Investigation of Waste Electrical Power Plant Oil as a Rejuvenating Agent for Reclaimed Asphalt Binders and Mixtures
Abstract
:1. Introduction
2. Materials
3. Experimental Work
3.1. Rheological, Chemical, and Microstructural Testing
3.2. HMA Testing
3.3. Indirect Tensile Strength Test (ITS)
3.4. HMA Dynamic Modulus Testing
3.5. Flow Number Test
4. Results and Discussion
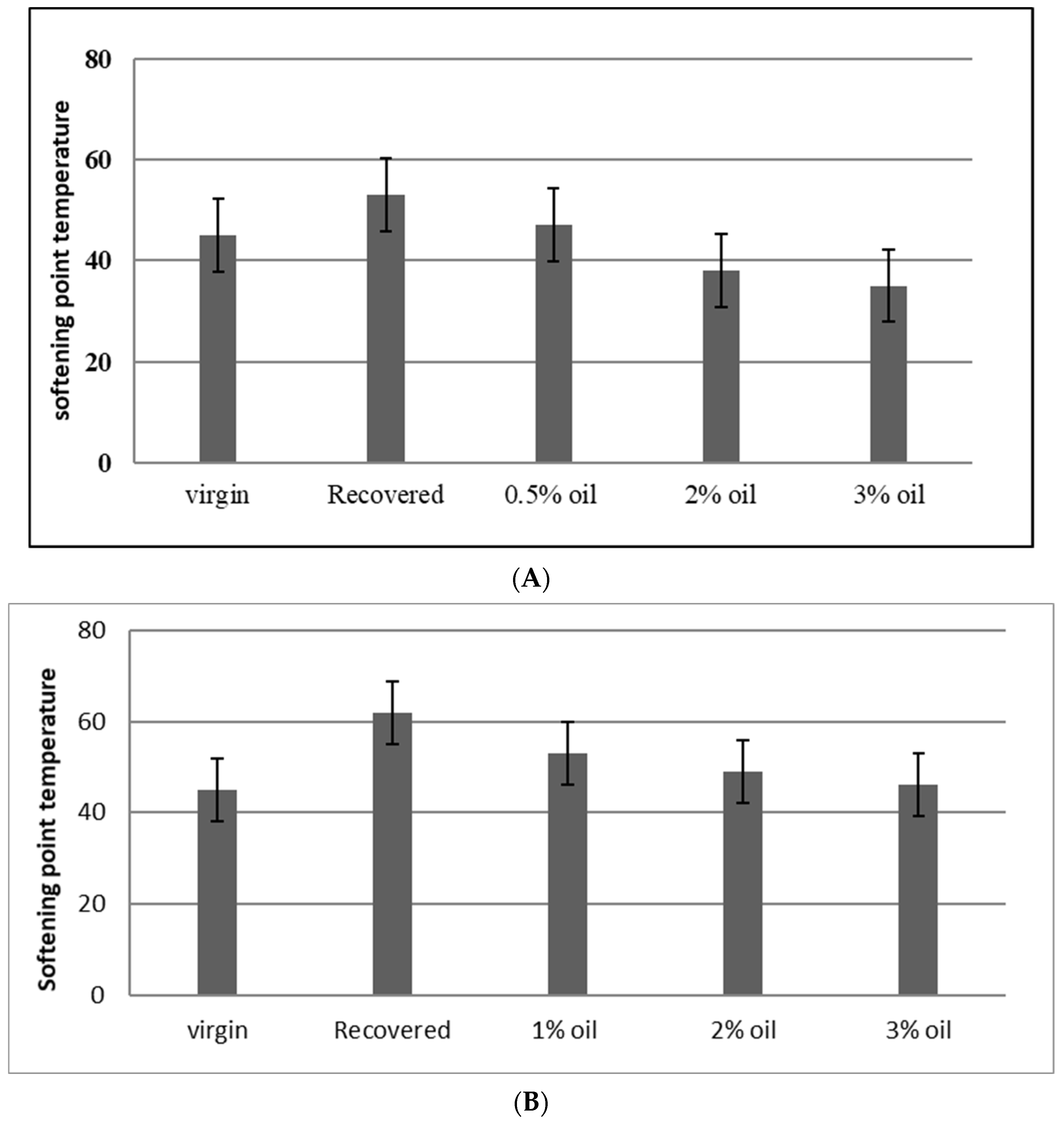
4.1. Bitumen Rheological Test Results
4.2. Microstructural Analysis
4.3. Fourier Transform Infrared Spectroscopy
4.4. Marshall Mixture Design for Control and Recycled Mixtures
4.5. Indirect Tensile Strength Test Results and Discussion
4.6. Dynamic Modulus Results and Discussion

4.7. Flow Number Test Results and Discussion
5. Conclusions
- From the results of the binder tests, the optimum contents of WEO that achieved nearly the same properties as virgin bitumen were 0.5% and 3% for the RCRD and RNCCD processed aged binders, respectively.
