Characterizing the Phase-Structure and Rheological Response-Behavior of Multi-Walled Carbon Nanotubes Modified Asphalt-Binder
Abstract
:1. Introduction
2. Experimental Plan and Materials Used
2.1. Base Asphalt-Binder (A-70#)
2.2. Carbon Nanotubes (MWCNTs)
2.3. Asphalt-Binder Modification and Sample Preparation
3. Molecular Simulations and Laboratory Testing
3.1. Modeling and Molecular Simulations
3.1.1. Phase-Structure Modeling and Molecular Simulations
3.1.2. Phase-Structure Dynamics and Intermolecular Interactions
3.2. Brookfield Rotational Viscosity (RV) Testing
3.3. Temperature Frequency-Sweep Tests Using the DSR Device
4. Results, Analyses, Synthesis and Discussions
4.1. Intermolecular Interaction Energy Quantification
4.2. Electrostatic Potential Surface Analysis and Characterization
4.3. Phase-Structure Modeling of the Asphalt-Binder Matrix
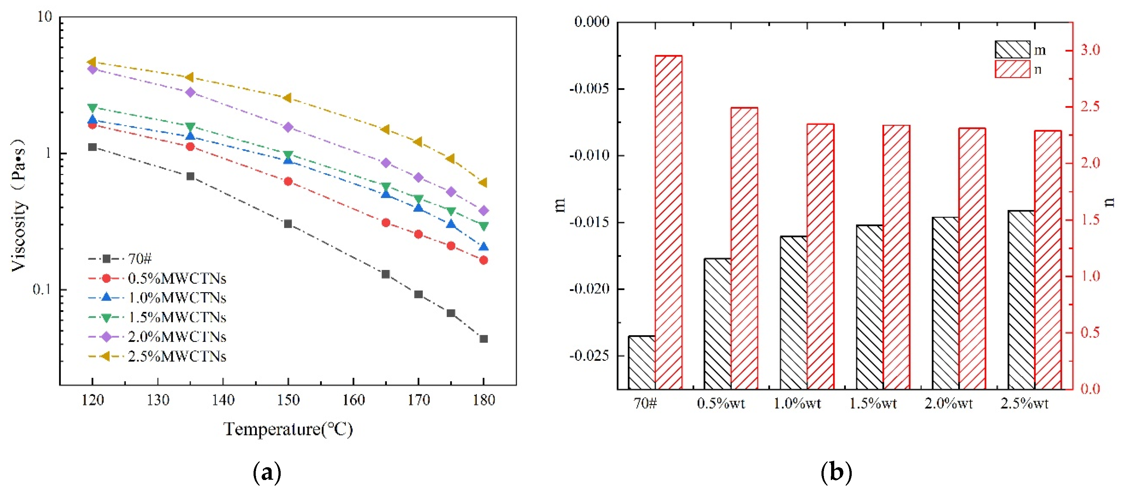
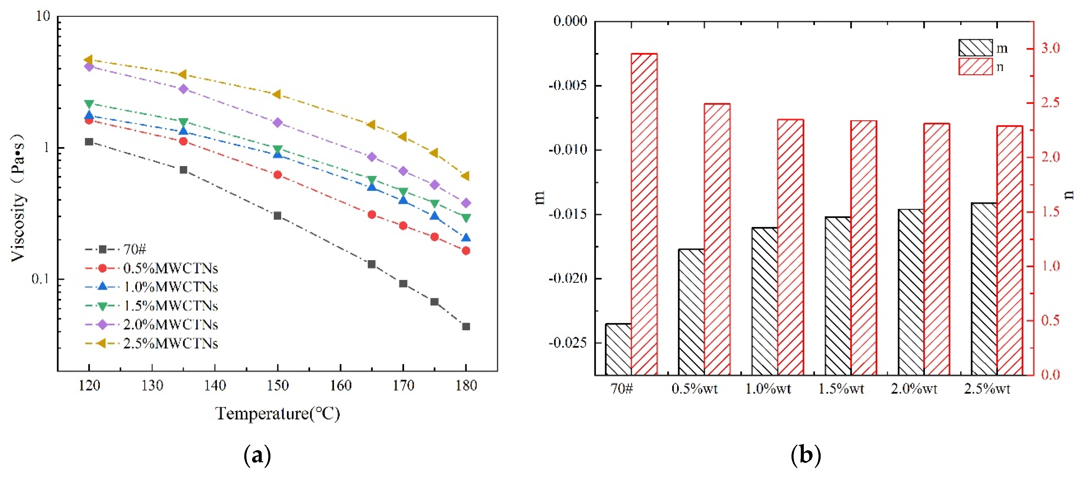
4.4. Viscosity-Temperature Characterization of MWCNTs-MA
4.5. Rheological Response-Behavior of MWCNTs-MA
5. Conclusions and Recommendations
Author Contributions
Funding
Institutional Review Board Statement
Informed Consent Statement
Data Availability Statement
Conflicts of Interest
Abbreviations
| MWCNTs | Multi-walled Carbon Nanotubes |
| MA | modified asphalt-binder |
| BV | Brookfield viscometer |
| DSR | dynamic shear rheology |
| SARA | saturates, aromatics, resins, asphaltenes |
| SBS | styrene-butadiene-styrene |
| SBR | Styrene-Butadiene Rubber |
| EVA | ethylene-vinyl acetate |
| UV | ultraviolet |
| PMB | polymer modified bitumen |
| FT | Fourier Transform |
| RV | Rotational Viscometer |
| RTFOT | Rolling thin film oven test |
| CVD | Chemical vapor deposition |
| MS | Materials Studio |
| CED | Cohesive Energy Density |
| HMA | hot-mix asphalt |
| vdW | Van der Waals |
References
- Kane, M.; Edmondson, V. Long-term skid resistance of asphalt surfacings and aggregates’ mineralogical composition: Generalisation to pavements made of different aggregate types. Wear 2020, 454, 203339. [Google Scholar] [CrossRef]
- Rahman, T.; Dawson, A.; Thom, N. Warm mix asphalt (WMA) for rapid construction in airfield pavement. Constr. Build. Mater. 2020, 246, 118411. [Google Scholar] [CrossRef]
