Portevin-Le Chatelier Characterization of Quenched Al-Mg Alloy Sheet with Different Mg Concentrations
Abstract
:1. Introduction
2. Materials and Methods
3. Results
3.1. Effect of Mg Content on the Microstructure of Quenched Al-(2.86~9.41) Mg Alloy Sheets
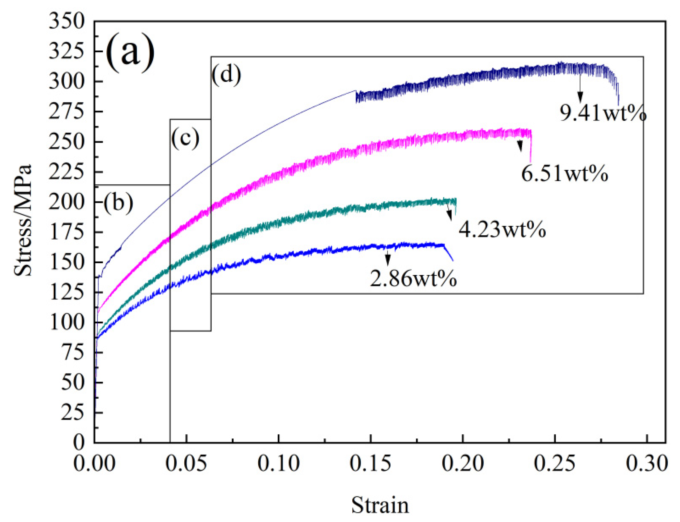
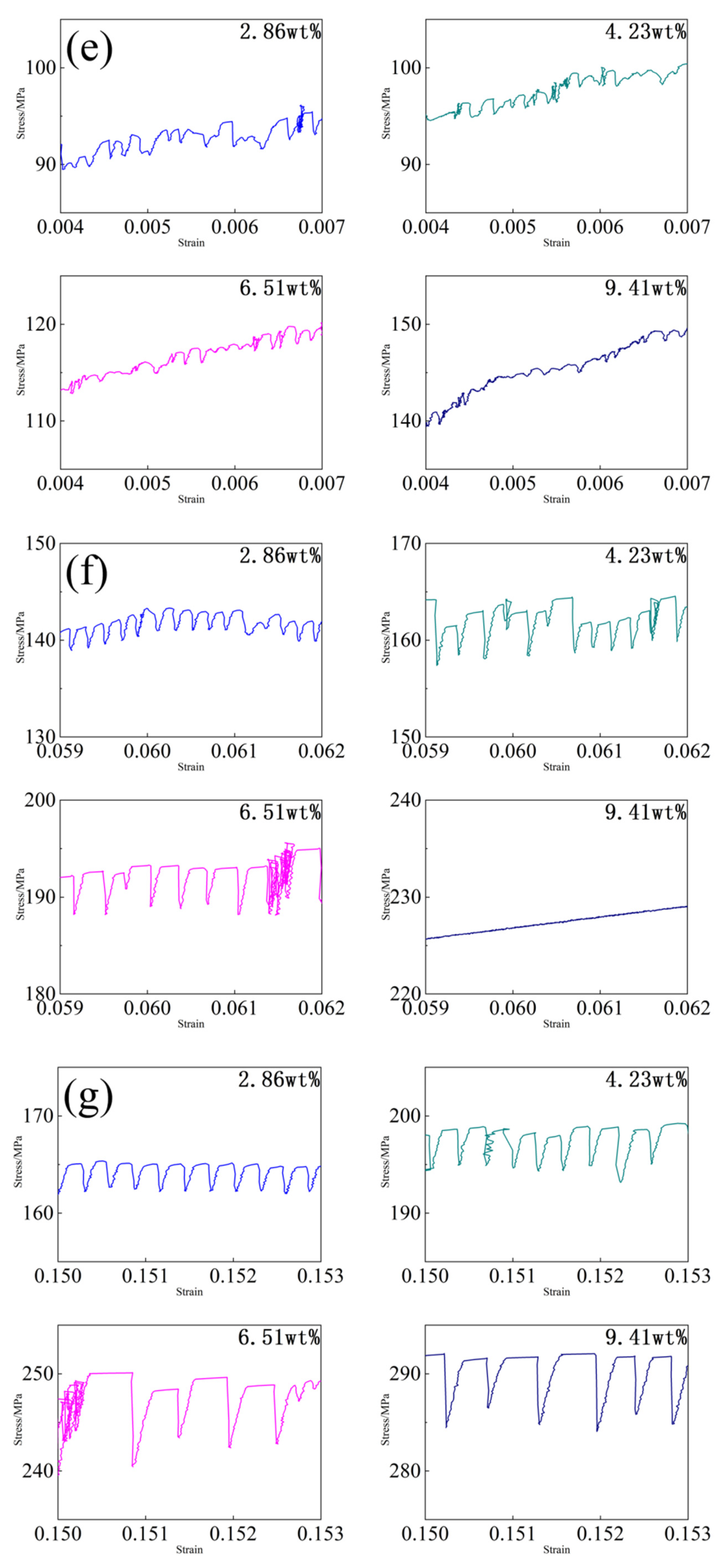
3.2. Effect of Mg Content on the Stress–Strain Curve Features of Aluminum Alloy Sheets
4. Discussion
5. Conclusions
- (1)
- With an increase in the Mg content, the types of room temperature tensile stress–strain curves of quenched Al-(2.86–9.41) Mg alloy sheets were different: the stress–strain curve of the Al-2.86 Mg alloy sheet was type B + C, while those of the Al-(4.23~9.41) Mg alloy sheets were type C. The yield stress of the alloy sheet increased gradually, and the critical strain corresponding to yield stress and the critical strain corresponding to the occurrence of the PLC shearing band both increased. However, the difference in the flow strain value between and of the alloy sheets decreased gradually.