- From FTIR results, the addition of WEO reduced the carbonyl (IC=O) and sulfoxide (IS=O) indices to be identical to the virgin binder. The decrease in [IC=O, IS=O] is indicative of a decrease in the amount of asphaltenes (large polar molecules) within the binder.
- The ITS test results revealed that the rejuvenated recycled mixes were more moisture-resistant than the recycled mixes. However, all investigated recycled and rejuvenated mixes achieved the TSR values according to the Egyptian specification requirement, which is 80% as a minimum.
- The addition of WEO to the recycled mix softened the RAP binder, resulting in a reduction in the dynamic modulus of the rejuvenated mixes, making them more resistant to fatigue cracking. However, the flow number decreased for the rejuvenated mixes, meaning reduced rutting resistance.
Author Contributions
Funding
Acknowledgments
Conflicts of Interest
References
- Asli, H.; Ahmadinia, E.; Zargar, M.; Karim, M.R. Investigation on physical properties of waste cooking oil—Rejuvenated bitumen binder. Constr. Build. Mater. 2012, 37, 398–405. [Google Scholar] [CrossRef]
- Lesueur, D. The colloidal structure of bitumen: Consequences on the rheology and on the mechanisms of bitumen modification. Adv. Colloid Interface Sci. 2009, 145, 42–82. [Google Scholar] [CrossRef]
- El-Badawy, S.M.; Gabr, A.R.; Abd El-Hakim, R.T. Recycled Materials and By-products in Pavement Construction. In Handbook of Ecomaterials; Martínez, L.M.T., Kharissova, O.V., Kharisov, B.I., Eds.; Springer Nature: Berlin/Heidelberg, Germany, 2018; ISBN 978-3-319-68254-9. Available online: http://www.springer.com/gp/book/9783319682549 (accessed on 1 March 2021).
- Nayak, P.; Sahoo, U.C. A rheological study on aged binder rejuvenated with Pongamia oil and Composite castor oil. Int. J. Pavement Eng. 2015, 18, 595–607. [Google Scholar] [CrossRef]
- McDaniel, R.S.; Anderson, R.M. Recommended Use of Reclaimed Asphalt Pavement in the Superpave Mix Design Method: Guidelines; Transportation Research Board, National Research Council: Washington, DC, USA, 2001. [Google Scholar]
- West, R.C.; Willis, J.R. Case Studies on Successful Utilization of Reclaimed Asphalt Pavement and Recycled Asphalt Shingles in Asphalt Pavements; NCAT Report 14-06; Auburn University: Auburn, AL, USA, 2014. [Google Scholar]
- Heneash, U. Effect of the Repeated Recycling on Hot Mix Asphalt Properties. Ph.D. Thesis, University of Nottingham, Nottingham, UK, 2013. [Google Scholar]
- Xiao, F.; Amirkhanian, S.N.; Shen, J.; Putman, B. Influences of crumb rubber size and type on reclaimed asphalt pavement (RAP) mixtures. Constr. Build. Mater. 2009, 23, 1028–1034. [Google Scholar] [CrossRef]
- Joni, H.H.; Al-Rubaee, R.H.; Al-Zerkani, M.A. Rejuvenation of aged asphalt binder extracted from reclaimed asphalt pavement using waste vegetable and engine oils. Case Stud. Constr. Mater. 2019, 11, e00279. [Google Scholar] [CrossRef]
- Sirin, O.; Paul, D.K.; Kassem, E.; Ohiduzzaman, M. Effect of ageing on asphalt binders in the State of Qatar: A case study. Road Mater. Pavement Des. 2017, 18, 165–184. [Google Scholar] [CrossRef]
