Non-Doped Deep-Blue OLEDs Based on Carbazole-π-Imidazole Derivatives
Abstract
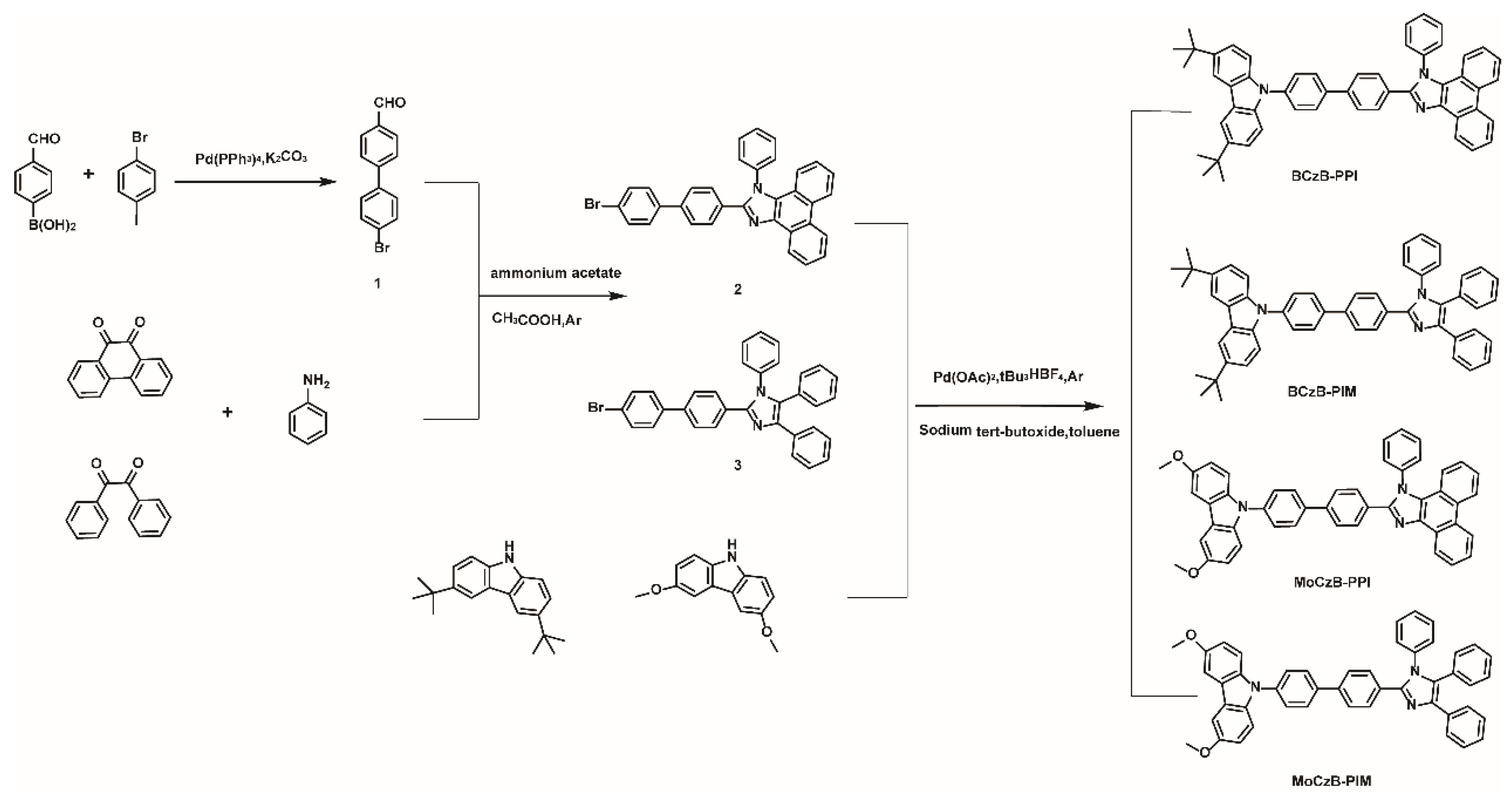
1. Introduction
2. Results and Discussions
3. Conclusions
Supplementary Materials
Author Contributions
Funding
Institutional Review Board Statement
Informed Consent Statement
Data Availability Statement
Acknowledgments
Conflicts of Interest
References
- Yang, X.; Xu, X.; Zhou, G. Recent advances of the emitters for high performance deep-blue organic light-emitting diodes. J. Mater. Chem. C 2015, 3, 913–944. [Google Scholar] [CrossRef]
- Mallesham, G.; Swetha, C.; Niveditha, S.; Mohanty, M.E.; Babu, N.J.; Kumar, A.; Bhanuprakash, K.; Rao, V.J. Phosphine oxide functionalized pyrenes as efficient blue light emitting multifunctional materials for organic light emitting diodes. J. Mater. Chem. C 2015, 3, 1208–1224. [Google Scholar] [CrossRef]
- D’Andrade, B.W.; Forrest, S.R. White organic light-emitting devices for solid-state lighting. Adv. Mater. 2004, 16, 1585–1595. [Google Scholar] [CrossRef]
- Chou, H.H.; Cheng, C.H. A Highly Efficient Universal Bipolar Host for Blue, Green, and Red Phosphorescent OLEDs. Adv. Mater. 2010, 22, 2468. [Google Scholar] [CrossRef] [PubMed]
- Chen, C.H.; Hsu, L.C.; Rajamalli, P.; Chang, Y.W.; Wu, F.I.; Liao, C.Y.; Chiu, M.J.; Chou, P.Y.; Huang, M.J.; Chu, L.K.; et al. Highly efficient orange and deep-red organic light emitting diodes with long operational lifetimes using carbazole-quinoline based bipolar host materials. J. Mater. Chem. C 2014, 2, 6183–6191. [Google Scholar] [CrossRef]
- Fan, C.H.; Sun, P.P.; Su, T.H.; Cheng, C.H. Host and Dopant Materials for Idealized Deep-Red Organic Electrophosphorescence Devices. Adv. Mater. 2011, 23, 2981. [Google Scholar] [CrossRef] [PubMed]
- Jia, Y.; Wu, S.; Zhang, Y.; Fan, S.; Zhao, X.; Liu, H.; Dong, X.; Wang, S.; Li, X. Achieving non-doped deep-blue OLEDs by applying bipolar imidazole derivatives. Org. Electron. 2019, 69, 289–296. [Google Scholar] [CrossRef]
- Jia, Y.; Zhang, Y.T.; Fan, S.G.; Wu, S.; Zhan, X.M.; Wang, S.R.; Li, X.G. A novel bipolar carbazole/ phenanthroimidazole derivative for high efficiency nondoped deep-blue organic light-emitting diodes. Org. Electron. 2019, 64, 259–265. [Google Scholar] [CrossRef]
- Gao, Z.; Wang, Z.; Shan, T.; Liu, Y.; Shen, F.; Pan, Y.; Zhang, H.; He, X.; Lu, P.; Yang, B.; et al. High-efficiency deep blue fluorescent emitters based on phenanthro 9,10-d imidazole substituted carbazole and their applications in organic light emitting diodes. Org. Electron. 2014, 15, 2667–2676. [Google Scholar] [CrossRef]
