Low-Pb High-Piezoelectric Ceramic System (1−x)Ba(Zr0.18Ti0.82)O3–x(Ba0.78Pb0.22)TiO3
Abstract
:1. Introduction
2. Materials and Methods
3. Results and Discussion
3.1. Structural Characterization
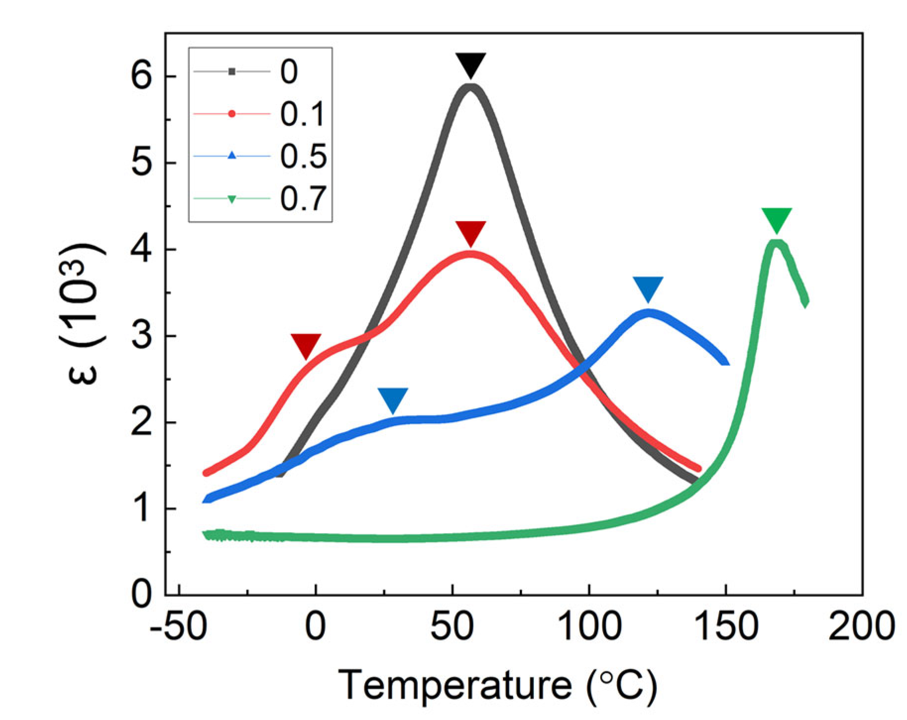
3.2. Dielectric Permittivity versus Temperature Spectrum

3.3. Ferroelectric and Piezoelectric Properties
4. Conclusions
Supplementary Materials
Author Contributions
Funding
Institutional Review Board Statement
Informed Consent Statement
Data Availability Statement
Conflicts of Interest
References
- Uchino, K. Ferroelectric Devices; Marcel Dekker: New York, NY, USA, 2000; Chapter 7. [Google Scholar]
- Jaffe, B.; Cook, W.R.; Jaffe, H. Piezoelectric Ceramics; Academic Press: Cambridge, MA, USA, 1971. [Google Scholar]
- Choi, S.W.; Shrout, T.R.; Jang, S.J.; Bhalla, A.S. Morphotropic phase boundary in Pb(Mg1/3Nb2/3)O3-PbTiO3 system. Mater. Lett. 1989, 8, 253–255. [Google Scholar] [CrossRef]
- Kuwata, J.; Uchino, K.; Nomura, S. Phase transitions in the Pb(Zn1/3Nb2/3)O3-PbTiO3 system. Ferroelectrics 1981, 37, 579–582. [Google Scholar] [CrossRef]
- Uchino, K. Piezoelectric Actuators and Ultrasonic Motors; Springer Science & Business Media: Berlin/Heidelberg, Germany, 1996; Volume 1. [Google Scholar]
- Saito, Y.; Takao, H.; Tani, T.; Nonoyama, T.; Takatori, K.; Homma, T.; Nagaya, T.; Nakamura, M. Lead-free piezoceramics. Nature 2004, 432, 84–87. [Google Scholar] [CrossRef] [PubMed]
- Takenaka, T.; Maruyama, K.I.M.K.I.; Sakata, K.S.K. (Bi1/2Na1/2)TiO3-BaTiO3 System for Lead-Free Piezoelectric Ceramics. Jpn. J. Appl. Phys. 1991, 30, 2236. [Google Scholar] [CrossRef]
- Liu, W.; Ren, X. Large Piezoelectric Effect in Pb-Free Ceramics. Phys. Rev. Lett. 2009, 103, 257602. [Google Scholar] [CrossRef] [Green Version]
- Safari, A.; Hejazi, M. Lead-free KNN-based piezoelectric materials. In Lead-Free Piezoelectrics; Springer: Berlin/Heidelberg, Germany, 2012; pp. 139–175. [Google Scholar]
- Zeng, W.; Zhou, X.; Chen, J.; Liao, J.; Zhou, C.; Cen, Z.; Yang, T.; Yang, H.; Zhou, Q.; Chen, G.; et al. Origin of high piezoelectric activity in perovskite ferroelectric ceramics. Appl. Phys. Lett. 2014, 104, 242910. [Google Scholar] [CrossRef]
- Newnham, R.E. Properties of Materials: Anisotropy, Symmetry, Structure; Oxford University Press: Oxford, UK, 2004. [Google Scholar]