- Hernandez-Fernandez, N.; Underwood, B.S.; Ossa-Lopez, A. Simulation of the asphalt concrete stiffness degradation using simplified viscoelastic continuum damage model. Int. J. Fatigue 2020, 140, 105850. [Google Scholar] [CrossRef]
- Cui, P.; Wu, S.; Xiao, Y.; Yang, C.; Wang, F. Enhancement mechanism of skid resistance in preventive maintenance of asphalt pavement by steel slag based on micro-surfacing. Constr. Build. Mater. 2019, 239, 117870. [Google Scholar] [CrossRef]
- Sengoz, B.; Isikyakar, G. Analysis of styrene-butadiene-styrene polymer modified bitumen using fluorescent microscopy and conventional test methods. J. Hazard. Mater. 2008, 150, 424–432. [Google Scholar] [CrossRef]
- Hu, K.; Han, S.; Liu, Z.; Niu, D. Determination of morphology characteristics of polymer-modified asphalt by a quantification parameters approach. Road Mater. Pavement Des. 2019, 20, 1306–1321. [Google Scholar] [CrossRef]
- Xiang, L.; Cheng, J.; Que, G. Microstructure and performance of crumb rubber modified asphalt. Constr. Build. Mater. 2009, 23, 3586–3590. [Google Scholar] [CrossRef]
- Polacco, G.; Filippi, S.; Merusi, F.; Stastna, G. A review of the fundamentals of polymer-modified asphalts: Asphalt/polymer interactions and principles of compatibility. Adv. Colloid Interface Sci. 2015, 224, 72–112. [Google Scholar] [CrossRef]
- Golestani, B.; Nam, B.H.; Nejad, F.M.; Fallah, S. Nanoclay application to asphalt concrete: Characterization of polymer and linear nanocomposite-modified asphalt binder and mixture. Constr. Build. Mater. 2015, 91, 32–38. [Google Scholar] [CrossRef]
- Hayashi, T.; Kim, Y.A.; Natsuki, T.; Endo, M. Mechanical properties of carbon nanomaterials. Chemphyschem 2007, 8, 999–1004. [Google Scholar] [CrossRef]
- Chen, J.; Yan, L. Effect of carbon nanotube aspect ratio on the thermal and electrical properties of epoxy nanocomposites. Fullerenes Nanotub. Carbon Nanostruct. 2018, 26, 697–704. [Google Scholar] [CrossRef]
- Sarangdevot, K.; Sonigara, B.S. The wondrous world of carbon nanotubes: Structure, synthesis, properties and applications. J. Chem. Pharm. Res 2015, 7, 916–933. [Google Scholar]
- Shu, B.; Wu, S.; Pang, L.; Javilla, B. The utilization of multiple-walled carbon nanotubes in polymer modified bitumen. Materials 2017, 10, 416. [Google Scholar] [CrossRef] [PubMed]
