Prediction of Mechanical Behaviours of FRP-Confined Circular Concrete Columns Using Artificial Neural Network and Support Vector Regression: Modelling and Performance Evaluation
Abstract
:1. Introduction
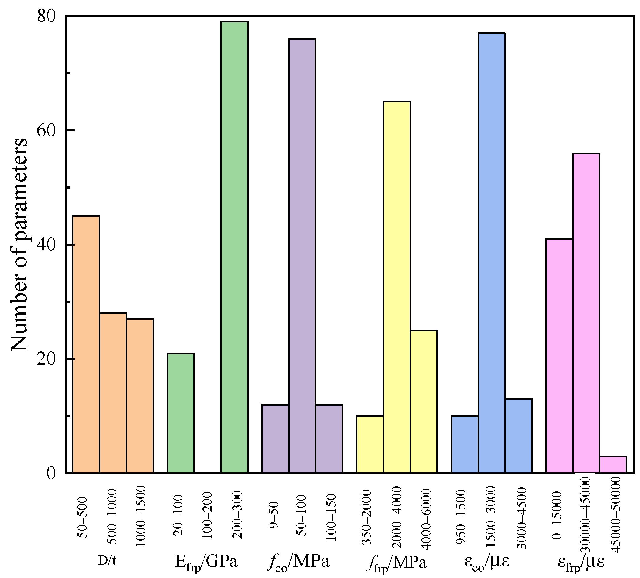
2. Database
3. Predictive Models of the Axial Compressive Mechanical Behaviours of FRP-Confined Circular Concrete Columns
3.1. Evaluation Indices
3.2. Evaluation of Existing Axial Compression Constitutive Models
3.2.1. Existing Axial Compression Constitutive Models
3.2.2. Predictive Results of Existing Axial Compression Constitutive Models
3.3. Evaluation of Predictive Models Based on ANN and SVR
3.3.1. Machine Learning Models
Artificial Neural Networks (ANNs)
Support Vector Regression (SVR)
3.3.2. Predictive Results and Discussion of ANN and SVR
4. Parameter Analysis
5. Conclusions
- (1)
- A database of the axial compressive mechanical behaviours of FRP-confined circular concrete columns was established from the relevant published literature, which included 298 datasets. The effects of D/t, fco, εco, ffrp, Efrp, and εfrp on the axial mechanical behaviours of FRP-confined circular concrete columns were considered.
- (2)
- Comparing and analysing the existing axial compressive constitutive model of FRP-confined circular concrete columns, the Lam model [21] exhibited the highest predictive accuracy for the compressive strength of FRP-confined circular concrete columns.
- (3)
- Comparing and analysing the existing axial compressive constitutive models of FRP-confined circular concrete columns, the Fardis model [17] exhibited the highest predictive accuracy for the peak compressive strain of FRP-confined circular concrete columns.
- (4)
- The ANN and SVR models can be used to predict the axial mechanical behaviours of FRP-confined circular concrete columns. Their predictive accuracy was much higher than that of the existing axial compressive constitutive model of FRP-confined circular concrete columns, and SVR had the highest predictive accuracy.
- (5)
- An intelligent algorithm was used to analyse the parameters of the axial mechanical behaviour of FRP-confined circular concrete columns. The analysis results show that D/t is positively correlated with the compressive strength, whereas fco, ffrp, and Efrp are negatively correlated with the compressive strength of the FRP-confined circular concrete columns. The ffrp is positively correlated with the peak compressive strain, whereas D/t, Efrp, and fco are negatively correlated with the peak compressive strain of FRP-confined circular concrete columns.