- Shi, H.; Tao, X.; Pei, Z.; Jiang, R. Combustion properties of saturates, aromatics, resins, and asphaltenes in asphalt binder. Constr. Build. Mater. 2017, 136, 515–523. [Google Scholar] [CrossRef]
- Ongel, A.; Hugener, M. Impact of rejuvenators on aging properties of bitumen. Constr. Build. Mater. 2015, 94, 467–474. [Google Scholar] [CrossRef]
- Mazzoni, G.; Bocci, E.; Canestrari, F. Influence of rejuvenators on bitumen ageing in hot recycled asphalt mixtures. J. Traffic Transp. Eng. Engl. Ed. 2018, 5, 157–168. [Google Scholar] [CrossRef]
- Haghshenas, H.F.; Rea, R.; Reinke, G.; Yousefi, A.; Haghshenas, D.F.; Ayar, P. Effect of Recycling Agents on the Resistance of Asphalt Binders to Cracking and Moisture Damage. J. Mater. Civ. Eng. 2021, 33, 04021292. [Google Scholar] [CrossRef]
- Dedene, C.D.; You, Z. The performance of aged asphalt materials rejuvenated with waste engine oil. Int. J. Pavement Res. Technol. 2014, 7, 145–152. [Google Scholar] [CrossRef]
- García, A.; Schlangen, E.; van de Ven, M.; Sierra-Beltrán, G. Preparation of capsules containing rejuvenators for their use in asphalt concrete. J. Hazard. Mater. 2010, 184, 603–611. [Google Scholar] [CrossRef] [PubMed]
- Holleran, G.; Wieringa, T.; Tailby, T. Rejuvenation treatments for aged pavements. In Proceedings of the Transit New Zealand and New Zealand Institute of Highway Technology (NZIHT) 8th Annual Conference, Auckland, New Zealand, 15–17 October 2006. [Google Scholar]
- Karki, P.; Zhou, F. Effect of Rejuvenators on Rheological, Chemical, and Aging Properties of Asphalt Binders Containing Recycled Binders. Transp. Res. Rec. J. Transp. Res. Board 2016, 2574, 74–82. [Google Scholar] [CrossRef]
- Silva, H.M.; Oliveira, J.R.; Jesus, C.M. Are totally recycled hot mix asphalts a sustainable alternative for road paving? Resour. Conserv. Recycl. 2012, 60, 38–48. [Google Scholar] [CrossRef]
- Dony, A.; Colin, J.; Bruneau, D.; Drouadaine, I.; Navaro, J. Reclaimed asphalt concretes with high recycling rates: Changes in reclaimed binder properties according to rejuvenating agent. Constr. Build. Mater. 2013, 41, 175–181. [Google Scholar] [CrossRef]
- Tian, R.; Luo, H.; Huang, X.; Zheng, Y.; Zhu, L.; Liu, F. Correlation Analysis between Mechanical Properties and Fractions Composition of Oil-Rejuvenated Asphalt. Materials 2022, 15, 1889. [Google Scholar] [CrossRef]
- Yan, S.; Dong, Q.; Chen, X.; Zhou, C.; Dong, S.; Gu, X. Application of waste oil in asphalt rejuvenation and modification: A comprehensive review. Constr. Build. Mater. 2022, 340, 127784. [Google Scholar] [CrossRef]
- Saha, R.; Melaku, R.S.; Karki, B.; Berg, A.; Gedafa, D.S. Effect of Bio-Oils on Binder and Mix Properties with High RAP Binder Content. J. Mater. Civ. Eng. 2020, 32, 04020007. [Google Scholar] [CrossRef]
- Deng, M.; Cao, X.; Li, Z.; Li, X.; Yang, X.; Tang, B. Investigating properties and intermolecular interactions of sludge bio-oil modified asphalt. J. Mol. Liq. 2022, 360, 119415. [Google Scholar] [CrossRef]
- Sun, Z.; Yi, J.; Huang, Y.; Feng, D.; Guo, C. Properties of asphalt binder modified by bio-oil derived from waste cooking oil. Constr. Build. Mater. 2016, 102, 496–504. [Google Scholar] [CrossRef]