- Khalid, A.; Al-Juhani, A.A.; Al-Hamouz, O.C.; Laoui, T.; Khan, Z.; Atieh, M.A. Preparation and properties of nanocomposite polysulfone/multi-walled carbon nanotubes membranes for desalination. Desalination 2015, 367, 134–144. [Google Scholar] [CrossRef]
- Tarefder, R.A.; Zaman, A. Carbon nanotube modified asphalt binders for sustainable roadways. In Advances in Human Aspects of Transportation; Springer: Berlin/Heidelberg, Germany, 2017; pp. 623–633. [Google Scholar]
- Airey, G.D. Styrene butadiene styrene polymer modification of road bitumens. J. Mater. Sci. 2004, 39, 951–959. [Google Scholar] [CrossRef]
- Airey, G.D. Rheological properties of styrene butadiene styrene polymer modified road bitumens☆. Fuel 2003, 82, 1709–1719. [Google Scholar] [CrossRef]
- Xia, T.; Xu, J.; Huang, T.; He, J.; Zhang, Y.; Guo, J.; Li, Y. Viscoelastic phase behavior in SBS modified bitumen studied by morphology evolution and viscoelasticity change. Constr. Build. Mater. 2016, 105, 589–594. [Google Scholar] [CrossRef]
- Zhao, K.; Wang, Q.Z.; Zhuang, H.Y.; Li, Z.Y.; Chen, G.X. A fully coupled flow deformation model for seismic site response analyses of liquefiable marine sediments. Ocean. Eng. 2022, 251, 111144. [Google Scholar] [CrossRef]
- Zhang, F.; Yu, J. The research for high-performance SBR compound modified asphalt. Constr. Build. Mater. 2010, 24, 410–418. [Google Scholar] [CrossRef]
- González, O.; Peña, J.J.; Muñoz, M.E.; Santamaría, A.; Pérez-Lepe, A.; Martínez-Boza, F.; Gallegos, C. Rheological Techniques as a Tool To Analyze Polymer− Bitumen Interactions: Bitumen Modified with Polyethylene and Polyethylene-Based Blends. Energy Fuels 2002, 16, 1256–1263. [Google Scholar] [CrossRef]
- Wang, S.J.; Tai, D.C. Evaluating indices for low-temperature performance of SBR modified asphalt binder. J. Chang. Univ. 2007, 27, 25–30. [Google Scholar]
- Kumar, P.; Mehndiratta, H.C.; Singh, K.L. Comparative study of rheological behavior of modified binders for high-temperature areas. J. Mater. Civ. Eng. J. Mater. Civ. Eng. 2010, 22, 978–984. [Google Scholar] [CrossRef]
- JTG E20-2011; Standard Test Methods for Bitumen and Bituminous Mixture of Highway Engineering. Ministry of Transport: Beijing, China, 2011.
- JTG E40–2004; Technical Specification for Construction of Highway Asphalt Pavements. Ministry of Transport: Beijing, China, 2004.