- (2)
- When the quenched Al-(2.86~9.41) Mg alloy sheets were stretched at room temperature, the strain cycle of the rectangular waves corresponding to the high stress flow and the stress drop amplitude on the zigzag stress–strain curve of alloy sheets both increased with increasing the Mg content.
- (3)
- When the quenched Al-(2.86~9.41) Mg alloy sheets were stretched at room temperature, the strain cycle of the rectangular waves corresponding to the high stress flow and the stress drop amplitude on the zigzag stress–strain curve of alloy sheets both increased with increasing the tensile deformation.
Author Contributions
Funding
Institutional Review Board Statement
Informed Consent Statement
Data Availability Statement
Acknowledgments
Conflicts of Interest
References
- Nayan, N.; Sarkar, R.; Ahlawat, S. The anisotropy of serrated flow behavior of Al-Cu-Li(AA2198) alloy. J. Metall. Mater. Trans. A 2019, 50, 5066–5078. [Google Scholar] [CrossRef]
- Zhang, H.; Shao, H.; Shan, D. Influence of strain rates on high temperature deformation behaviors and mechanisms of Ti-5Al-5Mo-5V-3Cr-1Zr alloy. J. Mater. Charact. 2021, 171, 110794. [Google Scholar] [CrossRef]
- Klusemann, B.; Fischer, G.; Böhlke, T. The rmomechanical characterization of Portevin–Le Châtelier bands in AlMg3 (AA 5754) and modeling based on a modifified Estrin–McCormick approach. J. Int. J. Plast. 2015, 67, 192–216. [Google Scholar] [CrossRef]
- Wu, C.H.; Li, H.; Bian, T.J. Natural aging behaviors of Al-Cu-Li alloy: PLC effect, properties and microstructure evolution. J. Mater. Charact. 2022, 184, 111694. [Google Scholar] [CrossRef]
- Goswami, R.; Spanos, G.; Pao, P.S. Precipitation behavior of the β phase in Al-5083. J. Mater. Sci. Eng. A 2010, 527, 1089–1095. [Google Scholar] [CrossRef]
- Ait-Amokhtar, H.; Fressengeas, C. Crossover from continuous to discontinuous propagation in the Portevin-Le Chatelier effect. J. Acta Mater. 2010, 58, 1342–1349. [Google Scholar] [CrossRef]
- Peng, K.P.; Chen, W.Z.; Qian, K.W. Study on dynamic strain aging phenomenon of 3004 aluminum alloy. J. Mater. Sci. Eng. A 2006, 415, 53–58. [Google Scholar] [CrossRef]
- Chatterjee, A.; Sarkar, A.; Barat, P. Character of the deformation bands in the (A+B) regime of the Portevin-Le Chatelier effect in Al-2.5%Mg alloy. J. Mater. Sci. Eng. A 2009, 508, 156–160. [Google Scholar] [CrossRef]
- Tian, N.; Wang, G.D.; Zhou, Y.R. Study of the Portevin-Le Chatelier (PLC) Characteristics of a 5083 Aluminum Alloy Sheer in Two Heat Treatment States. J. Mater. 2018, 11, 1533. [Google Scholar] [CrossRef] [Green Version]
- Xiong, S.M.; Zhang, Q.C.; Cao, P.T. Effect of precipitation relative to PLC effect in 2024 aluminum alloy. J. Acta. Metall. Sin. 2009, 45, 892–896. [Google Scholar] [CrossRef]
- Wang, Z.Y.; Zhuo, L.C.; Yin, E.H. Microstructure evolution and properties of nanoparticulate SiC modified AlSi10Mg alloys. J. Mater. Sci. Eng. A 2021, 808, 140864. [Google Scholar] [CrossRef]
- Wen, W.; Zhao, Y.M.; Morris, J.G. The effect of Mg precipitation on the mechanical properties of 5xxx aluminum alloys. J. Mater. Sci. Eng. A 2005, 392, 136–144. [Google Scholar] [CrossRef]
- Picu, R.C. A mechanism for the negative strain-rate sensitivity of dilute solid solutions. J. Acta Mater. 2004, 52, 3447–3458. [Google Scholar] [CrossRef]
- Picu, R.C.; Zhang, D. Atomistic study of pipe diffusion in Al–Mg alloys. J. Acta Mater. 2004, 52, 161–171. [Google Scholar] [CrossRef]
- Sarkar, A.; Barat, P.; Mukherjee, P. Investigation of Portevin–Le Chatelier Effect in Al-2.5 pct Mg Alloy with Different Microstructure. J. Metall. Mater. Trans. A 2013, 44, 2604–2612. [Google Scholar] [CrossRef]