- Rossetti, J.G.A., Jr.; Khachaturyan, A.G.; Akcay, G.; Ni, Y. Ferroelectric solid solutions with morphotropic boundaries: Vanishing polarization anisotropy, adaptive, polar glass, and two-phase states. J. Appl. Phys. 2008, 103, 114113. [Google Scholar] [CrossRef]
- Zhou, C.; Liu, W.; Xue, D.; Ren, X.; Bao, H.; Gao, J.; Zhang, L. Triple-point-type morphotropic phase boundary based large piezoelectric Pb-free material—Ba(Ti0.8Hf0.2)O3-(Ba0.7Ca0.3)TiO3. Appl. Phys. Lett. 2012, 100, 222910. [Google Scholar] [CrossRef] [Green Version]
- Yu, Z.; Ang, C.; Guo, R.; Bhalla, A.S. Piezoelectric and strain properties of Ba(Ti1-xZrx)O3 ceramics. J. Appl. Phys. 2002, 92, 1489–1493. [Google Scholar] [CrossRef]
- Shirane, G.; Suzuki, K. On the Phase Transition in Barium-Lead Titanate (1). J. Phys. Soc. Jpn. 1951, 6, 274–278. [Google Scholar] [CrossRef]
- Rojac, T.; Drnovsek, S.; Bencan, A.; Malic, B.; Damjanovic, D. Role of charged defects on the electrical and electromechanical properties of rhombohedral Pb(Zr,Ti)O3 with oxygen octahedra tilts. Phys. Rev. B 2016, 93, 014102. [Google Scholar] [CrossRef] [Green Version]
- Zhou, C.; Ke, X.; Yao, Y.; Yang, S.; Ji, Y.; Liu, W.; Yang, Y.; Zhang, L.; Hao, Y.; Ren, S.; et al. Evolution from successive phase transitions to “morphotropic phase boundary” in BaTiO3-based ferroelectrics. Appl. Phys. Lett. 2018, 112, 182903. [Google Scholar] [CrossRef] [Green Version]
- Lines, M.E.; Glass, A.M. Principles and Applications of Ferroelectrics and Related Materials; Clarendon: Oxford, UK, 1977. [Google Scholar]
- Maiti, T.; Guo, R.; Bhalla, A.S. The evolution of relaxor behavior in Ti4+ doped BaZrO3 ceramics. J. Appl. Phys. 2006, 100, 114109. [Google Scholar] [CrossRef]
- Chattopadhyay, S.; Ayyub, P.; Palkar, V.R.; Multani, M. Size-induced diffuse phase transition in the nanocrystalline ferroelectric PbTiO3. Phys. Rev. B 1995, 52, 13177–13183. [Google Scholar] [CrossRef]
- Jiang, Z.; Yuan, Y.; Yang, H.; Li, E.; Zhang, S. Relaxor regulation and improvement of breakdown strength for Bi0.5Na0.5TiO3-based ceramics by co-doping with Ca and Nb. Ceram. Int. 2022, 48, 9702–9709. [Google Scholar] [CrossRef]
- Wang, J.-J.; Wang, B.; Chen, L.-Q. Understanding, Predicting, and Designing Ferroelectric Domain Structures and Switching Guided by the Phase-Field Method. Annu. Rev. Mater. Sci. 2019, 49, 127–152. [Google Scholar] [CrossRef]
