Design of Environmentally Friendly Ca-Alginate Beads for Self-Healing Cement-Based Materials
Abstract
:1. Introduction
2. Materials and Methods
2.1. Materials
2.1.1. Cement
2.1.2. Alginate
2.1.3. Chemicals
2.2. The Preparation Method of Ca-Alginate Beads
2.2.1. Preparation Mechanism and Steps of Ca-Alginate Beads with a Higher Concentration of Sodium Alginate
- (1)
- Wetting the wall of the container with concentrated hydrochloric acid with a pH value of less than 0.01, and then adding 50 mL of the concentrated hydrochloric acid to the container;
- (2)
- Turning on the magnetic stirrer and adding 50 g of sodium alginate powder to the acid while stirring slowly, so that the sodium alginate powders were protonated and dispersed better. The ion changes are shown in Figure 2b,c;
- (3)
- Adding 50 g calcium chloride powder and stirring evenly, then adding deionized water to ensure the total volume of the solution in the reaction container was 2.25 L and the concentration of calcium chloride was 0.2 mol/L. The ion changes are shown in Figure 2d–f;
- (4)
- Adjusting the pH value of the solution to about 7 with sodium hydroxide and stirring for 24 h to fully react the molecular chain of sodium alginate and calcium ions to form chelate bonds and ionic bonds. The ion changes are shown in Figure 2f,g;
- (5)
- Washing and filtering the prepared ca-alginate beads with deionized water at least three times to remove excess ions;
- (6)
- Putting the washed ca-alginate beads into a drying oven at 40 °C until the mass was constant. The dried ca-alginate beads (PCA) were obtained.
2.2.2. Preparation Method of Ca-Alginate Beads with a Lower Concentration of Sodium Alginate
2.3. Methods
2.3.1. Molecular Structures
2.3.2. Morphology and Size
2.3.3. Pore Structure
2.3.4. Swelling Kinetic Experiment
2.3.5. Statistical Analysis
3. Results and Discussion
3.1. Morphology and Size
3.2. Molecular Structure
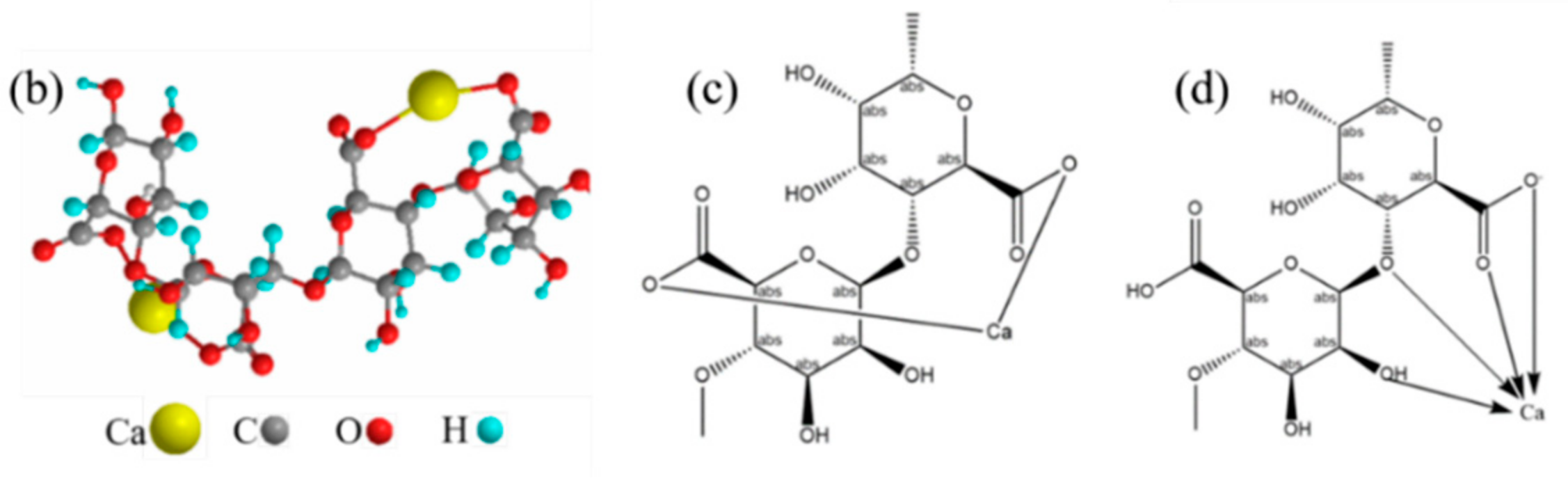
3.2.1. Molecular Structure of the Surface of Ca-Alginate Beads
3.2.2. The Molecular Structure of Ca-Alginate Beads
3.3. Pore Structure
3.4. Swelling Kinetic in Cement Filtrate and the Healing Environment
3.4.1. Swelling Kinetic in Cement Filtrate
3.4.2. Swelling Kinetic in the Healing Environment
4. Conclusions
- The preparation mechanism and the preparation steps of ca-alginate beads with low adsorption to calcium ions are designed based on the protonation theory. The sodium alginate powder is directly protonated and dispersed in an acid solution, where it reacts with calcium salt solution with a pH value of 7 to form ca-alginate beads in the proposed method;
- The chelating bonds and ionic bonds have been formed in the ca-alginate beads prepared by the proposed method. The ca-alginate beads prepared by the proposed method have higher molecular density, less chelate bond content, a rougher surface, and smaller pore size than the ca-alginate beads prepared by the dropwise addition method. Furthermore, the size prepared by the proposed method is reduced by 197.74 μm;