- Tian, J.; Guo, L.; Yin, X.; Wu, W. The liquid-phase preparation of graphene by shear exfoliation with graphite oxide as a dispersant. Mater. Chem. Phys. 2018, 223, 1–8. [Google Scholar] [CrossRef]
- ASTM D4124-09; StandardStandard Test Method for Separation of Asphalt into Four Fractions. ASTM International: West Conshohocken, PA, USA, 2018.
- Wang, P.; Dong, Z.; Tan, Y.; Liu, Z. Investigating the interactions of the saturate, aromatic, resin, and asphaltene four fractions in asphalt binders by molecular simulations. Energy Fuels 2015, 29, 112–121. [Google Scholar] [CrossRef]
- Qu, X.; Liu, Q.; Guo, M.; Wang, D.; Oeser, M. Study on the effect of aging on physical properties of asphalt binder from a microscale perspective. Constr. Build. Mater. 2018, 187, 718–729. [Google Scholar] [CrossRef]
- Xu, G.; Wang, H. Molecular dynamics study of oxidative aging effect on asphalt binder properties. Fuel 2017, 188, 1–10. [Google Scholar] [CrossRef]
- Yu, X.; Wang, J.; Si, J.; Mei, J.; Ding, G.; Li, J. Research on compatibility mechanism of biobased cold-mixed epoxy asphalt binder. Constr. Build. Mater. 2020, 250, 118868. [Google Scholar] [CrossRef]
- Weiner, P.K.; Langridge, R.; Blaney, J.M.; Schaefer, R.; Kollman, P.A. Electrostatic potential molecular surfaces. Proc. Natl. Acad. Sci. USA 1982, 79, 3754–3758. [Google Scholar] [CrossRef] [Green Version]
- Walubita, L.F.; Das, G.; Espinoza, E.; Oh, J.; Scullion, T.; Lee, S.I.; Garibay, J.L.; Nazarian, S.; Abdallah, I. Texas Flexible Pavements and Overlays: Year 1 Report, Test Sections, Data Collection, Analyses, and Data Storage System; Texas Transportation Institute: Bryan, TX, USA, 2012. [Google Scholar]
- ASTM D4402/D4402M-15; Standard Test Method for Viscosity Determination of Asphalt at Elevated Temperatures Using a Rotational Viscometer. ASTM International: West Conshohocken, PA, USA, 2015.
- ASTM D7175-15; Standard Test Method for Determining the Rheological Properties of Asphalt Binder Using a Dynamic Shear Rheometer. ASTM International: West Conshohocken, PA, USA, 2015.
- Asphalt Institute. Superpave: Performance Graded Asphalt Binder Specification and Testing; Asphalt Institute: Lexington, KY, USA, 1997. [Google Scholar]
- AASHTO T315-10; Standard Method of Test for Determining the Rheological Properties of Asphalt Binder Using a Dynamic Shear Rheometer (DSR). Transportation Office: Washington, DC, USA, 2010.
- Walubita, L.F.; Lee, S.I.; Faruk, A.N.M.; Scullion, T.; Nazarian, S.; Abdallah, I. Texas Flexible Pavements and Overlays: Year 5 Report-Complete Data Documentation; Texas A&M Transportation Institute: El Paso, TX, USA, 2017. [Google Scholar]
- Margenau, H. Van der Waals forces. Rev. Mod. Phys. 1939, 11, 1. [Google Scholar] [CrossRef]
- Dzyaloshinskii, I.E.; Lifshitz, E.M.; Pitaevskii, L.P. The general theory of van der Waals forces. Adv. Phys. 1961, 10, 165–209. [Google Scholar] [CrossRef]






| Technical Indices | Unit | Specification (JTG F40-2004) | Test Results | |
|---|---|---|---|---|
| Penetration (25 °C, 100 g, 5 s) | 0.1 mm | 60~80 | 61 | |