- Chen, Z.; Hong, L.; Wang, F.; Ringer, S.P.; Chen, L.-Q.; Luo, H.; Liao, X. Facilitation of Ferroelectric Switching via Mechanical Manipulation of Hierarchical Nanoscale Domain Structures. Phys. Rev. Lett. 2017, 118, 017601. [Google Scholar] [CrossRef] [Green Version]
- Datta, K.; Margaritescu, I.; Keen, D.A.; Mihailova, B. Stochastic Polarization Instability in PbTiO3. Phys. Rev. Lett. 2018, 121, 137602. [Google Scholar] [CrossRef]
- Heitmann, A.A.; Rossetti, G.A. Thermodynamics of Ferroelectric Solid Solutions with Morphotropic Phase Boundaries. J. Am. Ceram. Soc. 2014, 97, 1661–1685. [Google Scholar] [CrossRef]
- Khachaturyan, A. Ferroelectric solid solutions with morphotropic boundary: Rotational instability of polarization, metastable coexistence of phases and nanodomain adaptive states. Philos. Mag. 2010, 90, 37–60. [Google Scholar] [CrossRef]
- Yuk, S.F.; Pitike, K.C.; Nakhmanson, S.M.; Eisenbach, M.; Li, Y.W.; Cooper, V.R. Towards an accurate description of perovskite ferroelectrics: Exchange and correlation effects. Sci. Rep. 2017, 7, 43482. [Google Scholar] [CrossRef] [PubMed]
- Zhao, L.; Ke, X.; Wang, W.; Zhang, L.; Zhou, C.; Zhou, Z.; Zhang, L.; Ren, X. Electrostrain enhancement at an invisible boundary in a single ferroelectric phase. Phys. Rev. B 2017, 95, 020101. [Google Scholar] [CrossRef]
- Zhang, L.; Zhao, L.; He, L.; Wang, D.; Sun, Y.; Wang, D.; Lou, X.; Zhang, L.; Carpenter, M.A. New Degree of Freedom in Determining Superior Piezoelectricity at the Lead-Free Morphotropic Phase Boundary: The Invisible Ferroelectric Crossover. ACS Appl. Mater. Interfaces 2022, 14, 1434–1442. [Google Scholar] [CrossRef]
- Cohen, R.E.; Krakauer, H. Electronic structure studies of the differences in ferroelectric behavior of BaTiO3 and PbTiO3. Ferroelectrics 1992, 136, 65–83. [Google Scholar] [CrossRef]
- Jaffe, B.; Roth, R.S.; Marzullo, S. Piezoelectric Properties of Lead Zirconate-Lead Titanate Solid-Solution Ceramics. J. Appl. Phys. 1954, 25, 809–810. [Google Scholar] [CrossRef]
- Shrout, T.; Zhang, S. Lead-free piezoelectric ceramics: Alternatives for PZT? J. Electroceramics 2007, 19, 111–124. [Google Scholar] [CrossRef] [Green Version]
- Puli, V.S.; Pradhan, D.K.; Pérez, W.; Katiyar, R.S. Structure, dielectric tunability, thermal stability and diffuse phase transition behavior of lead free BZT–BCT ceramic capacitors. J. Phys. Chem. Solids 2013, 74, 466–475. [Google Scholar] [CrossRef]