Author Contributions
Funding
Data Availability Statement
Conflicts of Interest
Appendix A
| Reference | Parameters | Time | Number of Data |
|---|---|---|---|
| [1] | D/t, CFRP | 2012 | 30 |
| [8] | D/t, CFRP | 2018 | 21 |
| [43] | D/t, CFRP, GFRP | 2001 | 4 |
| [44] | D/t, CFRP, GFRP | 2001 | 16 |
| [45] | D/t, CFRP | 2012 | 12 |
| [51] | D/t, CFRP | 2020 | 16 |
| [52] | D/t, CFRP, GFRP | 2016 | 80 |
| [53] | D/t, CFRP, GFRP | 2019 | 22 |
| [54] | D/t, GFRP | 2018 | 8 |
| [55] | D/t, CFRP | 2004 | 12 |
| [56] | D/t, CFRP | 2013 | 17 |
| [57] | D/t, CFRP | 2018 | 45 |
| [58] | D/t, CFRP | 2010 | 15 |
References
- Liu, T.Q. Study on Material Properties and Mechanical Properties of CFRP Confined Concrete; China University of Mining & Technology: Beijing, China, 2012. (In Chinese) [Google Scholar]
- Fathalla, E.; Rajapakse, R.; Mihaylov, B.I. Modeling the shear behavior of deep beams strengthened with FRP sheets. Eng. Struct. 2022, 260, 114232. [Google Scholar] [CrossRef]
- Zhou, Y.; Liu, X.; Xing, F.; Cui, H.; Sui, L. Axial compressive behavior of FRP-confined lightweight aggregate concrete: An experimental study and stress-strain relation model. Constr. Build. Mater. 2016, 119, 1–15. [Google Scholar] [CrossRef]
- Omar, I.A.; ElGawady, M.A. Behavior of hollow FRP–concrete–steel columns under static cyclic axial compressive loading. Eng. Struct. 2016, 123, 77–88. [Google Scholar]
- Fakharifar, M.; Chen, G. Compressive behavior of FRP-confined concrete-filled PVC tubular columns. Compos. Struct. 2016, 141, 91–109. [Google Scholar] [CrossRef] [Green Version]
- Zhou, Y.; Li, M.; Sui, L.; Xing, F. Effect of sulfate attack on the stress–strain relationship of FRP-confined concrete. Constr. Build. Mater. 2016, 110, 235–250. [Google Scholar] [CrossRef]
- Chen, L.; Ozbakkaloglu, T. Corner strengthening of square and rectangular concrete-filled FRP tubes. Eng. Struct. 2016, 117, 486–495. [Google Scholar] [CrossRef]
- Shen, Y. Compressive Properties of CFRP Confined Steel Fiber Reinforced Concrete Cylindrical Shaft; Xian University of Architecture and Technology: Xi’an, China, 2018. (In Chinese) [Google Scholar]
- Guo, Y.C.; Xiao, S.H.; Zeng, J.J.; Su, J.Y.; Li, T.Z.; Xie, Z.H. Behavior of concrete-filled FRP tube columns internally reinforced with FRP-steel composite bars under axial compression. Constr. Build. Mater. 2022, 315, 125714. [Google Scholar] [CrossRef]
- Wang, W.; Sheikh, M.N.; Hadi, M.N.S.; Gao, D.; Chen, G. Behaviour of concrete-encased concrete-filled FRP tube (CCFT) columns under axial compression. Eng. Struct. 2017, 147, 256–268. [Google Scholar] [CrossRef] [Green Version]
- Eid, R.; Paultre, P. Compressive behavior of FRP-confined reinforced concrete columns. Eng. Struct. 2017, 132, 518–530. [Google Scholar] [CrossRef]
- Wu, G.; Wu, Z.S.; Lv, Z.S. Study on stress-strain relationship of FRP confined concrete cylinder with softening section. J. Civ. Eng. 2006, 39, 7–14. (In Chinese) [Google Scholar]
- Kashi, A.; Ramezanianpour, A.A.; Moodi, F. Durability evaluation of retrofitted corroded reinforced concrete columns with FRP sheets in marine environmental conditions. Constr. Build. Mater. 2017, 151, 520–533. [Google Scholar] [CrossRef]
- Toutanji, H.; Saafi, M. Durability studies on concrete columns encased in PVC–FRP composite tubes. Compos. Struct. 2001, 54, 27–35. [Google Scholar] [CrossRef]
- Ahmed, A.; Guo, S.; Zhang, Z.; Shi, C.; Zhu, D. A review on durability of fiber reinforced polymer (FRP) bars reinforced seawater sea sand concrete. Constr. Build. Mater. 2020, 256, 119484. [Google Scholar] [CrossRef]