- The adsorption to calcium ions of the ca-alginate beads prepared by the proposed method in the cement filtrate is reduced. The diffusion coefficient of water is also reduced. However, the equilibrium swelling rate is increased due to the increased molecular content and reduced chelation, which can satisfy the need for the internal curing of cement-based materials;
- The equilibrium swelling rate of the ca-alginate beads prepared by dropwise addition method in the healing environment is reduced by 21.9% compared with that in deionized water due to the adsorption of calcium ions. Compared with ca-alginate beads prepared by dropwise addition method, the equilibrium swelling rate of ca-alginate beads prepared by the proposed method in the healing environment does not significantly decrease compared with that in deionized water. In addition, the equilibrium swelling rate can be quickly reached due to its large specific surface area, which is more conducive to the rapid closure of cracks of cement-based materials.
Author Contributions
Funding
Institutional Review Board Statement
Informed Consent Statement
Conflicts of Interest
References
- Álvarez-Pinazo, G.; Cuesta, A.; García-Maté, M.; Santacruz, I.; Losilla, E.R.; De la Torre, A.G.; Aranda, M.A.G. Rietveld quantitative phase analysis of Yeelimite-containing cements. Cem. Concr. Res. 2012, 42, 960–971. [Google Scholar] [CrossRef]
- Qin, L.; Gao, X.; Su, A.; Li, Q. Effect of carbonation curing on sulfate resistance of cement-coal gangue paste. J. Clean. Prod. 2021, 278, 123897. [Google Scholar] [CrossRef]
- Wang, J.Y.; De Belie, N.; Verstraete, W. Diatomaceous earth as a protective vehicle for bacteria applied for self-healing concrete. J. Ind. Microbiol. Biotechnol. 2012, 39, 567–577. [Google Scholar] [CrossRef] [PubMed]
- Chen, Y.; Gao, J.; Tang, L.; Li, X. Resistance of concrete against combined attack of chloride and sulfate under drying–wetting cycles. Constr. Build. Mater. 2016, 106, 650–658. [Google Scholar] [CrossRef]
- Yang, Y.; Lepech, M.D.; Yang, E.; Li, V.C. Autogenous healing of engineered cementitious composites under wet–dry cycles. Cem. Concr. Res. 2009, 39, 382–390. [Google Scholar] [CrossRef]
- Lee, H.X.D.; Wong, H.; Buenfeld, N.R. Self-sealing of cracks in concrete using superabsorbent polymers. Cem. Concr. Res. 2016, 79, 194–208. [Google Scholar] [CrossRef]
- Snoeck, D.; Schaubroeck, D.; Dubruel, P.; De Belie, D. Effect of high amounts of superabsorbent polymers and additional water on the workability, microstructure and strength of mortars with a water-to-cement ratio of 0.50. Constr. Build. Mater. 2014, 72, 148–157. [Google Scholar] [CrossRef]
- Jensen, O.M.; Hansen, P.F. Water-entrained cement-based materials: I. Principles and theoretical background. Cem. Concr. Res. 2001, 31, 647–654. [Google Scholar] [CrossRef]
- Jensen, O.M.; Hansen, P.F. Water-entrained cement-based materials: II. Experimental observations. Cem. Concr. Res. 2002, 32, 973–978. [Google Scholar] [CrossRef]
- Justs, J.; Wyrzykowski, M.; Bajare, D.; Lura, P. Internal curing by superabsorbent polymers in ultra-high performance concrete. Cem. Concr. Res. 2015, 76, 82–90. [Google Scholar] [CrossRef]