- Yuan, Y.; Chen, J.-X.; Lu, F.; Tong, Q.-X.; Yang, Q.-D.; Mo, H.-W.; Ng, T.-W.; Wong, F.-L.; Guo, Z.-Q.; Ye, J.; et al. Bipolar Phenanthroimidazole Derivatives Containing Bulky Polyaromatic Hydrocarbons for Nondoped Blue Electroluminescence Devices with High Efficiency and Low Efficiency Roll-Off. Chem. Mater. 2013, 25, 4957–4965. [Google Scholar] [CrossRef]
- Chang, C.-H.; Kuo, M.-C.; Lin, W.-C.; Chen, Y.-T.; Wong, K.-T.; Chou, S.-H.; Mondal, E.; Kwong, R.C.; Xia, S.; Nakagawa, T.; et al. A dicarbazole-triazine hybrid bipolar host material for highly efficient green phosphorescent OLEDs. J. Mater. Chem. 2012, 22, 3832–3838. [Google Scholar] [CrossRef]
- Benor, A.; Takizawa, S.Y.; Perez-Bolivar, C.; Anzenbacher, P. Energy barrier, charge carrier balance, and performance improvement in organic light-emitting diodes. Appl. Phys. Lett. 2010, 96, 3. [Google Scholar] [CrossRef]
- Lee, S.; Kim, K.H.; Limbach, D.; Park, Y.S.; Kim, J.J. Low Roll-Off and High Efficiency Orange Organic Light Emitting Diodes with Controlled Co-Doping of Green and Red Phosphorescent Dopants in an Exciplex Forming Co-Host. Adv. Funct. Mater. 2013, 23, 4105–4110. [Google Scholar] [CrossRef]
- Huang, J.H.; Su, J.H.; Li, X.; Lam, M.K.; Fung, K.M.; Fan, H.H.; Cheah, K.W.; Chen, C.H.; Tian, H. Bipolar anthracene derivatives containing hole- and electron-transporting moieties for highly efficient blue electroluminescence devices. J. Mater. Chem. 2011, 21, 2957–2964. [Google Scholar] [CrossRef]
- Chen, X.; Zhao, J.W.; Zheng, X.H.; Zhu, J.J.; Yang, G.X.; Tang, S.S.; Tong, Q.X.; Tao, S.L. Efficient deep blue OLEDs with extremely low efficiency roll-off at high brightness based on phenanthroimidazole derivatives. Chin. Chem. Lett. 2019, 30, 1989–1993. [Google Scholar] [CrossRef]
- Zhao, L.; Wang, S.; Shao, S.; Ding, J.; Wang, L.; Jing, X.; Wang, F. Stable and efficient deep-blue terfluorenes functionalized with carbazole dendrons for solution-processed organic light-emitting diodes. J. Mater. Chem. C 2015, 3, 8895–8903. [Google Scholar] [CrossRef]
- Huang, Y.; Du, X.; Tao, S.; Yang, X.; Zheng, C.-J.; Zhang, X.; Lee, C.-S. High efficiency non-doped deep-blue and fluorescent/phosphorescent white organic light-emitting diodes based on an anthracene derivative. Synth. Met. 2015, 203, 49–53. [Google Scholar] [CrossRef]