- Mander, J.B.; Priestley, M.J.N. Theoretical stress-strain model for confined concrete. J. Struct. Eng. 1988, 114, 1804–1826. [Google Scholar]
- Fardis, M.N.; Khalili, H. Concrete encased in fiberglass-reinforced plastic. ACI Struct. J. 1981, 78, 440–446. [Google Scholar]
- Lam, L.; Teng, J.G.; Cheung, C.H.; Xiao, Y. FRP-confined concrete under axial cyclic compression. Cem. Concr. Compos. 2006, 28, 949–958. [Google Scholar] [CrossRef]
- Lam, L. Design-oriented stress-strain model for FRP-confined concrete in rectangular columns. J. Reinf. Plast. Compos. 2003, 22, 1149–1186. [Google Scholar] [CrossRef]
- Teng, J.G.; Lam, L. Behavior and modeling of fiber reinforced polymer-confined concrete. J. Struct. Eng. ASCE 2004, 130, 1713–1723. [Google Scholar]
- Saadatmanesh, H.; Ehsani, M.R.; Li, M.W. Strength and ductility of concrete columns externally reinforced with fiber composite straps. Struct. J. 1994, 91, 434–447. [Google Scholar]
- Chastre, C.; Silva, M.A.G. Monotonic axial behavior and modeling of RC circular columns confined with CFRP. Eng. Struct. 2010, 32, 2268–2277. [Google Scholar]
- Wu, Y.F.; Wei, Y. General stress-strain model for steel and FRP-confined concrete. J. Compos. Constr. 2014, 19, 04014069. [Google Scholar] [CrossRef]
- Ahmad, M.S.; Adnan, S.M.; Zaidi, S.; Bhargava, P. A novel support vector regression (SVR) model for the prediction of splice strength of the unconfined beam specimens. Constr. Build. Mater. 2020, 248, 118475. [Google Scholar] [CrossRef]
- Duan, Z.H.; Kou, S.C.; Poon, C.S. Using artificial neural networks for predicting the elastic modulus of recycled aggregate concrete. Constr. Build. Mater. 2013, 44, 524–532. [Google Scholar] [CrossRef]
- Gian, P.L.; Andrea, P.; Gaetano, M. Simplified modeling of rectangular concrete Cross-Sections confined by external FRP wrapping. Polymers 2014, 4, 1187–1206. [Google Scholar]
- Boumaaza, M.; Belaadi, A.; Bourchak, M.; Jawaid, M.; Hamid, S. Comparative study of flexural properties prediction of Washingtonia filifera rachis biochar bio-mortar by ANN and RSM models. Constr. Build. Mater. 2022, 318, 125985. [Google Scholar]
- Gian, P.L.; Fabio, N.; Andrea, P.; Gaetano, M. Analytical model for the effective strain in FRP-wrapped circular RC columns. Compos. Part B 2012, 43, 3209–3218. [Google Scholar]
- Jiang, C.; Wu, Y.F. Axial strength of eccentrically loaded FRP-confined short concrete columns. Polymers 2020, 5, 1261. [Google Scholar] [CrossRef]
- He, C.B.; Zeng, J.J. Fiber-reinforced polymer-confined non-circular columns with shape modification: A comprehensive review. Polymers 2022, 14, 564. [Google Scholar] [CrossRef] [PubMed]
- Sharifi, Y.; Moghbeli, A. New empirical approaches for compressive strength assessment of CFRP confined rectangular concrete columns. Compos. Struct. 2021, 262, 113373. [Google Scholar] [CrossRef]
- Ngo, N.T.; Le, H.A.; Nguyen, Q.T. Axial strength prediction of steel tube confined concrete columns using a hybrid machine learning model. In Structures; Elsevier: Amsterdam, The Netherlands, 2022; Volume 36, pp. 765–780. [Google Scholar]
- Ma, L.; Zhou, C.; Lee, D.; Zhang, J. Prediction of axial compressive capacity of CFRP-confined concrete-filled steel tubular short columns based on XGBoost algorithm. Eng. Struct. 2022, 260, 114239. [Google Scholar] [CrossRef]