- Yaseen, G.; Hafeez, I. Effect of Cereclor as Rejuvenator to Enhance the Aging Resistance of Reclaimed Asphalt Pavement Binder. Materials 2020, 13, 1582. [Google Scholar] [CrossRef] [PubMed] [Green Version]
- Pelitli, V.; Doğan, Ö.; Köroğlu, H. Waste oil management: Analyses of waste oils from vehicle crankcases and gearboxes. Glob. J. Environ. Sci. Manag. 2017, 3, 11–20. [Google Scholar] [CrossRef]
- Fernandes, S.; Peralta, J.; Oliveira, J.R.M.; Williams, R.C.; Silva, H.M.R.D. Improving Asphalt Mixture Performance by Partially Replacing Bitumen with Waste Motor Oil and Elastomer Modifiers. Appl. Sci. 2017, 7, 794. [Google Scholar] [CrossRef] [Green Version]
- Wang, F.; Fang, Y.; Chen, Z.; Wei, H. Effect of waste engine oil on asphalt reclaimed properties. In AIP Conference Proceedings; AIP Publishing LLC: Melville, NY, USA, 2018; Volume 1973, p. 020012. [Google Scholar] [CrossRef]
- You, T.; Balamurugan, S.S.; Nazzal, M.D.; Mohammad, L.N.; Negulescua, I.; Daly, W.H. Rheological, Chemical, Micromechanical, and Mechanical Properties of Re-Refined Engine Oil Bottoms (REOB) Modified Binders. In Proceedings of the Transportation Research Board 97th Annual Meeting, Washington, DC, USA, 7–11 January 2018. [Google Scholar]
- Kamaruddin, N.H.M.; Hainin, M.R.; Hassan, N.A.; Abdullah, M.E.; Yaacob, H. Evaluation of Pavement Mixture Incorporating Waste Oil. J. Teknol. 2014, 71, 93–98. [Google Scholar] [CrossRef] [Green Version]
- El-Shorbagy, A.M.; El-Badawy, S.M.; Gabr, A.R. Investigation of waste oils as rejuvenators of aged bitumen for sustainable pavement. Constr. Build. Mater. 2019, 220, 228–237. [Google Scholar] [CrossRef]
- Tripathi, A.K.; Vinu, R. Characterization of Thermal Stability of Synthetic and Semi-Synthetic Engine Oils. Lubricants 2015, 3, 54–79. [Google Scholar] [CrossRef] [Green Version]
- Yunus, R.; Rasheed, H.S.; Zulkifli, N.W.M. Wear and friction behavior of semi synthetic engine oil blended with palm oil/TMP ester and nano glass powder additive. J. Tribal. 2020, 26, 16–36. [Google Scholar]
- Al Mamun, A.; Wahhab, H.A.A.; Dalhat, M.A. Comparative Evaluation of Waste Cooking Oil and Waste Engine Oil Rejuvenated Asphalt Concrete Mixtures. Arab. J. Sci. Eng. 2020, 45, 7987–7997. [Google Scholar] [CrossRef] [Green Version]
- Li, H.; Dong, B.; Wang, W.; Zhao, G.; Guo, P.; Ma, Q. Effect of Waste Engine Oil and Waste Cooking Oil on Performance Improvement of Aged Asphalt. Appl. Sci. 2019, 9, 1767. [Google Scholar] [CrossRef] [Green Version]
- Liu, S.; Peng, A.; Wu, J.; Zhou, S.B. Waste engine oil influences on chemical and rheological properties of different asphalt binders. Constr. Build. Mater. 2018, 191, 1210–1220. [Google Scholar] [CrossRef]
- Dokandari, P.A.; Kaya, D.; Sengoz, B.; Topal, A. Implementing waste oils with reclaimed asphalt pavement. In Proceedings of the 2nd World Congress on Civil, Structural and Environmental Engineering (CSEE’17), Barcelona, Spain, 2–4 April 2017; pp. 1–12. [Google Scholar]
