Experiment and Theoretical Investigation on Fatigue Life Prediction of Fracturing Pumpheads Based on a Novel Stress-Field Intensity Approach
Abstract
:1. Introduction
2. Theoretical Analysis
2.1. Brief Review of Stress-Field Intensity Approach and Characteristic Parameters
2.1.1. Traditional Stress-Field Intensity Approach
2.1.2. Parameters for Critical Fatigue State
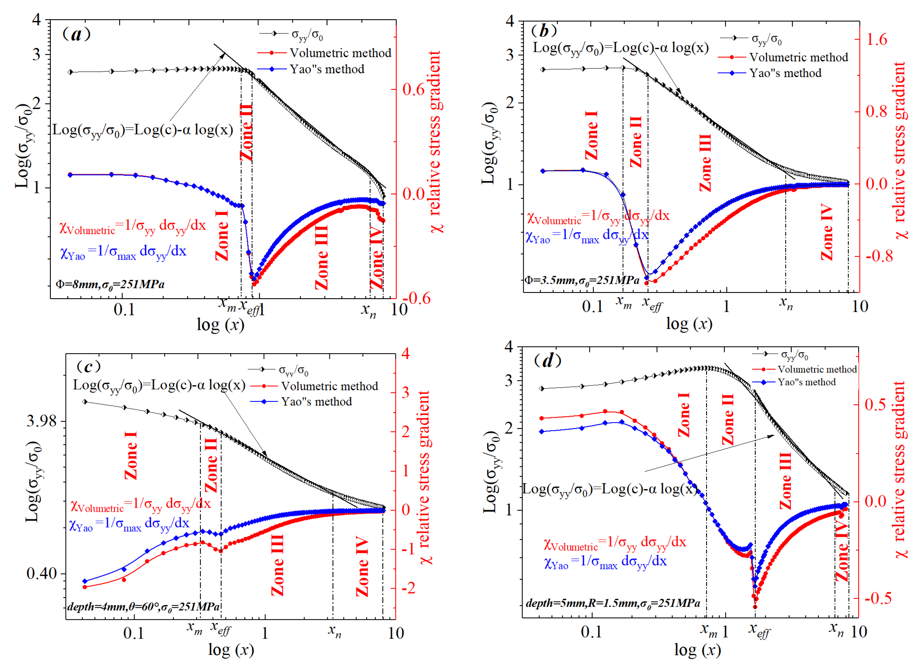
2.2. Determination of Solutions for New Fatigue Failure Regions
2.2.1. Comparison of Stress Gradient Distributions near Different Notch Roots
2.2.2. Summary of Fatigue Damage Failure Area Shapes for Different Notched Specimens
2.3. Improvement of the Stress-Field Intensity Approach
2.3.1. Traditional Stress-Field Intensity Approach
2.3.2. Optimization of the Traditional Stress-Field Intensity Approach
2.4. Hypothesis of the “Cardioid” Fatigue Damage Failure Region
2.4.1. Crescent-Shaped Fatigue Failure Region
2.4.2. Cardioid-Shaped Fatigue Failure Region
2.4.3. Simplification of the Advanced SFI Approach
3. Materials and Experiment
3.1. Specimen Geometry
3.2. S-N Curve Test Procedure
3.2.1. Static Mechanical Properties of Test Material
3.2.2. Uniaxial Test
3.3. S-N Curve Test of Notched Specimens
4. Results and Discussion
4.1. Fatigue Life Verification of Notched Specimens
4.2. Fatigue Life Verification of Pumphead
5. Conclusions
Nomenclatures
| Maximum stress | kt | Stress concentration factor | |
| Stress-field intensity | kf | Fatigue notch factor | |
| Distance to the peak stresspoint | Stress gradient | ||
| Equivalent stress function | Relative stress gradient | ||
| Weight function | Nominal stress | ||
| Weight function with distance r and deviation angle θ | Strain amplitude | ||
| Stress amplitude | R | Field diameter | |
| σn | The load of component weakest region | σU | Ultimate stress |
| σb | Ultimate tensile strength | σmean | Effective stress |
| Range of threshold value for fatigue crack propagation | Range of the fully reverse axial fatigue limit | ||
| Equivalent stress of TCD | The maximum principal stress | ||
| SY | Yield stress | G | Grain size function |
| Obstructive effect | Angular coordinates in Cartesian coordinates | ||
| σyy(r) | Fatigue crack-opening stress | Critical distance | |
| ν | Poisson’s ratio | ||
| Abbreviations | |||
| SFI | Stress-field intensity | TCD | Theory of critical distance method |
| LFEM | Linear elastic fracture mechanics | EPFM | Elastic–plastic fracture mechanics |
| NSM | Nominal stress method | LSSM | Local stress–strain method |
Author Contributions
Funding
Institutional Review Board Statement
Informed Consent Statement
Data Availability Statement
Acknowledgments
Conflicts of Interest
References
- Zhu, W.B. Research on Reciprocating Sealing Performance and Mechanism of Fracturing Pump. Nat. Gas Industry 2006, 60–62, 161–162. [Google Scholar]
- Bokane, A.; Stewart, M.; Sanda, R.; Babar, D.; Katke, N. Personal Safety and Human Factors Risk Assessment during Maintenance of Fracturing Pumps at Well Service Operations. In Proceedings of the International Petroleum Technology Conference, Kuala Lumpur, Malaysia, 10–12 December 2014. [Google Scholar]