- Bardhan, A.; Biswas, R.; Kardani, N.; Iqbal, M.; Samui, P.; Singh, M.P.; Asteris, P.G. A novel integrated approach of augmented grey wolf optimizer and ann for estimating axial load carrying-capacity of concrete-filled steel tube columns. Constr. Build. Mater. 2022, 337, 127454. [Google Scholar] [CrossRef]
- Feng, D.C.; Liu, Z.T.; Wang, X.D.; Jiang, Z.M.; Liang, S.X. Failure mode classification and bearing capacity prediction for reinforced concrete columns based on ensemble machine learning algorithm. Adv. Eng. Inform. 2020, 45, 101126. [Google Scholar] [CrossRef]
- Baietti, G.; Shahreza, S.K.; Santandrea, M.; Carloni, C. Concrete columns confined with SRP: Effect of the size, cross-sectional shape and amount of confinement. Constr. Build. Mater. 2021, 275, 121618. [Google Scholar] [CrossRef]
- Al Abadi, H.; Paton-Cole, V.; Patel, V.I.; Thai, H.T. Axial strength and elastic stiffness behaviour of partially confined concrete columns. Constr. Build. Mater. 2019, 196, 727–741. [Google Scholar] [CrossRef]
- Wang, Z.; Xie, J.; Jiang, X.F.; Yan, J.B. Behaviours of reinforced concrete-filled GFRP tube stub columns under low-temperature axial compression. Constr. Build. Mater. 2021, 312, 125429. [Google Scholar] [CrossRef]
- Amiri, M.; Hatami, F. Prediction of mechanical and durability characteristics of concrete including slag and recycled aggregate concrete with artificial neural networks (ANNs). Constr. Build. Mater. 2022, 325, 126839. [Google Scholar] [CrossRef]
- Jayasinghe, T.; Gunawardena, T.; Mendis, P. Assessment of shear strengths of reinforced concrete beams without shear reinforcement: A comparative study between codes of practice and artificial neural network. Case Stud. Constr. Mater. 2022, 16, e01102. [Google Scholar] [CrossRef]
- Vapnik, V.N. The Nature of Statistical Learning Theory; Springer: New York, NY, USA, 1995. [Google Scholar]
- Tran, V.Q.; Dang, V.Q.; Ho, L.S. Evaluating compressive strength of concrete made with recycled concrete aggregates using machine learning approach. Constr. Build. Mater. 2022, 323, 126578. [Google Scholar] [CrossRef]
- Pessiki, S.; Harries, K.A.; Kestner, J.T.; Sause, R.; Ricles, J.M. Axial behavior of reinforced concrete columns confined with FRP jackets. J. Compos. Constr. 2001, 5, 237–245. [Google Scholar] [CrossRef]
- Aire, C.; Gettu, R.; Casas, J.R. Study of the compressive behavior of concrete confined by fiber reinforced composites. Carbon 2001, 1, 239–243. [Google Scholar]
- Liang, M. Study on Strength and Deformation Characteristics of CFRP Confined Concrete Cylinder; Dalian University of Technology: Dalian, China, 2012. (In Chinese) [Google Scholar]
- Irandegani, M.A.; Zhang, D.; Shadabfar, M. Probabilistic assessment of axial load-carrying capacity of FRCM-strengthened concrete columns using artificial neural network and Monte Carlo simulation. Case Stud. Constr. Mater. 2022, e01248. [Google Scholar] [CrossRef]
- Liu, Z.; Sextos, A.; Guo, A.; Zhao, W. ANN-based rapid seismic fragility analysis for multi-span concrete bridges. In Structures; Elsevier: Amsterdam, The Netherlands, 2022; Volume 41, pp. 804–817. [Google Scholar]
- Ghorbani, B.; Arulrajah, A.; Narsilio, G.; Horpibulsuk, S. Experimental investigation and modelling the deformation properties of demolition wastes subjected to freeze–thaw cycles using ANN and SVR. Constr. Build. Mater. 2020, 258, 119688. [Google Scholar] [CrossRef]
