cutting feed. The cutting velocity was found to be insignificant in end milling Stellite 6;
- To produce a high surface finish at a faster rate of machining on the Stellite 6 material, a higher cutting speed, higher feed, and higher cutting depth are desired. The best set of parameters for maximal cutting with lower roughness were a cutting velocity of 50 m/min, cutting feed of 50 mm/min, and depth of cut of 0.8 mm, and the best TiN-coated cutting insert was the insert type T1P1, which together produced a surface roughness of 0.327 µm;
- From the collected data, a mathematical model of linear regression for surface roughness was created. In the regression model, the model’s ability to describe the outcomes of all changes was indicated by the R2 value (0.7172), which was close to 1. Thus, the created model can be successfully applied to forecast surface roughness with 95% confidence intervals in the machining of Stellite 6.
Author Contributions
Funding
Conflicts of Interest
References
- Davis, J.R. (Ed.) ASM Specialty Handbook: Nickel, Cobalt, and Their Alloys, 1st ed.; ASM International: Novelty, OH, USA, 2000. [Google Scholar]
- Nunes, R.; Adams, J.H.; Bean, J.C.; Beaudry, B.J.; Berry, D.F. Properties and Selection Nonferrous Alloys and Special-Purpose Materials; ASM HandBook; ASM International: Novelty, OH, USA, 1990; Volume 2. [Google Scholar]
- Nassef, A.; Mohamed, K.E.; Gad, M.M.A.; Nassef, A.E.; Wahab, A.; El-Sayed, A. Localized Corrosion Behaviour of Powder Metallurgy Processed Cobalt-base Alloy Stellite-6 in Chloride Environments. Z. Metallkd. 1999, 90, 1995. [Google Scholar]
- Balazinski, M. Improvement of Tool Life through Variable Feed Milling of Inconel600. Ann. ClRP 1995, 44, 55–58. [Google Scholar] [CrossRef]
- Narutaki, N.; Yamane, Y. High-speed Machining of Inconel718 with Ceramic Tools. Ann. ClRP 1993, 42, 103–106. [Google Scholar] [CrossRef]
- Reed, R.C. The Superalloys as High-Temperature Materials. In The Superalloys; Cambridge University Press: Cambridge, UK, 2006. [Google Scholar]
- Hasan, S.; Mazid, A.; Clegg, R.E. The Basics of Stellites in Machining Perspective the Basics of Stellites in Machining Perspective. Int. J. Eng. Mater. Manuf. 2016, 1, 35–50. [Google Scholar]
- Hoesel, D.; Wertheim, R.; Haenel, T.; Thurner, S. Milling of cast material and pta-hard-facing layers of the cobalt-base-alloy stellite 12. In Annals of DAAAM for 2011 & Proceedings of the 22nd International DAAAM Symposium; DAAAM International: Vienna, Austria, 2011; Volume 22, pp. 949–950. [Google Scholar]
- Bagci, E.; Aykut, Ş. A study of Taguchi optimization method for identifying optimum surface roughness in CNC face milling of cobalt-based alloy (stellite 6). Int. J. Adv. Manuf. Technol. 2006, 29, 940–947. [Google Scholar] [CrossRef]
- Shao, H.; Li, L.; Liu, L.J.; Zhang, S.Z. Study on machinability of a stellite alloy with uncoated and coated carbide tools in turning. J. Manuf. Process. 2013, 15, 673–681. [Google Scholar] [CrossRef]