- Badr, E.A.; Sorem, J.R.; Tipton, S.M.; Yang, S. An analytical procedure for estimating residual stresses in blocks containing crossbores. Int. J. Press. Vessel. Pip. 2000, 77, 737–749. [Google Scholar] [CrossRef]
- Zanetti, M.; Babini, V.; Meneghetti, G. Definition of nominal stress-based FAT classes of complex welded steel structures using the Peak Stress Method. Procedia Struct. Integr. 2019, 19, 627–636. [Google Scholar] [CrossRef]
- Fomichev, P.A.; Zarutskii, A.V. Fatigue Life Prediction for Specimens with an Open Hole with a Pre-Compressed Boundary Via the Nominal Stresses Under Regular Cyclic Loading. Strength Mater. 2019, 51, 746–752. [Google Scholar] [CrossRef]
- Zhu, S.-P.; He, J.-C.; Liao, D.; Wang, Q.; Liu, Y. The effect of notch size on critical distance and fatigue life predictions. Mater. Des. 2020, 196, 109095. [Google Scholar] [CrossRef]
- He, J.-C.; Zhu, S.-P.; Liao, D. Probabilistic fatigue assessment of notched components under size effect using critical distance theory. Eng. Fract. Mech. 2020, 235, 107150. [Google Scholar] [CrossRef]
- Liao, D.; Zhu, S.-P.; Correia, J.A.; De Jesus, A.M.; Berto, F. Recent advances on notch effects in metal fatigue: A review. Fatigue Fract. Eng. Mater. Struct. 2020, 43, 637–659. [Google Scholar] [CrossRef]
- Susmel, L.; Taylor, D. The Theory of Critical Distances to estimate lifetime of notched components subjected to variable amplitude uniaxial fatigue loading. Int. J. Fatigue 2011, 33, 900–911. [Google Scholar] [CrossRef]
- Adib, H.; Gilgert, J.; Pluvinage, G. Fatigue life duration prediction for welded spots by volumetric method. Int. J. Fatigue 2004, 26, 81–94. [Google Scholar] [CrossRef]
- Esmaeili, F.; Zehsaz, M.; Chakherlou, T.N. Investigation the effect of tightening torque on the fatigue strength of double lap simple bolted and hybrid (bolted–bonded) joints using volumetric method. Mater. Des. 2014, 63, 349–359. [Google Scholar] [CrossRef]
- Sobek, J. Proper Nominal Stress Distribution Subjected to Combination of Wedge-Splitting and Bended Geometry Tests. Procedia Eng. 2017, 190, 406–413. [Google Scholar] [CrossRef]
- Ostash, O.P.; Panasyuk, V.V. Fatigue process zone at notches. Int. J. Fatigue 2001, 23, 627–636. [Google Scholar] [CrossRef]
- Susmel, L.; Taylor, D. An elasto-plastic reformulation of the theory of critical distances to estimate lifetime of notched components failing in the low/medium-cycle fatigue regime. J. Eng. Mater. Technol. 2010, 132, 1–8. [Google Scholar] [CrossRef]
- Susmel, L.; Meneghetti, G.; Atzori, B. A simple and efficient reformulation of the classical manson–coffin curve to predict lifetime under multiaxial fatigue loading-Part II: Notches. J. Eng. Mater. Technol. 2009, 131, 1–9. [Google Scholar] [CrossRef]
- Tanaka, K. Engineering formulae for fatigue strength reduction due to crack-like notches. Int. J. Fract. 1983, 22, 39–46. [Google Scholar] [CrossRef]
- Taylor, D. Analysis of fatigue failures in components using the theory of critical distances. Eng. Fail. Anal. 2005, 12, 906–914. [Google Scholar] [CrossRef]