- Huang, Y.; Zhang, J.; Ann, F.T.; Ma, G. Intelligent mixture design of steel fibre reinforced concrete using a support vector regression and firefly algorithm based multi-objective optimization model. Constr. Build. Mater. 2020, 260, 120457. [Google Scholar] [CrossRef]
- Ahmed, F.B.; Mitu, S.M.; Biswas, R.K.; Ahsan, K.A.; Mim, S.M.; Ahmed, S. Forecast flexural strength of pervious concrete by SVR. Mater. Today Proc. 2021, 45, 5277–5284. [Google Scholar] [CrossRef]
- Zhong, J.P.; Huo, J.S.; Li, Z. Experimental study on axial compression performance of concrete cylinder confined with CFRP at high temperature. Highw. Eng. 2020, 45. (In Chinese) [Google Scholar] [CrossRef]
- Touhari, M.; Mitiche-Kettab, R. Behavior of FRP confined concrete cylinders: Experimental investigation and strength model. Period. Polytech. Civ. Eng. 2016, 60, 647–660. (In Chinese) [Google Scholar] [CrossRef] [Green Version]
- Gao, C. Study on Compressive Properties of FRP Confined Nanomaterial Modified Concrete Containing Recycled Brick Aggregate; University of Hunan: Changsha, China, 2019. (In Chinese) [Google Scholar]
- Zeng, L. Study on Mechanical Properties of FRP Confined Recycled Concrete inner Hollow Composite Cylinder; Guangdong University of Technology: Guangzhou, China, 2018. (In Chinese) [Google Scholar]
- Lam, L.; Teng, J.G. Ultimate condition of fiber reinforced polymer-confined concrete. J. Compos. Constr. 2004, 8, 539–548. [Google Scholar] [CrossRef]
- Vincent, T.; Ozbakkaloglu, T. Influence of concrete strength and confinement method on axial compressive behavior of FRP confined high- and ultra high-strength concrete. Compos. Part B Eng. 2013, 50, 413–428. [Google Scholar] [CrossRef] [Green Version]
- Liu, P.C. Study on Compression Performance and Size Effect of CFRP Confined Marine Sand Concrete Cylindrical Shaft; Guangdong University of Technology: Guangzhou, China, 2018. (In Chinese) [Google Scholar]
- Hu, Z.J. Mechanical Behavior of CFRP-Confined Concrete Columns under Axial Compression; University of Jilin: Changchun, China, 2010. (In Chinese) [Google Scholar]
- Behnood, A.; Golafshani, E.M. Machine learning study of the mechanical properties of concretes containing waste foundry sand. Constr. Build. Mater. 2020, 243, 118152. [Google Scholar] [CrossRef]
- Dent AJ, S.; Bisby, L.A. Comparison of confinement models for fiber-reinforced polymer-wrapped concrete. ACI Struct. J. 2005, 102, 62–72. [Google Scholar]
- Wu, G.; Lv, Z.T. Study on stress-strain relationship of FRP confined concrete cylinder without softening section. J. Build. Struct. 2003, 5, 1–9. (In Chinese) [Google Scholar]
- Youssef, M.N.; Feng, M.Q.; Mosallam, A.S. Stress–strain model for concrete confined by FRP composites. Compos. Part B Eng. 2007, 38, 614–628. [Google Scholar] [CrossRef] [Green Version]
- Nanni, A.; Norris, M.S. FRP jacketed concrete under flexure and combined flexure-compression. Constr. Build. Mater. 1995, 9, 273–281. [Google Scholar] [CrossRef]
- Samaan, M.; Mirmiran, A.; Shahawy, M. Model of concrete confined by fiber composites. J. Struct. Eng. 1998, 124, 1025–1031. [Google Scholar] [CrossRef]
- Lam, L.; Teng, J.G. Strength models for fiber-reinforced plastic-confined concrete. J. Struct. Eng. 2002, 128, 612–623. [Google Scholar] [CrossRef]
- ACI 440.2R-02. Guide for the Design and Construction of Externally Bonded FRP Systems for Strengthening Concrete Structures; American Concrete Institute: Indianapolis, IN, USA, 2002. [Google Scholar]
- Ghorbani, B.; Arulrajah, A.; Narsilio, G.; Horpibulsuk, S. Experimental and ANN analysis of temperature effects on the permanent deformation properties of demolition wastes. Transp. Geotech. 2020, 24, 100365. [Google Scholar] [CrossRef]