- Mignon, A.; Snoeck, D.; D’Halluin, K.; Balcaen, L.; Vanhaecke, F.; Dubruel, P.; Van Vlierberghe, S.; De Belie, N. Alginate biopolymers: Counteracting the impact of superabsorbent polymers on mortar strength. Constr. Build. Mater. 2016, 110, 169–174. [Google Scholar] [CrossRef]
- Engbert, A.; Gruber, S.; Plank, J. The effect of alginates on the hydration of calcium aluminate cement. Carbohydr. Polym. 2020, 236, 116038. [Google Scholar] [CrossRef] [PubMed]
- Hu, M.; Guo, J.; Du, J.; Liu, Z.; Li, P.; Ren, X.; Feng, Y. Development of Ca2+-based, ion-responsive superabsorbent hydrogel for cement applications: Self-healing and compressive strength. J. Colloid Interface Sci. 2019, 538, 397–403. [Google Scholar] [CrossRef] [PubMed]
- Li, X.; Shen, Q.; Su, Y.; Tian, F.; Zhao, Y.; Wang, D. Structure-function relationship of ca-alginate hydrogels: A novel crystal-forming engineering. Cryst. Growth Des. 2009, 9, 3470–3476. [Google Scholar] [CrossRef]
- Ma, Y.; Feng, Q. Alginate hydrogel-mediated crystallization of calcium carbonate. J. Solid State Chem. 2011, 184, 1008–1015. [Google Scholar] [CrossRef]
- Liu, H.; Liu, F.; Ma, Y.; Douglas Goff, H.; Zhong, F. Versatile preparation of spherically and mechanically controllable liquid-core-shell alginate-based bead through interfacial gelation. Carbohydr. Polym. 2020, 236, 115980. [Google Scholar] [CrossRef]
- Stewart, T.J.; Yau, J.H.; Allen, M.M.; Brabander, D.J.; Flynn, N.T. Impacts of ca-alginate density on equilibrium and kinetics of lead (Ⅱ) sorption onto hydrogel beads. Colloid Polym. Sci. 2009, 287, 1033–1040. [Google Scholar] [CrossRef]
- Cao, Y.; Shen, X.; Chen, Y.; Guo, J.; Chen, Q.; Jiang, X. Ph-induced self-assembly and capsules of sodium alginate. Biomacromolecules 2005, 6, 2189. [Google Scholar] [CrossRef]
- Ding, H.; Zhang, L.; Zhang, P. Factors influencing strength of super absorbent polymer (SAP) concrete. Tianjin Univ. 2017, 23, 245–257. [Google Scholar] [CrossRef]
- Chen, J.P.; Hong, L.; Wu, S.; Wang, L. Elucidation of interactions between metal ions and ca alginate-based ion-exchange resin by spectroscopic analysis and modeling simulation. Langmuir 2002, 18, 9413–9421. [Google Scholar] [CrossRef]
- Dambies, L.; Guimon, C.; Yiacoumi, S.; Guibal, E. Characterization of metal ion interactions with chitosan by X-ray photoelectron spectroscopy. Colloids Surf. A 2001, 177, 203–214. [Google Scholar] [CrossRef]
- Figueira, M.M.; Volesky, B.; Mathieu, H.J. Instrumental analysis study of iron species biosorption by sargassum biomass. Environ. Sci. Technol. 1999, 33, 1840–1846. [Google Scholar] [CrossRef]
- Moulder, J.F.; Chastain, J.; King, R.C. Handbook of x-ray photoelectron spectroscopy: A reference book of standard spectra for identification and interpretation of XPS data. Chem. Phys. Lett. 1992, 220, 7–10. [Google Scholar] [CrossRef]
- Snoeck, D.; Schroefl, C.; Mechtcherine, V. Recommendation of RILEM TC 260-RSC: Testing sorption by superabsorbent polymers (SAP) prior to implementation in cement-based materials. Mater. Struct. 2018, 51, 116. [Google Scholar] [CrossRef]