- Chihab, K.; Fressengeas, C. Time distribution of stress drops, critical strain and crossover in the dynamics of jerky flow. J. Mater. Sci. Eng. A 2003, 356, 102–107. [Google Scholar] [CrossRef]
- Zhao, S.T.; Meng, C.L.; Mao, F.X. Influence of severe plastic deformation on dynamic strain aging of ultrafine grained Al–Mg alloys. J. Acta Mater. 2014, 76, 54–67. [Google Scholar] [CrossRef]
- Nogueira, D.C.R.; Hopperstad, O.S.; Engler, O. Spatial and Temporal Characteristics of Propagating Deformation Bands in AA5182 Alloy at Room Temperature. J. Metall. Mater. Trans. A 2011, 42, 3358–3369. [Google Scholar] [CrossRef] [Green Version]
- Gubicza, J.; Chinh, N.Q.; Horita, Z. Effect of Mg addition on microstructure and mechanical properties of aluminum. J. Mater. Sci. Eng. A 2004, 387–389, 55–59. [Google Scholar] [CrossRef] [Green Version]
- Zhou, P.; Song, Y.L.; Hua, L. Using novel strain aging kinetics models to determine the effect of solution temperature on critical strain of Al-Zn-Mg-Cu alloy. J. Alloys Compd. 2020, 838, 155647. [Google Scholar] [CrossRef]
- Rizzi, E.; Hähner, P. On the Portevin–Le Chatelier effect: Theoretical modeling and numerical results. J. Int. J. Plast. 2004, 20, 121–165. [Google Scholar] [CrossRef]
- Jiang, H.F.; Zhang, Q.C.; Xu, Y.H. The effect of solution treatment on the spatial behavior of the Portevin-Le Chatelier effect in Al-Cu alloys. J. Acta Phys. Sin. 2006, 55, 409–412. [Google Scholar] [CrossRef]
- Fu, S.H.; Cheng, T.; Zhang, Q.C. Study of two critical mechanisms for the PLC effect of 5456 aluminum alloy. J. Acta Metall. Sin. 2012, 48, 1453–1458. [Google Scholar] [CrossRef]
- Ovri, H.; Lilleodden, E.T. New insights into plastic instability in precipitation strengthened Al–Li alloys. J. Acta Mater. 2015, 89, 88–97. [Google Scholar] [CrossRef] [Green Version]











| Alloys | Mg | Fe | Si | Zn | Other | Al |
|---|---|---|---|---|---|---|
| 1 | 2.86 | 0.08 | 0.02 | 0.02 | <0.01 | Bal |
| 2 | 4.23 | 0.09 | 0.02 | 0.01 | <0.01 | Bal |
| 3 | 6.51 | 0.08 | 0.01 | 0.01 | <0.01 | Bal |
| 4 | 9.41 | 0.08 | 0.02 | 0.02 | <0.01 | Bal |
Publisher’s Note: MDPI stays neutral with regard to jurisdictional claims in published maps and institutional affiliations. |
© 2022 by the authors. Licensee MDPI, Basel, Switzerland. This article is an open access article distributed under the terms and conditions of the Creative Commons Attribution (CC BY) license (https://creativecommons.org/licenses/by/4.0/).
Share and Cite
Tian, N.; Wang, W.; Feng, Z.; Song, W.; Wang, T.; Zeng, Z.; Zhao, G.; Qin, G. Portevin-Le Chatelier Characterization of Quenched Al-Mg Alloy Sheet with Different Mg Concentrations. Materials 2022, 15, 4965. https://doi.org/10.3390/ma15144965
Tian N, Wang W, Feng Z, Song W, Wang T, Zeng Z, Zhao G, Qin G. Portevin-Le Chatelier Characterization of Quenched Al-Mg Alloy Sheet with Different Mg Concentrations. Materials. 2022; 15(14):4965. https://doi.org/10.3390/ma15144965
Chicago/Turabian StyleTian, Ni, Wenze Wang, Zhen Feng, Weihao Song, Tianshi Wang, Zijie Zeng, Gang Zhao, and Gaowu Qin. 2022. "Portevin-Le Chatelier Characterization of Quenched Al-Mg Alloy Sheet with Different Mg Concentrations" Materials 15, no. 14: 4965. https://doi.org/10.3390/ma15144965
APA StyleTian, N., Wang, W., Feng, Z., Song, W., Wang, T., Zeng, Z., Zhao, G., & Qin, G. (2022). Portevin-Le Chatelier Characterization of Quenched Al-Mg Alloy Sheet with Different Mg Concentrations. Materials, 15(14), 4965. https://doi.org/10.3390/ma15144965