- Perlovsky, L.I. Neural Networks and Intellect: Using Model-Based Concepts; Oxford University Press: New York, NY, USA, 2001. [Google Scholar]
- Haykin, S.; Lippmann, R. Neural networks, a comprehensive foundation. Int. J. Neural Syst. 1994, 5, 363–364. [Google Scholar]
- Boser, B.E.; Guyon, I.M.; Vapnik, V.N. A training algorithm for optimal margin classififiers. In Proceedings of the Fifth Annual Workshop on Computational Learning Theory, Pittsburgh, PA, USA, 27–29 July 1992. [Google Scholar]
- Smola, A.J. Regression Estimation with Support Vector Learning Machines. Master’s Thesis, Technische Universität München, Munich, Germany, 1996. [Google Scholar]
- Li, L.; Zheng, W.Z.; Wang, Y. Prediction of moment redistribution in statically indeterminate reinforced concrete structures using artificial neural network and support vector regression. Appl. Sci. 2018, 9, 28. [Google Scholar] [CrossRef] [Green Version]
- Hadi MN, S.; Li, J. External reinforcement of high strength concrete columns. Compos. Struct. 2003, 65, 279–287. [Google Scholar] [CrossRef]
- Matthys, S.; Toutanji, H.; Taerwe, L. Stress-strain behavior of large-scale circular columns confined with FRP composites. Struct. Eng. 2006, 132, 123–133. [Google Scholar] [CrossRef]
- Sadeghian, P.; Rahai, A.R.; Ehsani, M.R. Experimental study of rectangular RC columns strengthened with CFRP composites under eccentric loading. J. Compos. Constr. 2010, 14, 443–450. [Google Scholar] [CrossRef]
- Wang, L.M.; Wu, Y.F. Effect of corner radius on the performance of CFRP-confined square concrete columns: Test. Eng. Struct. 2007, 30, 493–505. [Google Scholar] [CrossRef]
- Mirmiran, A.; Shahawy, M.; Beitleman, T. Slenderness limit for hybrid FRP-concrete columns. J. Compos. Constr. 2001, 5, 26–34. [Google Scholar] [CrossRef]
- Saafi, M.; Toutanji, H.; Li, Z.J. Behavior of concrete columns confined with fiber reinforced polymer tubes. ACI Struct. J. 1999, 96, 500–509. [Google Scholar]
- Toutanji, H.; Deng, Y. Strength and durability performance of concrete axially loaded members confined with AFRP composite sheets. Compos. Part B 2002, 33, 255–261. [Google Scholar] [CrossRef]
- Watanabe, K.; Nakamura, R.; Honda, Y.; Toyoshima, M.; Fujimaki, T. Confinement effect of FRP sheet on strength and ductility of concrete cylinders under uniaxial compression. In Proceedings of the Third International Symposium on Non-Metallic Reinforcement for Concrete Structures, Sapporo, Japan, 14–16 October 1997. [Google Scholar]
- Lim, J.C.; Ozbakkloglu, T. Factors influencing hoop rupture strains of FRP-confined concrete. Appl. Mech. Mater. 2014, 501, 949–953. [Google Scholar] [CrossRef] [Green Version]
- Almusallam, T.H. Behavior of normal and high-strength concrete cylinders confined with E-glass/epoxy composite laminates. Compos. Part B 2006, 38, 629–639. [Google Scholar] [CrossRef]
- Berthet, J.F.; Ferrier, E.; Hamelin, P. Compressive behavior of concrete externally confined by composite jackets: Part A: Experimental study. J. Constr. Build. Mater. 2005, 19, 223–232. [Google Scholar] [CrossRef]
- Chaallal, O.; Shahawy, M.; Hassan, M. Performance of axially loaded short rectangular columns strengthened with carbon fiber-reinforced polymer wrapping. J. Compos. Constr. 2003, 7, 200–208. [Google Scholar] [CrossRef]



















| Parameter | D/t | fco/MPa | εco/με | ffrp/MPa | Efrp/GPa | εfrp/με |