- Kapoor, S. High-Temperature Hardness and Wear Resistance of Stellite Alloys. In World Academy of Science, Engineering and Technology; Carleton University: Ottawa, ON, USA, 2012; Volume 6. [Google Scholar]
- El-Bestawi, M.A.; El-Wardany, T.I.; Yan, D.; Tan, M. Performance of Whisker-Reinforced Ceramic Tools in Milling Nickel-Based Superalloy. CIRP Ann.—Manuf. Technol. 1993, 42, 99–102. [Google Scholar] [CrossRef]
- Krain, H.R.; Sharman, A.R.C.; Ridgway, K. Optimisation of tool life and productivity when end milling Inconel 718TM. J. Mater. Process. Technol. 2007, 189, 153–161. [Google Scholar] [CrossRef]
- Ezugwu, E.O.; Wang, Z.M.; Okeke, C.I. Tool life and surface integrity when machining inconel 718 with pvd- and cvd-coated tools. Tribol. Trans. 1999, 42, 353–360. [Google Scholar] [CrossRef]
- Aramcharoen, A.; Mativenga, P.T.; Yang, S.; Cooke, K.E.; Teer, D.G. Evaluation and selection of hard coatings for micro milling of hardened tool steel. Int. J. Mach. Tools Manuf. 2008, 48, 1578–1584. [Google Scholar] [CrossRef]
- Kelly, P.J.; Arnell, R.D. Magnetron sputtering: A review of recent developments and applications. Vaccum 2000, 56, 159–172. [Google Scholar] [CrossRef]
- Subramanyam, T.K.; Rao, G.M.; Uthanna, S. Process parameter dependent property studies on CdO films prepared by DC reactive magnetron sputtering. Mater. Chem. Phys. 2001, 69, 133–142. [Google Scholar] [CrossRef]
- Weise, G.; Teresiak, A.; Bächer, I.; Markschl, P.; Kampschulte, G. Influence of magnetron sputtering process parameters on wear properties of steel/Cr3Si or Cr/MoSx. Surf. Coat. Technol. 1995, 77, 382–392. [Google Scholar] [CrossRef]
- Sik, Y.; Yoon, J.; Wook, D.; Young, D. Influence of DC magnetron sputtering parameters on the properties of amorphous indium zinc oxide thin film. Thin Solid Films 2003, 445, 63–71. [Google Scholar]
- Pethe, S.A.; Takahashi, E.; Kaul, A.; Dhere, N.G. Effect of sputtering process parameters on film properties of molybdenum back contact. Solar Energy Mater. Solar Cells 2012, 100, 1–5. [Google Scholar] [CrossRef]
- Juliet, P.; Koski, K.; Ho, J. Properties of aluminium oxide thin films deposited by reactive magnetron sputtering. Thin Solid Films 1999, 339, 240–248. [Google Scholar]
- Hood, R.; Aspinwall, D.K.; Sage, C.; Voice, W. High speed ball nose end milling of γ-TiAl alloys. Intermetallics 2013, 32, 284–291. [Google Scholar] [CrossRef]
- Kilickap, E.; Yardimeden, A.; Çelik, Y.H. Mathematical modelling and optimization of cutting force, tool wear and surface roughness by using artificial neural network and response surface methodology in milling of Ti-6242S. Appl. Sci. 2017, 7, 1064. [Google Scholar] [CrossRef]
- Safari, H.; Sharif, S.; Izman, S.; Jafari, H. Surface integrity characterization in high-speed dry end milling of Ti-6Al-4V titanium alloy. Int. J. Adv. Manuf. Technol. 2015, 78, 651–657. [Google Scholar] [CrossRef]