- Fan, S.; You, J.; Miao, Y.; Wang, H.; Bai, Q.; Liu, X.; Li, X.; Wang, S. A bipolar emitting material for high efficient non-doped fluorescent organic light-emitting diode approaching standard deep blue. Dye. Pigment. 2016, 129, 34–42. [Google Scholar] [CrossRef]
- Zhang, Y.T.; Wang, X.; Li, X.G.; Wang, S.R.; Pan, Y.C.; Zhong, Z.M.; Ying, L.; Xiao, Y. A thermally cross-linked hole-transporting film with the remarkable solvent resistance for solution-processed OLEDs. Org. Electron. 2018, 57, 345–351. [Google Scholar] [CrossRef]




| Compound | Td/Tg (°C) | (nm) | (nm) | (nm) | HOMO c (eV) | LUMO c (eV) | Eg d (eV) | τe (ns) | |
|---|---|---|---|---|---|---|---|---|---|
| BCzB-PPI | 478/99 | 344 | 421 | 438 | 96.22 | −5.72 | −2.64 | 3.09 | 1.43 |
| BCzB-PIM | 328/126 | 332,296 | 414 | 422 | 77.45 | −5.92 | −2.81 | 3.12 | 1.37 |
| MoCzB-PPI | 461/129 | 364,308 | 438 | 441 | 92.24 | −5.78 | −2.72 | 3.01 | 2.60 |
| MoCzB-PIM | 394/155 | 338,308 | 430 | 439 | 88.80 | −5.91 | −2.87 | 3.09 | 2.99 |
| Compound | Von a (V) | CEmax b (cd/A) | Lmaxc (cd/m2) | EQE d (%) | λEL e (nm) | CIE f (x,y) |
|---|---|---|---|---|---|---|
| BCzB-PPI | 3.05 | 3.77 | 11,364 | 4.43 | 439 | (0.157, 0.080) |
| BCzB-PIM | 3.11 | 1.70 | 8342 | 1.72 | 437 | (0.159, 0.075) |
| MoCzB-PPI | 3.12 | 1.93 | 11,198 | 1.05 | 477 | (0.255, 0.244) |
| MoCzB-PPI | 3.12 | 1.93 | 11,198 | 1.05 | 477 | (0.255, 0.244) |
| MoCzB-PIM | 7.14 | 0.50 | 722 | 0.34 | 457 | (0.196, 0.216) |
Publisher’s Note: MDPI stays neutral with regard to jurisdictional claims in published maps and institutional affiliations. |
© 2021 by the authors. Licensee MDPI, Basel, Switzerland. This article is an open access article distributed under the terms and conditions of the Creative Commons Attribution (CC BY) license (https://creativecommons.org/licenses/by/4.0/).
Share and Cite
Yu, P.; Xiao, Y. Non-Doped Deep-Blue OLEDs Based on Carbazole-π-Imidazole Derivatives. Materials 2021, 14, 2349. https://doi.org/10.3390/ma14092349
Yu P, Xiao Y. Non-Doped Deep-Blue OLEDs Based on Carbazole-π-Imidazole Derivatives. Materials. 2021; 14(9):2349. https://doi.org/10.3390/ma14092349
Chicago/Turabian StyleYu, Pengfei, and Yin Xiao. 2021. "Non-Doped Deep-Blue OLEDs Based on Carbazole-π-Imidazole Derivatives" Materials 14, no. 9: 2349. https://doi.org/10.3390/ma14092349
APA StyleYu, P., & Xiao, Y. (2021). Non-Doped Deep-Blue OLEDs Based on Carbazole-π-Imidazole Derivatives. Materials, 14(9), 2349. https://doi.org/10.3390/ma14092349