- Arshad, A.K.; Kamaluddin, N.A.; Hashim, W.; Roslan, S.R.A. Physical and Rheological Properties of Aged Bitumen Rejuvenated with Waste Engine Oil. Appl. Mech. Mater. 2015, 802, 363–368. [Google Scholar] [CrossRef]
- Jia, X.; Huang, B.; Moore, J.A.; Zhao, S. Influence of Waste Engine Oil on Asphalt Mixtures Containing Reclaimed Asphalt Pavement. J. Mater. Civ. Eng. 2015, 27, 04015042. [Google Scholar] [CrossRef]
- Dedene, C.; Mills-Beale, J.; You, Z. Properties of recovered asphalt binder blended with waste engine oil: A preliminary study. In Proceedings of the 11th International Conference of Chinese Transportation Professionals (ICCTP), Nanjing, China, 14–17 August 2011; pp. 4399–4406. [Google Scholar] [CrossRef]
- Zamhari, K.A.; Hermadi, M.; Fun, C.W.A.I. Characteristics of rejuvenated bitumen with used lubricating oil as rejuvenating agent. In Proceedings of the International Conference on Sustainable Infrastructure and Built Environment in Developing Countries, Bandung, Indonesia, 2–3 November 2009. [Google Scholar]
- ECP. Egyptian code of practice for urban and rural roads. In Road Materials and Their Tests Part Four, 1st ed.; Ministry of Housing, Utilities and Urban Communities: Cairo, Egypt, 2008. [Google Scholar]
- AASHTO T245-15; Standard Test Method for Marshall Stability and Flow of Asphalt Mixtures. American Association of State and Highway Transportation Officials: Washington, DC, USA, 2015.
- AASHTO T49; Standard Method of Test for Penetration of Bituminous Materials. AASHTO Standards; ASTM International: West Conshohocken, PA, USA, 2015.
- ASTM D36, D36M; Standard Test Method for Softening Point of Bitumen (Ring-and-Ball Apparatus). ASTM International: West Conshohocken, PA, USA, 2014.
- ASTM D4402/D4402M; Standard Test Method for Viscosity Determination of Asphalt at Levated Temperatures Using a Rotational Viscometer. ASTM International: West Conshohocken, PA, USA, 2015.
- AASHTO T283-14; Standard Test Method for Effect of Moisture on Asphalt Concrete Paving Mixtures. American Association of State and Highway Transportation Officials: Washington, DC, USA, 2015.
- AASHTO T 342-11; Standard Method of Test for Determining Dynamic Modulus of Hot-Mix Asphalt Concrete Mixtures. American Association of State and Highway Transportation Officials: Washington, DC, USA, 2015.
- AASHTO TP-79; Standard Method of Test for Determining the Dynamic Modulus and Flow Number for Asphalt Mixtures Using the Asphalt Mixture Performance Tester (AMPT). American Association of State and Highway Transportation Officials: Washington, DC, USA, 2015.
- Zhang, Z.; Rogue, R.; Birgisson, B.; Sangpetngam, B. Identification and verification of a suitable crack growth law. J. Assoc. Asph. Paving Technol. 2001, 70, 206–241. [Google Scholar]
- Huang, B.; Li, G.; Mohammad, L.N. Analytical modeling and experimental study of tensile strength of asphalt concrete composite at low temperatures. Compos. Part B Eng. 2003, 34, 705–714. [Google Scholar] [CrossRef]
- Dougan, C.; Stephens, J.; Mahoney, J.; Hansen, G. E*|-Dynamic Modulus Test Protocol-Problems and Solutions; Publication CT-SPR-0003084-F03-3; Connecticut Department of Transportation and Federal Highway Administration: Glastonbury, CT, USA, 2003.