- Sun, J.; Guo, Y.B. A comprehensive experimental study on surface integrity by end milling Ti-6Al-4V. J. Mater. Process. Technol. 2009, 209, 4036–4042. [Google Scholar] [CrossRef]
- Yang, X.; Ren, C.; Wang, Y.; Chen, G. Experimental Study on Surface Integrity of Ti-6Al-4V in High Speed Side Milling. Trans. Tianjin Univ. 2012, 18, 206–212. [Google Scholar] [CrossRef]
- Pilehrood, A.E.; Mashhuriazar, A.; Baghdadi, A.H.; Sajuri, Z.; Omidvar, H. Effect of laser metal deposition parameters on the characteristics of stellite 6 deposited layers on precipitation-hardened stainless steel. Materials 2021, 14, 5662. [Google Scholar] [CrossRef] [PubMed]
- Chen, W.; Liu, B.; Chen, L.; Xu, J.; Zhu, Y. Effect of laser cladding stellite 6-cr3c2-ws2 self-lubricating composite coating on wear resistance and microstructure of H13. Metals 2020, 10, 785. [Google Scholar] [CrossRef]
- Li, Z.; Cui, Y.; Wang, J.; Liu, C.; Wang, J.; Xu, T.; Lu, T.; Zhang, H.; Lu, J.; Ma, S.; et al. Characterization of microstructure and mechanical properties of stellite 6 part fabricated by wire arc additive manufacturing. Metals 2019, 9, 474. [Google Scholar] [CrossRef]
- Aggarwal, A.; Singh, H.; Kumar, P.; Singh, M. Optimizing power consumption for CNC turned parts using response surface methodology and Taguchi’s technique-A comparative analysis. J. Mater. Process. Technol. 2008, 200, 373–384. [Google Scholar] [CrossRef]
- Sahoo, A.K.; Pradhan, S.; Rout, A.K. Development and machinability assessment in turning Al/SiCp-metal matrix composite with multilayer coated carbide insert using Taguchi and statistical techniques. Arch. Civ. Mech. Eng. 2013, 13, 27–35. [Google Scholar] [CrossRef]
- Kumar Sahoo, A.; Mohanty, T. Optimization of multiple performance characteristics in turning using Taguchi’s quality loss function: An experimental investigation. Int. J. Ind. Eng. Comput. 2013, 4, 325–336. [Google Scholar]
- Valíček, J.; Řehoř, J.; Harničárová, M.; Gombár, M.; Kušnerová, M.; Fulemová, J.; Vagaská, A. Investigation of surface roughness and predictive modelling of machining Stellite 6. Materials 2019, 12, 2551. [Google Scholar] [CrossRef]
- Smolina, I.; Kobiela, K. Characterization of wear and corrosion resistance of stellite 6 laser surfaced alloyed (Lsa) with rhenium. Coatings 2021, 11, 292. [Google Scholar] [CrossRef]
- Deloro Stellite Technical Data Catalogue. Available online: https://specialmetals.ir/images/technical_info/cobalt_base/Stellite_6.pdf (accessed on 5 June 2018).
- Karthik, S.R.; Londe, N.V.; Shetty, R.; Nayak, R.; Hedge, A. Optimization and prediction of hardness, wear and surface roughness on age hardened stellite 6 alloys. Manuf. Rev. 2022, 9, 1–14. [Google Scholar] [CrossRef]
- Jasmin, N.M.; Reddy, Y.A.; Kuttan, A.A.; Nikhil, A.; Suresh, J.V.; Reddy, S.S.; Subbiah, R. Experimental investigation of Machining of stellite alloy. Mater. Today Proc. 2022, 66, 665–669. [Google Scholar] [CrossRef]