- Yao, F.-Z.; Wang, K.; Jo, W.; Webber, K.G.; Comyn, T.P.; Ding, J.-X.; Xu, B.; Cheng, L.-Q.; Zheng, M.-P.; Hou, Y.-D.; et al. Diffused Phase Transition Boosts Thermal Stability of High-Performance Lead-Free Piezoelectrics. Adv. Funct. Mater. 2016, 26, 1217–1224. [Google Scholar] [CrossRef]
- Mukhin, N.V. Diffusion model of intrinsic defects in lead zirconate titanate films on heat treatment in air. Glas. Phys. Chem. 2014, 40, 238–242. [Google Scholar] [CrossRef]
- Mangum, J.S.; Podowitz-Thomas, S.; Nikkel, J.; Zhou, C.; Jones, J.L. Investigating Pb diffusion across buried interfaces in Pb(Zr0.2Ti0.8)O3 thin films via time-of-flight secondary ion mass spectrometry depth profiling. Surf. Interface Anal. 2017, 49, 973–977. [Google Scholar] [CrossRef]
- Mukhin, N.; Chigirev, D.; Bakhchova, L.; Tumarkin, A. Microstructure and Properties of PZT Films with Different PbO Content—Ionic Mechanism of Built-In Fields Formation. Materials 2019, 12, 2926. [Google Scholar] [CrossRef] [PubMed] [Green Version]





| Composition | TC (°C) | Tm (°C) | C (°C) | γ |
|---|---|---|---|---|
| 0.0 | 48.8 | 56.4 | 3.63 × 106 | 1.763 |
| 0.1 | 54.6 | 56.0 | 1.14 × 107 | 1.945 |
| 0.5 | 85.0 | 121.1 | 6.10 × 106 | 1.790 |
| 0.7 | 130.0 | 168.6 | 1.21 × 106 | 1.780 |
Publisher’s Note: MDPI stays neutral with regard to jurisdictional claims in published maps and institutional affiliations. |
© 2022 by the authors. Licensee MDPI, Basel, Switzerland. This article is an open access article distributed under the terms and conditions of the Creative Commons Attribution (CC BY) license (https://creativecommons.org/licenses/by/4.0/).
Share and Cite
Zhou, C.; Li, J.; Zhang, X.; Yu, T.; Zhang, Y.; Yang, S. Low-Pb High-Piezoelectric Ceramic System (1−x)Ba(Zr0.18Ti0.82)O3–x(Ba0.78Pb0.22)TiO3. Materials 2022, 15, 4760. https://doi.org/10.3390/ma15144760
Zhou C, Li J, Zhang X, Yu T, Zhang Y, Yang S. Low-Pb High-Piezoelectric Ceramic System (1−x)Ba(Zr0.18Ti0.82)O3–x(Ba0.78Pb0.22)TiO3. Materials. 2022; 15(14):4760. https://doi.org/10.3390/ma15144760
Chicago/Turabian StyleZhou, Chao, Jiajing Li, Xiaoxiao Zhang, Tiantian Yu, Yin Zhang, and Sen Yang. 2022. "Low-Pb High-Piezoelectric Ceramic System (1−x)Ba(Zr0.18Ti0.82)O3–x(Ba0.78Pb0.22)TiO3" Materials 15, no. 14: 4760. https://doi.org/10.3390/ma15144760
APA StyleZhou, C., Li, J., Zhang, X., Yu, T., Zhang, Y., & Yang, S. (2022). Low-Pb High-Piezoelectric Ceramic System (1−x)Ba(Zr0.18Ti0.82)O3–x(Ba0.78Pb0.22)TiO3. Materials, 15(14), 4760. https://doi.org/10.3390/ma15144760