|---|---|---|---|---|---|---|
| Minimum | 57.3 | 9.9 | 950 | 383 | 21.6 | 7200 |
| Median | 615.4 | 39.4 | 2600 | 3500 | 234 | 16,000 |
| Maximum | 1500.0 | 136.3 | 3850 | 4933 | 245 | 43,000 |
| Average | 721.2 | 46.7 | 2440 | 3321 | 196.6 | 16,686 |
| Standard deviation | 433.1 | 25.6 | 598 | 1066 | 71.2 | 4967 |
| Skewness | 0.3 | 1.7 | −0.9 | −1.1 | −1.3 | 3.9 |
| Models | Equation for Stress | Equation for Strain | Parameters | Range of Application |
|---|---|---|---|---|
| Mander [16] | styles of FRP | CFRP/GFRP-confined concrete columns | ||
| Fardis [17] | CFRP-confined circular concrete columns | |||
| Lam [21] | CFRP/GFRP-confined circular concrete columns | |||
| Bisby [63] | styles of FRP | Medium and weak FRP-confined concrete column | ||
| Wu [64] | AFRP/CFRP/GFRP-confined circular concrete columns | |||
| Youssef [65] | CFRP/GFRP-confined circular concrete columns |
| Models | R2 | MSE | MAPE | IAE/% |
|---|---|---|---|---|
| Mander [16] | 0.79 | 788.5 | 0.22 | 1.64 |
| Fardis [17] | 0.79 | 1078.3 | 0.21 | 1.86 |
| Lam [21] | 0.83 | 271.9 | 0.20 | 1.30 |
| Bisby [63] | 0.50 | 707.5 | 0.27 | 1.99 |
| Wu [64] | 0.79 | 393.5 | 0.19 | 1.31 |
| Youssef [65] | 0.83 | 317.8 | 0.22 | 1.45 |
| Models | R2 | MSE/10^7 | MAPE | IAE/% |
|---|---|---|---|---|
| Mander [16] | 0.45 | 5.45 | 0.39 | 2.36 |
| Fardis [17] | 0.48 | 5.69 | 0.61 | 3.48 |
| Lam [21] | 0.46 | 63.49 | 0.59 | 4.15 |
| Bisby [63] | 0.13 | 9.18 | 0.79 | 4.86 |
| Wu [64] | 0.15 | 47.10 | 0.52 | 3.97 |
| Youssef [65] | 0.45 | 5.49 | 0.33 | 2.81 |
| Performance Indices | Compressive Strength | Peak Compressive Strain | ||||
|---|---|---|---|---|---|---|
| ANN | SVR | Lam [21] | ANN | SVR | Fardis [17] | |
| R2 | 0.92 | 0.96 | 0.83 | 0.87 | 0.94 | 0.48 |
| MAPE | 0.11 | 0.09 | 0.20 | 0.18 | 0.13 | 0.61 |
| IAE/% | 0.09 | 0.07 | 1.30 | 0.15 | 0.11 | 3.48 |
| MSE | 84.00 | 63.46 | 271.9 | 0.74 × 107 | 0.47 × 107 | 5.69 × 107 |
Publisher’s Note: MDPI stays neutral with regard to jurisdictional claims in published maps and institutional affiliations. |
© 2022 by the authors. Licensee MDPI, Basel, Switzerland. This article is an open access article distributed under the terms and conditions of the Creative Commons Attribution (CC BY) license (https://creativecommons.org/licenses/by/4.0/).
Share and Cite
Chen, P.; Wang, H.; Cao, S.; Lv, X. Prediction of Mechanical Behaviours of FRP-Confined Circular Concrete Columns Using Artificial Neural Network and Support Vector Regression: Modelling and Performance Evaluation. Materials 2022, 15, 4971. https://doi.org/10.3390/ma15144971
Chen P, Wang H, Cao S, Lv X. Prediction of Mechanical Behaviours of FRP-Confined Circular Concrete Columns Using Artificial Neural Network and Support Vector Regression: Modelling and Performance Evaluation. Materials. 2022; 15(14):4971. https://doi.org/10.3390/ma15144971
Chicago/Turabian StyleChen, Pang, Hui Wang, Shaojun Cao, and Xueyuan Lv. 2022. "Prediction of Mechanical Behaviours of FRP-Confined Circular Concrete Columns Using Artificial Neural Network and Support Vector Regression: Modelling and Performance Evaluation" Materials 15, no. 14: 4971. https://doi.org/10.3390/ma15144971
APA StyleChen, P., Wang, H., Cao, S., & Lv, X. (2022). Prediction of Mechanical Behaviours of FRP-Confined Circular Concrete Columns Using Artificial Neural Network and Support Vector Regression: Modelling and Performance Evaluation. Materials, 15(14), 4971. https://doi.org/10.3390/ma15144971