- El Haddad, M.H.; Dowling, N.E.; Topper, T.H.; Smith, K.N. J integral applications for short fatigue cracks at notches. Int. J. Fract. 1980, 16, 15–30. [Google Scholar] [CrossRef]
- Susmel, L.; Taylor, D. A novel formulation of the theory of critical distances to estimate lifetime of notched components in the medium-cycle fatigue regime. Fatigue Fract. Eng. Mater. Struct. 2007, 30, 567–581. [Google Scholar] [CrossRef]
- Susmel, L.; Taylor, D. The Modified Wöhler Curve Method applied along with the Theory of Critical Distances to estimate finite life of notched components subjected to complex multiaxial loading paths. Fatigue Fract. Eng. Mater. Struct. 2008, 31, 1047–1064. [Google Scholar] [CrossRef]
- Susmel, L.; Taylor, D. Estimating lifetime of notched components subjected to variable amplitude fatigue loading according to the elastoplastic theory of criticaldistances. J. Eng. Mater. Technol. 2015, 137, 1–15. [Google Scholar] [CrossRef]
- Qylafku, G.; Azari, Z.; Kadi, N.; Gjonaj, M.; Pluvinage, G. Application of a new model proposal for fatigue life prediction on notches and key-seats. Int. J. Fatigue 1999, 21, 753–760. [Google Scholar] [CrossRef]
- Qilafku, G.; Kadi, N.; Dobranski, J.; Azari, Z.; Gjonaj, M.; Pluvinage, G. Fatigue of specimens subjected to combined loading: Role of hydrostatic pressure. Int. J. Fatigue 2001, 23, 689–701. [Google Scholar] [CrossRef]
- Adib-Ramezani, H.; Jeong, J.; Pluvinage, G. Structural integrity evaluation of X52 gas pipes subjected to external corrosion defects using the SINTAP procedure. Int. J. Press. Vessel. Pip. 2006, 83, 420–432. [Google Scholar] [CrossRef]
- Meneghetti, G.; Susmel, L.; Tovo, R. High-cycle fatigue crack paths in specimens having different stress concentration features. Eng. Fail. Anal. 2007, 14, 656–672. [Google Scholar] [CrossRef]
- Ostash, O.P.; Panasyuk, V.V.; Kostyka, E.M. Phenomenological model of fatigue macrocrack initiation near stress concentrators. Fatigue Fract. Engng. Mater. Struct. 1999, 22, 161–172. [Google Scholar] [CrossRef]
- Nicholls, D.J.; Martin, J.W. An examination of the reasons for the discrepancy be-tween long and small fatigue cracks in Al-Li alloys. Mat. Sci. Eng. A 1990, 128, 141–145. [Google Scholar] [CrossRef]
- Pineau, A.G.; Pelloux, R.M. Influence of strain-induced martensitic transformations on fatigue crack growth rates in stainless steels. Met. Trans. 1974, 5, 1103–1112. [Google Scholar] [CrossRef]
- Saxena, A.; Antolovich, S.D. Low cycle fatigue, fatigue crack propagation and substructures in a series of polycrystalline cu-Al alloys. Met. Trans. 1975, 6, 1809–1828. [Google Scholar] [CrossRef]
- Park, H.B.; Kim, K.M.; Lee, B.W. Plastic zone size in fatigue cracking. Int. J. Press. Vessel. Pip. 1996, 68, 279–285. [Google Scholar] [CrossRef]
- Bathias, C.; Pelloux, R.M. Fatigue crack propagation in martensitic and austenitic steels. Met. Trans. 1973, 4, 1265–1273. [Google Scholar] [CrossRef] [Green Version]
- Chapetti, M.D.; Miyatab, H.; Tagawab, T.; Miyatab, T.; Fujiokac, M. Fatigue crack propagation behavior in ultra-fine grained low carbon steel. Int. J. Fatigue 2005, 27, 235–243. [Google Scholar] [CrossRef]