- Sartori, C.; Finch, D.S.; Ralph, B.; Gilding, K. Determination of the cation content of alginate thin films by FTIR spectroscopy. Polymer 1997, 38, 43–51. [Google Scholar] [CrossRef]
- Brazel, C.S.; Peppas, N.A. Modeling of drug release from Swellable polymers. Eur. J. Pharm. Biopharm. 2000, 49, 47–58. [Google Scholar] [CrossRef]
- Okten, N.S.; Canakci, C.C.; Orakdogen, N. Hertzian elasticity and triggered swelling kinetics of poly (amino ester)-based gel beads with controlled hydrophilicity and functionality: A mild and convenient synthesis via dropwise freezing into cryogenic liquid. Eur. Polym. J. 2019, 114, 176–188. [Google Scholar] [CrossRef]








| PH Value | Phenomenon |
|---|---|
| 0.01 | Good dispersion, no agglomeration |
| 0.6 | Good dispersion, a small amount of agglomeration |
| 1.42 | Poor dispersion, a lot of agglomeration |
| 2.07 | No dispersersion, agglomeration |
| 2.55 | No dispersersion, agglomeration |
| 2.95 | No dispersersion, agglomeration |
| Prepare Method | Maximum Diameter/μm | Minimum Diameter/μm | Average Diameter/μm |
|---|---|---|---|
| PCA | 392.90 | 0.50 | 89.90 ± 4.61 |
| CA | 457.16 | 149.05 | 287.64 ± 6.90 |
| Weq (g/g) | Weq* (g/g) | K0 ((g/g)/min) | R2 | n | k | R2 | D (cm2/s) | R2 | |
|---|---|---|---|---|---|---|---|---|---|
| PCA-cement filtrate | 11.06 | 11.11 | 0.043 | 0.999 | 0.687 | 0.302 | 0.998 | 2.06 × 10−6 | 0.974 |
| PCA-deionized water | 12.61 | 12.5 | 0.023 | 0.999 | 0.663 | 0.290 | 0.997 | 1.7 × 10−6 | 0.979 |
| PCA-healing environment | 12.50 | 12.66 | 0.032 | 0.999 | 0.599 | 0.325 | 0.996 | 1.95 × 10−6 | 0.993 |
| CA-cement filtrate | 3.36 | 3.36 | 0.149 | 0.998 | 0.606 | 0.271 | 0.965 | 1.53 × 10−5 | 0.988 |
| CA-deionized water | 3.98 | 4.00 | 0.098 | 0.999 | 0.682 | 0.248 | 0.992 | 1.63 × 10−5 | 0.971 |
| CA- healing environment | 3.07 | 3.125 | 0.129 | 0.999 | 0.704 | 0.234 | 0.900 | 6.38 × 10−6 | 0.922 |
Publisher’s Note: MDPI stays neutral with regard to jurisdictional claims in published maps and institutional affiliations. |
© 2022 by the authors. Licensee MDPI, Basel, Switzerland. This article is an open access article distributed under the terms and conditions of the Creative Commons Attribution (CC BY) license (https://creativecommons.org/licenses/by/4.0/).
Share and Cite
Zhang, X.; Ding, Y. Design of Environmentally Friendly Ca-Alginate Beads for Self-Healing Cement-Based Materials. Materials 2022, 15, 5844. https://doi.org/10.3390/ma15175844
Zhang X, Ding Y. Design of Environmentally Friendly Ca-Alginate Beads for Self-Healing Cement-Based Materials. Materials. 2022; 15(17):5844. https://doi.org/10.3390/ma15175844
Chicago/Turabian StyleZhang, Xiaohang, and Yonggang Ding. 2022. "Design of Environmentally Friendly Ca-Alginate Beads for Self-Healing Cement-Based Materials" Materials 15, no. 17: 5844. https://doi.org/10.3390/ma15175844
APA StyleZhang, X., & Ding, Y. (2022). Design of Environmentally Friendly Ca-Alginate Beads for Self-Healing Cement-Based Materials. Materials, 15(17), 5844. https://doi.org/10.3390/ma15175844