- Kumar, V.; Khamba, J.S. Parametric optimization of ultrasonic machining of co-based super alloy using the Taguchi multi-objective approach. Prod. Eng. 2009, 3, 417–425. [Google Scholar] [CrossRef]
- Saidi, R.; Fathallah, B.B.; Mabrouki, T.; Belhadi, S.; Yallese, M.A. Modeling and optimization of the turning parameters of cobalt alloy (Stellite 6) based on RSM and desirability function. Int. J. Adv. Manuf. Technol. 2019, 100, 2945–2968. [Google Scholar] [CrossRef]
- Fathallah, B.B.; Saidi, R.; Belhadi, S.; Yallese, M.A.; Mabrouki, T. Modelling of cutting forces and surface roughness evolutions during straight turning of Stellite 6 material based on response surface methodology, artificial neural networks and support vector machine approaches. J. Mech. Eng. Sci. 2021, 15, 8540–8554. [Google Scholar] [CrossRef]










| Element | C | Si | Mn | P | S | Cr | Mo | Ni | Fe | W | Co |
|---|---|---|---|---|---|---|---|---|---|---|---|
| Weight (%) | 1.37 | 1.33 | 0.24 | 0.015 | 0.004 | 28.63 | 0.44 | 2.35 | 2.64 | 4.69 | Bal. |
| Property | Value |
|---|---|
| Hardness, HRC | ~45 |
| Yield Strength, MPa | 700 |
| Ultimate Tensile Strength, MPa | 896 |
| Elongation, % | <1 |
| Thermal Expansion Coefficient (20–500 °C), µm/m K | 11.4–14.2 |
| Density, gm/ cm3 | 8.44 |
| Melting Range, °C | 1285–1410 |
| Elastic Modulus, GPa | 209 |
| Parameters | Levels | |||
|---|---|---|---|---|
| Cutting Velocity, m/min | 20 | 35 | 50 | |
| Cutting Feed, mm/min | 30 | 40 | 50 | |
| Axial Depth of Cut, mm | 0.4 | 0.6 | 0.8 | |
| Cutting Fluid | Dry | |||
| Down Milling | ||||
| Length of Machining, mm | 50 | |||
| Insert Type | T1P1 | T1P2 | T1G1 | T1G2 |
| Substrate | Tungsten Carbide Tip |
|---|---|
| Target | Titanium |
| Target Distance, mm | 50 |
| Base Pressure of Chamber, Pa | 5 × 10−4 |
| Sputtering Pressure, Pa | 1.5 |
| Substrate Temperature | Unheated |
| Deposition Time, min. | 60 |
| Sputtering Power, W | 250, 300 |
| Nitrogen Flow Rate, SCCM | 8, 12 |
| Argon Flow Rate, SCCM | 12 |
| Input Variables | Response Variable | ||||
|---|---|---|---|---|---|
| Run No. | Insert Type | Cutting Velocity Vc (m/min) | Feed Rate (mm/min) | Depth of Cut (mm) | Surface Roughness (µm) |
| 1 | T1P1 | 20 | 30 | 0.4 | 0.6879 |
| 2 | T1P1 | 20 | 40 | 0.6 | 0.6526 |
| 3 | T1P1 | 20 | 50 | 0.8 | 0.6163 |
| 4 | T1P1 | 35 | 30 | 0.6 | 0.2661 |
| 5 | T1P1 | 35 | 40 | 0.8 | 0.2855 |
| 6 | T1P1 | 35 | 50 | 0.4 | 0.4315 |
| 7 | T1P1 | 50 | 30 | 0.8 | 0.4526 |
| 8 | T1P1 | 50 | 40 | 0.4 | 0.4495 |
| 9 | T1P1 | 50 | 50 | 0.6 | 0.4356 |
| 10 | T1P2 | 20 | 30 | 0.4 | 0.3562 |
| 11 | T1P2 | 20 | 40 | 0.6 | 0.5431 |
| 12 | T1P2 | 20 | 50 | 0.8 | 0.7970 |
| 13 | T1P2 | 35 | 30 | 0.6 | 0.7469 |
| 14 | T1P2 | 35 | 40 | 0.8 | 0.5818 |
| 15 | T1P2 | 35 | 50 | 0.4 | 0.6102 |
| 16 | T1P2 | 50 | 30 | 0.8 | 0.2269 |
| 17 | T1P2 | 50 | 40 | 0.4 | 0.7784 |