- Edmunds, T.M.; Willis, J.R. Matched asymptotic expansions in nonlinear fracture mechanics—III. In-plane loading of an elastic perfectly-plastic symmetric specimen. J. Mech. Phys. Solids 1977, 25, 423–455. [Google Scholar] [CrossRef]
- Taddesse, A.T.; Zhu, S.-P.; Liao, D.; Huang, H.-Z. Cyclic plastic zone modified critical distance theory for notch fatigue analysis of metals. Eng. Fail. Anal. 2021, 121, 105163. [Google Scholar] [CrossRef]
- Taddesse, A.T.; Zhu, S.-P.; Liao, D.; Keshtegar, B. Cyclic plastic zone-based notch analysis and damage evolution model for fatigue life prediction of metals. Mater. Des. 2020, 191, 108639. [Google Scholar] [CrossRef]
- Wu, Y.-L.; Zhu, S.-P. Assessment of notch fatigue and size effect using stress field intensity approach. Int. J. Fatigue 2021, 149, 106279. [Google Scholar] [CrossRef]
- Ai, Y.; Zhu, S.-P.; Liao, D. Probabilistic modelling of notch fatigue and size effect of components using highly stressed volume approach. Int. J. Fatigue 2019, 127, 110–119. [Google Scholar] [CrossRef]
- Liao, D.; Zhu, S.-P.; Keshtegar, B.; Qian, G.; Wang, Q. Probabilistic framework for fatigue life assessment of notched components under size effects. Int. J. Mech. Sci. 2020, 181, 105685. [Google Scholar] [CrossRef]
- Yao, W. Stress field intensity approach for predicting fatigue life. Int. J. Fatigue 1993, 15, 243–245. [Google Scholar]
- Neuber, H. Theory of Notch Stress: Principles for Exact Calculation of Strength with Reference to Structural Form and Material, 2nd ed.; Springer: Berlin/Heidelberg, Germany, 1958. [Google Scholar]
- Peterson, R.E.; Sines, G.; Waisman, J.L. (Eds.) Notch Sensitivity; Metal Fatigue; McGraw Hill: New York, NY, USA, 1959; pp. 293–306. [Google Scholar]
- Berto, F.; Lazzarin, P. The volume-based Strain Energy Density approach applied to static and fatigue strength assessments of notched and welded structures. Procedia Eng. 2009, 1, 155–158. [Google Scholar] [CrossRef] [Green Version]
- Zhao, B.; Song, J.; Xie, L.; Hu, Z.; Chen, J. Surface roughness effect on fatigue strength of aluminum alloy using revised stress field intensity approach. Sci. Rep. 2021, 11, 19279. [Google Scholar] [CrossRef]
- Zeng, Y.; Li, M.; Zhou, Y.; Li, N. Development of a new method for estimating the fatigue life of notched specimens based on stress field intensity. Theor. Appl. Fract. Mech. 2019, 104, 102339. [Google Scholar] [CrossRef]
- Niu, X.-P.; Zhu, S.-P.; He, J.-C.; Shi, K.; Zhang, L. Fatigue reliability design and assessment of reactor pressure vessel structures: Concepts and validation. Int. J. Fatigue 2021, 153, 106524. [Google Scholar] [CrossRef]
- Li, X.-K.; Zhu, S.-P.; Liao, D.; Correia, J.A.F.O.; Berto, F.; Wang, Q. Probabilistic fatigue modelling of metallic materials under notch and size effect using the weakest link theory. Int. J. Fatigue 2022, 159, 106788. [Google Scholar] [CrossRef]
- Zhao, B.; Xie, L.; Song, J.; Ren, J.; Wang, B.; Zhang, S. Fatigue life prediction of aero-engine compressor disk based on a new stress field intensity approach. Int. J. Mech. Sci. 2020, 165, 105190. [Google Scholar] [CrossRef]