| Penetration index, PI | — | −1.5~+1.0 | −1.45 | |
| Softening point, TR&B | °C | ≥46 | 46.2 | |
| Ductility (15 °C, 5 cm/min) | cm | ≥100 | >100 | |
| Ductility (10 °C, 5 cm/min) | cm | ≥15 | 22.51 | |
| Density @15 ℃ | g/cm3 | / | 1.043 | |
| Wax content | % | <2.20 | 2.18 | |
| Dynamic viscosity @60 ℃ | Pa∙s | ≥180 | 248 | |
| Kinematic viscosity @135 ℃ | Pa.s | / | 0.418 | |
| After RTFOT (163 ℃, 85 min) | Mass change | % | −0.8~+0.8 | 0.05 |
| Penetration ratio @25 °C | % | ≥61 | 73.85 | |
| Ductility (10 °C, 5 cm/min) | cm | ≥6 | 9 | |
| Item | Values |
|---|---|
| Average length (μm) | 20 |
| Bulk density (g/cm3) | 0.020~0.100 |
| Surface area (m2/g) | 250~300 |
| Average diameter (nm) | 6.0 |
| Young’s modulus (TPa) | ≥1.0 |
| Metal particle content (%) | <1.0 |
| Amorphous carbon content (%) | <1.0 |
| Production method | Chemical vapor deposition (CVD) |
| Inter-Molecular Pair | CED (J/m3) | Einter (kJ/mol) | δ (J/cm3)1/2 |
|---|---|---|---|
| Asphaltenes-asphaltenes | 2.96 × 108 | −756.25 | 17.10 |
| Resins-resins | 2.63 × 108 | −656.12 | 16.20 |
| Saturates-saturates | 1.99 × 108 | −1485.65 | 14.12 |
| Aromatics-aromatics | 2.22 × 108 | −3347.76 | 14.90 |
| MWCNTs-asphaltenes | 2.40 × 108 | −1841.25 | 15.50 |
| MWCNTs-resins | 2.29 × 108 | −2352.62 | 15.12 |
| MWCNTs-saturates | 1.93 × 108 | −3425.25 | 13.89 |
| MWCNTs-aromatics | 1.87 × 108 | −2125.15 | 13.67 |
| Sample | Surface Area (Ų) | Occupied Volume (ų) | Free Volume (ų) |
|---|---|---|---|
| Asphalt-binder | 5103.31 | 8127.41 | 1887.89 |
| 1.0% MWCNTs-MA | 7540.74 | 7424.08 | 5342.92 |
| 1.5% MWCNTs-MA | 8791.06 | 8806.64 | 6712.74 |
| 2.0% MWCNTs-MA | 10,235.24 | 10,190.48 | 8081.27 |
| 2.5% MWCNTs-MA | 11,454.22 | 11,562.91 | 9461.21 |
Publisher’s Note: MDPI stays neutral with regard to jurisdictional claims in published maps and institutional affiliations. |
© 2022 by the authors. Licensee MDPI, Basel, Switzerland. This article is an open access article distributed under the terms and conditions of the Creative Commons Attribution (CC BY) license (https://creativecommons.org/licenses/by/4.0/).
Share and Cite
Li, Y.; Zhang, W.; Yin, C.; Zhang, X. Characterizing the Phase-Structure and Rheological Response-Behavior of Multi-Walled Carbon Nanotubes Modified Asphalt-Binder. Materials 2022, 15, 4409. https://doi.org/10.3390/ma15134409
Li Y, Zhang W, Yin C, Zhang X. Characterizing the Phase-Structure and Rheological Response-Behavior of Multi-Walled Carbon Nanotubes Modified Asphalt-Binder. Materials. 2022; 15(13):4409. https://doi.org/10.3390/ma15134409
Chicago/Turabian StyleLi, Yongyi, Weijie Zhang, Chaoen Yin, and Xiaorui Zhang. 2022. "Characterizing the Phase-Structure and Rheological Response-Behavior of Multi-Walled Carbon Nanotubes Modified Asphalt-Binder" Materials 15, no. 13: 4409. https://doi.org/10.3390/ma15134409
APA StyleLi, Y., Zhang, W., Yin, C., & Zhang, X. (2022). Characterizing the Phase-Structure and Rheological Response-Behavior of Multi-Walled Carbon Nanotubes Modified Asphalt-Binder. Materials, 15(13), 4409. https://doi.org/10.3390/ma15134409