- Vazquez-Duhalt, R. Environmental impact of used motor oil. Sci. Total Environ. 1989, 79, 1–23. [Google Scholar] [CrossRef]
- Zhang, F.; Yu, J. The research for high-performance SBR compound modified asphalt. Constr. Build. Mater. 2010, 24, 410–418. [Google Scholar] [CrossRef]
- Lamontagne, J.; Dumas, P.; Mouillet, V.; Kister, J. Comparison by Fourier transform infrared (FTIR) spectroscopy of different ageing techniques: Application to road bitumens. Fuel 2001, 80, 483–488. [Google Scholar] [CrossRef]
- Wu, S.-P.; Pang, L.; Mo, L.-T.; Chen, Y.-C.; Zhu, G.-J. Influence of aging on the evolution of structure, morphology and rheology of base and SBS modified bitumen. Constr. Build. Mater. 2009, 23, 1005–1010. [Google Scholar] [CrossRef]
- Ouyang, C.; Wang, S.; Zhang, Y.; Zhang, Y. Improving the aging resistance of asphalt by addition of Zinc dialkyldithiophosphate. Fuel 2006, 85, 1060–1066. [Google Scholar] [CrossRef]
- Cortizo, M.; Larsen, D.; Bianchetto, H.; Alessandrini, J. Effect of the thermal degradation of SBS copolymers during the ageing of modified asphalts. Polym. Degrad. Stab. 2004, 86, 275–282. [Google Scholar] [CrossRef]
- Pradhan, S.K.; Sahoo, U.C. Use of Mahua oil for rejuvenation of the aged binder through laboratory investigations. Int. J. Transp. Sci. Technol. 2020, 11, 32–45. [Google Scholar] [CrossRef]
- AASHTO R62-13; Developing Dynamic Modulus Master Curves for Asphalt Mixtures. American Association of State and Highway Transportation Officials: Washington, DC, USA, 2015.
- Wen, H.; Bhusal, S.; Wen, B. Laboratory Evaluation of Waste Cooking Oil-Based Bioasphalt as an Alternative Binder for Hot Mix Asphalt. J. Mater. Civ. Eng. 2013, 25, 1432–1437. [Google Scholar] [CrossRef]
- Mamun, A.A.; Wahhab, H.I.A.-A. Evaluation of Waste Engine Oil-Rejuvenated Asphalt Concrete Mixtures with High RAP Content. Adv. Mater. Sci. Eng. 2018, 2018, 7386256. [Google Scholar] [CrossRef] [Green Version]















| Reference | Type of Waste Oil (Source) | % of Waste Oil to Binder Content | Binder Grade | Experimental Testing | Effect on the Mix/Binder |
|---|---|---|---|---|---|
| [35] | WEO (NA) | 7 | NA |
|
|
| [32] | WEO (local auto service shops) | 2, 3, 3.5, and 4 | 60/70 |
|
|
| [36] | WEO (local auto repair shop) | 1, 2, 3, 4, and 5 | 60/70 |
|
|
| [9] | WEO (vehicles workshop) | 1, 2, and 3 | 40/50 |
|
|
| [37] | WEO (garage) | 4 and 8 *(bitumen modifier) | 60/80 |
|
|
| [38] | WEO (industrial organizations) | 5.4 | 50/70 |
|
|
| [39] | WEO (workshop) | 6 | 80/100 |
|
|
| [40] | WEO (automobile engine oil) | 2 and 5 | PG 64–22 |
|
|
| [14] | WEO (Michigan Tech motor pool) | 4 and 8 | PG 58–28 |
|
|
| [41] | WEO (Michigan Tech motor pool) | 4, 8 | PG 70–22 |
|
|
| [42] | WEO (workshops) | 10 | 80/100 |
|
|
| Test | Results | Specification Limits |
|---|---|---|
| 60/70 asphalt | ||
| Softening point, °C | 45 | [45–55] |
| Penetration | 65 | [60–70] |
| Specific gravity | 1.02 | - |
| Viscosity (135 °C), centipoise | 387 | [+320] |
| Sieve Size (Inch) | Coarse Aggregate (Passing %) | Sand (Passing%) | Mineral Filler (Passing %) | RAP | |
|---|---|---|---|---|---|
| Coarse Aggregate (1) | Coarse Aggregate (2) | ||||
| 1 | 100 | 100 | - | - | 100 |
| 3/4 | 100 | 94.0 | - | - | 88.6 |