- Zhao, H.; Liu, J.; Hua, F.; Ran, Y.; Zi, R.; Li, B. Multiaxial fatigue life prediction model considering stress gradient and size effect. Int. J. Press. Vessel. Pip. 2022, 199, 104703. [Google Scholar] [CrossRef]



















| Reference | Formula |
|---|---|
| Nicholls and Martin [27] | |
| Bathias and Pelloux [31] | |
| Pineau and Pelloux [28] | |
| Saxena and Antolovich [29] | |
| Park et al. [30] | |
| Chapetti et al. [21] | |
| Edmunds and Willis [33] |
| Approach | Authors | Fatigue Damage Region | Influence Factors |
|---|---|---|---|
| Neuber’s and Peterson’s empirical formula | Neuber and Peterson [40,41] | Material constants, a1, a2 | a1, a2 depend on fracture strength σb |
| SED approach | Lazzarin and Berto [42] | Radius of critical volume (area), R0 | R0 depends on the threshold value of fatigue crack propagation, fatigue limit, Poisson’s ratio, and notch shape |
| SFI approach | Yao [41] | depends on grain size | |
| Modified SFI approach | Qylafku [22] | Radius of the fatigue damage field, r | r depends on metallic-plastic deformation |
| TCD and M-TCD | Taylor and Susmel [19] | Intrinsic crack length, l0 | l0 depends on the threshold value of fatigue crack propagation, fatigue limit, and stress ratio |
| Advanced volumetric method | Adib-Ramezani [10] | Effective distance, Xeff | Xeff depends on stress distributions at notch roots |
| Material | Serial Number | Young’s Modulus | Poisson’s Ratio | Yield Stress (sY) | Ultimate Tensile Strength (σb) |
|---|---|---|---|---|---|
| 40Cr Ni2MoV | 1 | 204 GPa | 0.3 | 980 MPa | 1060 MPa |
| 40Cr Ni2MoV | 2 | 204 GPa | 0.3 | 980 + 3 MPa | 1060 + 3 MPa |
| 40Cr Ni2MoV | 3 | 204 GPa | 0.3 | 980 − 2 MPa | 1060 − 3 MPa |
| Material | Stress (Smax, MPa) | Nf (Life) | |||||
|---|---|---|---|---|---|---|---|
| 40CrNi2MoV | Level/count | 1 | 2 | 3 | 4 | 5 | —— |
| 756.3 | 1037 | 1055 | 980 | 957 | 1123 | 1030.4 | |
| 716.5 | 5037 | 4958 | 5968 | 7853 | 6842 | 6131.6 | |
| 636.9 | 35,600 | 25,500 | 20,360 | 31,186 | 32,100 | 28,949.2 | |
| 517.5 | 110,200 | 175,100 | 125,900 | 140,500 | 152,900 | 140,920 | |
| 437.8 | 403,100 | 285,600 | 605,800 | 367,500 | 702,600 | 472,920 | |
| 398.1 | 321,580 | 715,600 | 456,800 | 555,200 | 985,600 | 606,956 | |
| 318.4 | 5,569,800 | 6,771,100 | 7,865,200 | 6.735 × 106 | |||
| Specimen No. | kt | F (kN) | Frequency (Hz) | Nf (Cycles) | Rσ | Median Life |
|---|---|---|---|---|---|---|
| 1-1 | 2 | 20 kN | 10.0 | 62,724 | −1 | 65,215 |
| 1-2 | 2 | 20 kN | 10.0 | 68,563 | −1 | |
| 1-3 | 2 | 20 kN | 10.0 | 64,359 | −1 | |
| 2-1 | 2 | 19 kN | 10.0 | 122,133 | −1 | 134,011 |
| 2-2 | 2 | 19 kN | 10.0 | 134,572 | −1 | |
| 2-3 | 2 | 19 kN | 10.0 | 145,328 | −1 | |
| 3-1 | 2 | 17 kN | 10.0 | 363,235 | −1 | 390,452 |
| 3-2 | 2 | 17 kN | 10.0 | 384,527 | −1 | |
| 3-3 | 2 | 17 kN | 10.0 | 423,596 | −1 | |
| 4-1 | 3 | 10 kN | 10.0 | 6680 | −1 | 6949 |
| 4-2 | 3 | 10 kN | 10.0 | 6899 | −1 | |
| 4-3 | 3 | 10 kN | 10.0 | 7268 | −1 | |
| 5-1 | 3 | 7 kN | 10.0 | 85,362 | −1 | 82,295 |
| 5-2 | 3 | 7 kN | 10.0 | 81,237 | −1 | |
| 5-3 | 3 | 7 kN | 10.0 | 80,198 | −1 | |