| 18 | T1P2 | 50 | 50 | 0.6 | 0.8091 |
| 19 | T1G1 | 20 | 30 | 0.4 | 0.6415 |
| 20 | T1G1 | 20 | 40 | 0.6 | 0.5134 |
| 21 | T1G1 | 20 | 50 | 0.8 | 0.7815 |
| 22 | T1G1 | 35 | 30 | 0.6 | 0.7047 |
| 23 | T1G1 | 35 | 40 | 0.8 | 0.7529 |
| 24 | T1G1 | 35 | 50 | 0.4 | 0.6441 |
| 25 | T1G1 | 50 | 30 | 0.8 | 0.3667 |
| 26 | T1G1 | 50 | 40 | 0.4 | 0.5116 |
| 27 | T1G1 | 50 | 50 | 0.6 | 0.6472 |
| 28 | T1G2 | 20 | 30 | 0.4 | 0.1267 |
| 29 | T1G2 | 20 | 40 | 0.6 | 0.3895 |
| 30 | T1G2 | 20 | 50 | 0.8 | 0.5535 |
| 31 | T1G2 | 35 | 30 | 0.6 | 0.2984 |
| 32 | T1G2 | 35 | 40 | 0.8 | 0.6345 |
| 33 | T1G2 | 35 | 50 | 0.4 | 0.444 |
| 34 | T1G2 | 50 | 30 | 0.8 | 0.7554 |
| 35 | T1G2 | 50 | 40 | 0.4 | 0.3169 |
| 36 | T1G2 | 50 | 50 | 0.6 | 0.6654 |
| Source | Sum of Squares | df | Mean Square | F-Value | p-Value |
|---|---|---|---|---|---|
| Model | 3.04 | 18 | 0.1691 | 2.39 | 0.0391 |
| A—Cutting Velocity | 0.0031 | 1 | 0.0031 | 0.0435 | 0.8373 |
| B—Feed Rate | 0.2500 | 1 | 0.2500 | 3.54 | 0.0771 |
| C—Depth of Cut | 0.0490 | 1 | 0.0490 | 0.6934 | 0.4166 |
| D—Insert Type | 0.5447 | 3 | 0.1816 | 2.57 | 0.0882 |
| AB | 0.0167 | 1 | 0.0167 | 0.2366 | 0.6329 |
| AC | 0.0601 | 1 | 0.0601 | 0.8509 | 0.3692 |
| AD | 0.5787 | 3 | 0.1929 | 2.73 | 0.0760 |
| BC | 0.0119 | 1 | 0.0119 | 0.1689 | 0.6862 |
| BD | 0.2394 | 3 | 0.0798 | 1.13 | 0.3648 |
| CD | 0.8844 | 3 | 0.2948 | 4.18 | 0.0219 |
| Residual | 1.20 | 17 | 0.0706 | ||
| Cor Total | 4.24 | 35 |
Publisher’s Note: MDPI stays neutral with regard to jurisdictional claims in published maps and institutional affiliations. |
© 2022 by the authors. Licensee MDPI, Basel, Switzerland. This article is an open access article distributed under the terms and conditions of the Creative Commons Attribution (CC BY) license (https://creativecommons.org/licenses/by/4.0/).
Share and Cite
Shah, S.; Joshi, A.; Chauhan, K.; Oza, A.; Prakash, C.; Campilho, R.D.S.G.; Kumar, S. Feasibility Analysis of Machining Cobalt-Chromium Alloy (Stellite-6) Using TiN Coated Binary Inserts. Materials 2022, 15, 7294. https://doi.org/10.3390/ma15207294
Shah S, Joshi A, Chauhan K, Oza A, Prakash C, Campilho RDSG, Kumar S. Feasibility Analysis of Machining Cobalt-Chromium Alloy (Stellite-6) Using TiN Coated Binary Inserts. Materials. 2022; 15(20):7294. https://doi.org/10.3390/ma15207294
Chicago/Turabian StyleShah, Saurabh, Anand Joshi, Kamlesh Chauhan, Ankit Oza, Chander Prakash, Raul Duarte Salgueiral Gomes Campilho, and Sandeep Kumar. 2022. "Feasibility Analysis of Machining Cobalt-Chromium Alloy (Stellite-6) Using TiN Coated Binary Inserts" Materials 15, no. 20: 7294. https://doi.org/10.3390/ma15207294
APA StyleShah, S., Joshi, A., Chauhan, K., Oza, A., Prakash, C., Campilho, R. D. S. G., & Kumar, S. (2022). Feasibility Analysis of Machining Cobalt-Chromium Alloy (Stellite-6) Using TiN Coated Binary Inserts. Materials, 15(20), 7294. https://doi.org/10.3390/ma15207294