| 3/8 | 80.1 | 3.3 | - | - | 46.4 |
| No. 4 | 3.5 | - | 98.0 | - | 24.1 |
| No. 8 | - | - | 86.6 | - | 14.0 |
| No. 30 | - | - | 54.1 | 100 | 5.3 |
| No. 50 | - | - | 32.2 | 99.2 | 2.4 |
| No. 100 | - | - | 16.8 | 98.2 | |
| No. 200 | - | - | 93.6 | ||
| Sample | Source | Formula | Mass% | Atomic% |
|---|---|---|---|---|
| Aged Bitumen | CaCO3 | C | 85.27 | 90.48 |
| SiO2 | O | 9.67 | 7.71 | |
| Al2O3 | Al | 0.38 | 0.18 | |
| FeS2 | S | 3.32 | 1.32 | |
| Fe | Fe | 1.37 | 0.31 | |
| Bitumen rejuvenated by WEO | CaCO3 | C | 96.02 | 98.42 |
| FeS2 | S | 3.25 | 1.25 | |
| Al2O3 | Al | 0.74 | 0.34 |
| Virgin Bitumen | RAP Binder | RAP Binder + 0.5% Oil | RAP Binder + 3% Oil | ||||
|---|---|---|---|---|---|---|---|
| Wave Number | Function Group | Wave Number | Function Group | Wave Number | Function Group | Wave Number | Function Group |
| 3431 | −(OH) | 3313 | −(OH) | 3396 | −(OH) | 3448 | −(OH) |
| 2918 | CH-Alkane | 2922 | CH-Alkane | 2922 | CH-Alkane | 2922 | CH-Alkane |
| 2853 | CH-Alkane | 2851 | CH-Alkane | 2846 | CH-Alkane | 2849 | CH-Alkane |
| 1711 | C=O | 1688 | C=O | 1693 | C=O | 1707 | C=O |
| 1599 | C=C | 1597 | C=C | 1592 | C=C | 1590 | C=C |
| 1455 | C-H Bending | 1455 | C-H Bending | 1455 | C-H Bending | 1455 | C-H Bending |
| 1024 | S=O | 1031 | S=O | 1021 | S=O | 1027 | S=O |
| Mix Type | OBC % (%V Bitumen + %RAP Binder) | Stability kg | Flow mm | Bulk Specific Gravity | Theoretical Specific Gravity | Va % | VMA % | VFA % | Vbe % |
|---|---|---|---|---|---|---|---|---|---|
| C-mix | 5.25 | 1050 | 3.24 | 2.362 | 2.460 | 3.90 | 15.40 | 73.0 | 11.50 |
| R-mix0 | 5.6 (3.1% + 2.5%) | 1434 | 2.80 | 2.348 | 2.422 | 3.05 | 15.23 | 80.2 | 12.2 |
| R-mix0.5 | 1223 | 2.80 | 2.348 | 2.422 | 3.07 | 15.28 | 79.9 | 12.2 | |
| R-mix3 | 1030 | 3.20 | 2.349 | 2.422 | 3.01 | 15.23 | 80.0 | 12.2 | |
| Limits | 4:7.5 | Min 900 | 2:4 | -- | -- | 3:5 | Min 15 | -- | -- |
Publisher’s Note: MDPI stays neutral with regard to jurisdictional claims in published maps and institutional affiliations. |
© 2022 by the authors. Licensee MDPI, Basel, Switzerland. This article is an open access article distributed under the terms and conditions of the Creative Commons Attribution (CC BY) license (https://creativecommons.org/licenses/by/4.0/).
Share and Cite
El-labbad, E.M.; Heneash, U.; El-Badawy, S.M. Investigation of Waste Electrical Power Plant Oil as a Rejuvenating Agent for Reclaimed Asphalt Binders and Mixtures. Materials 2022, 15, 4811. https://doi.org/10.3390/ma15144811
El-labbad EM, Heneash U, El-Badawy SM. Investigation of Waste Electrical Power Plant Oil as a Rejuvenating Agent for Reclaimed Asphalt Binders and Mixtures. Materials. 2022; 15(14):4811. https://doi.org/10.3390/ma15144811
Chicago/Turabian StyleEl-labbad, Eman M., Usama Heneash, and Sherif M. El-Badawy. 2022. "Investigation of Waste Electrical Power Plant Oil as a Rejuvenating Agent for Reclaimed Asphalt Binders and Mixtures" Materials 15, no. 14: 4811. https://doi.org/10.3390/ma15144811
APA StyleEl-labbad, E. M., Heneash, U., & El-Badawy, S. M. (2022). Investigation of Waste Electrical Power Plant Oil as a Rejuvenating Agent for Reclaimed Asphalt Binders and Mixtures. Materials, 15(14), 4811. https://doi.org/10.3390/ma15144811