| 6-1 | 3 | 5.5 kN | 10.0 | 638,340 | −1 | 576,630 |
| 6-2 | 3 | 5.5 kN | 10.0 | 534,568 | −1 | |
| 6-3 | 3 | 5.5 kN | 10.0 | 556,982 | −1 | |
| 7-1 | 5 | 8 kN | 10.0 | 36,024 | −1 | 37,226 |
| 7-2 | 5 | 8 kN | 10.0 | 45,396 | −1 | |
| 7-3 | 5 | 8 kN | 10.0 | 30,258 | −1 | |
| 8-1 | 5 | 7.5 kN | 10.0 | 104,417 | −1 | 109,131 |
| 8-2 | 5 | 7.5 kN | 10.0 | 109,853 | −1 | |
| 8-3 | 5 | 7.5 kN | 10.0 | 110,123 | −1 | |
| 9-1 | 5 | 6 kN | 10.0 | 190,823 | −1 | 192,826 |
| 9-2 | 5 | 6 kN | 10.0 | 198,095 | −1 | |
| 9-3 | 5 | 6 kN | 10.0 | 189,562 | −1 |
| Stress Concentration Factor | F/kN | Median Life | Novel SFI Approach I | Novel SFI Approach II | Traditional SFI Approach | Traditional TCD (LM) | ||||
|---|---|---|---|---|---|---|---|---|---|---|
| σFI/ MPa | Nf/ Cycles | σFI/ MPa | Nf/ Cycles | σFI/ MPa | Nf/ Cycles | σmean/ MPa | Nf/ Cycles | |||
| kt = 2 | 20 kN | 65,215 | 502.21 | 71,072 | 510.68 | 63,525 | 558.3 | 30,468 | 572.3 | 24,911 |
| 19 kN | 134,011 | 455.36 | 157,695 | 466.16 | 132,202 | 509.5 | 64,033 | 529.5 | 46,846 | |
| 17 kN | 390,452 | 407.71 | 397,452 | 406.18 | 404,984 | 453.2 | 166,555 | 482.6 | 100,499 | |
| kt = 3 | 10 kN | 6949 | 725.55 | 3649 | 706.44 | 4425 | 762.3 | 2428 | 809.2 | 1497 |
| 7 kN | 82,295 | 508.94 | 66,667 | 495.75 | 80,965 | 561.3 | 29,164 | 592.4 | 18,966 | |
| 5.5 kN | 576,630 | 398.06 | 476,335 | 389.29 | 573,213 | 452.1 | 157,535 | 473.8 | 117,128 | |
| kt = 5 | 8 kN | 37,226 | 540.68 | 39,948 | 521.21 | 53,424 | 596.7 | 17,747 | 611.5 | 14,545 |
| 7.5 kN | 109,131 | 478.02 | 107,568 | 469.18 | 125,477 | 530.4 | 46,194 | 562.9 | 28,506 | |
| 6 kN | 192,826 | 425.79 | 279,319 | 416.39 | 332,268 | 472.9 | 117,319 | 498.6 | 77,084 | |
Publisher’s Note: MDPI stays neutral with regard to jurisdictional claims in published maps and institutional affiliations. |
© 2022 by the authors. Licensee MDPI, Basel, Switzerland. This article is an open access article distributed under the terms and conditions of the Creative Commons Attribution (CC BY) license (https://creativecommons.org/licenses/by/4.0/).
Share and Cite
Zeng, Y.; Li, M.; Wu, H.; Li, N.; Zhou, Y. Experiment and Theoretical Investigation on Fatigue Life Prediction of Fracturing Pumpheads Based on a Novel Stress-Field Intensity Approach. Materials 2022, 15, 4413. https://doi.org/10.3390/ma15134413
Zeng Y, Li M, Wu H, Li N, Zhou Y. Experiment and Theoretical Investigation on Fatigue Life Prediction of Fracturing Pumpheads Based on a Novel Stress-Field Intensity Approach. Materials. 2022; 15(13):4413. https://doi.org/10.3390/ma15134413
Chicago/Turabian StyleZeng, Yun, Meiqiu Li, Han Wu, Ning Li, and Yang Zhou. 2022. "Experiment and Theoretical Investigation on Fatigue Life Prediction of Fracturing Pumpheads Based on a Novel Stress-Field Intensity Approach" Materials 15, no. 13: 4413. https://doi.org/10.3390/ma15134413
APA StyleZeng, Y., Li, M., Wu, H., Li, N., & Zhou, Y. (2022). Experiment and Theoretical Investigation on Fatigue Life Prediction of Fracturing Pumpheads Based on a Novel Stress-Field Intensity Approach. Materials, 15(13), 4413. https://doi.org/10.3390/ma15134413

