The Design and Research of a New Hybrid Surface Plasmonic Waveguide Nanolaser
Abstract
1. Introduction
2. Characteristics of Symmetrical Ag-Dielectric-SiO2 Hybrid Waveguide
2.1. Theoretical Model of Waveguide Properties
2.2. Physical Model
2.3. Modeling and Simulation
3. Electric Field Distribution and Characteristic Parameters of Ag-MgF2-SiO2 Hybrid Waveguide
3.1. Electric Field Distribution
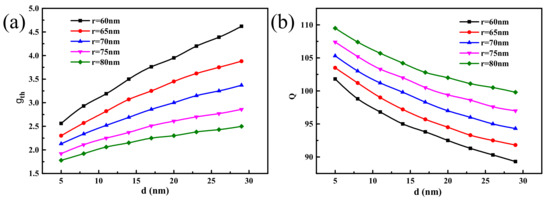
3.2. Discussion of Model Characteristic Parameters
4. Electric Field Distribution and Characteristic Parameters of Ag-Graphene-SiO2 Hybrid Waveguide
4.1. Electric Field Distribution
4.2. Discussion of Model Characteristic Parameters
5. Symmetrical Ag-Graphene-SiO2 Nanostructured Laser Based on the Characteristic Analysis
- (1)
- The numerical aperture is small and the far field divergence angle is large.
- (2)
- Lower power output.
- (3)
- Low luminous efficiency and difficult control of beam quality.
6. Conclusions and Development
- (1)
- The pumping could potentially be developed from optical excitation to electrical injection for easier operation.
- (2)
- The resonator activates the medium from the simple structure of a single nanowire to the complex structure of nanowire array or quantum dots.
- (3)
- In the aspect of existence form, it develops from independent monomer structure to integrated array form.
Author Contributions
Funding
Institutional Review Board Statement
Informed Consent Statement
Data Availability Statement
Acknowledgments
Conflicts of Interest
References
- Chen, Y.; Tong, C.; Qin, L.; Wang, L.; Zhang, J. Progress in surface plasmon polariton nano-laser technologies and applications. Chin. Opt. 2012, 5, 453–463. [Google Scholar] [CrossRef]
- Li, L.; Lan, P.; Liu, X.; He, L.; Zhu, X.; Mücke, O.D.; Lu, P. Method for direct observation of Bloch oscillations in semiconductors. Opt. Express 2018, 26, 23844. [Google Scholar] [CrossRef]
- Lan, P.; Ruhmann, M.; He, L.; Zhai, C.; Wang, F.; Zhu, X.; Zhang, Q.; Zhou, Y.; Li, M.; Lein, M.; et al. Attosecond Probing of Nuclear Dynamics with Trajectory-Resolved High-Harmonic Spectroscopy. Phys. Rev. Lett. 2017, 119, 033201. [Google Scholar] [CrossRef] [PubMed]
- Wang, Z.; Wang, B.; Long, H.; Wang, K.; Lu, P. Surface Plasmonic Lattice Solitons in Semi-Infinite Graphene Sheet Arrays. J. Lightwave Technol. 2017, 35, 2960–2965. [Google Scholar] [CrossRef]
- Solowan, H.P.; Kryschi, C. Design of a Plasmonic Nanolaser. Condens. Matter. 2017, 2, 8. [Google Scholar] [CrossRef]
- Kong, W.; Wan, Y.; Zheng, Z.; Zhao, X.; Liu, Y.; Bian, Y. High-sensitivity sensing based on intensity-interrogated bloch surface wave sensors. Sens. Actuators B Chem. 2014, 193, 467–471. [Google Scholar] [CrossRef]
- Montanari, R.; Pakhomova, E.; Pizzoferrato, R.; Richetta, M.; Varone, A. Laser Pulse Effects on Plasma-Sprayed and Bulk Tungsten. Metals 2017, 7, 454. [Google Scholar] [CrossRef]
- Meng, X.; Kildishev, A.V.; Fujita, K.; Tanaka, K.; Shalaev, V.M. Wavelength-Tunable Spasing in the Visible. Nano Lett. 2013, 13, 4106–4112. [Google Scholar] [CrossRef] [PubMed]
- Samuel, I.D.W.; Turnbull, G.A. Organic Semiconductor Lasers. Chem. Rev. 2007, 107, 1272–1295. [Google Scholar] [CrossRef] [PubMed]
- Xu, L.; Li, F.; Liu, Y.; Yao, F.; Liu, S. Surface Plasmon Nanolaser: Principle, Structure, Characteristics and Applications. Appl. Sci. 2019, 9, 861. [Google Scholar] [CrossRef]
- Zhou, W.; Odom, T.W. Tunable subradiant lattice plasmons by out-of-plane dipolar interactions. Nat. Nanotechnol. 2011, 6, 423. [Google Scholar] [CrossRef]
- Mizuno, T.; Takeuchi, K.; Kaneshima, K.; Ishii, N.; Kanai, T.; Itatani, J. Resonant-Like Field Enhancement by Nanoscale Grating-Coupled Propagating Surface Plasmons and Localized Surface Plasmons in the Mid-Infrared Range: Implications for Ultrafast Plasmonic Electron Sources. ACS Appl. Nano Mater. 2019, 2, 7067–7073. [Google Scholar] [CrossRef]
- Guo, J.; Li, J.; Liu, C.; Yin, Y.; Dai, D. High-performance silicongraphene hybrid plasmonic waveguide photodetectors beyond 1.55 μm. Light Sci. Appl. 2020, 9. [Google Scholar] [CrossRef] [PubMed]
- Bian, Y.; Gong, Q. Highly confined guiding of low-loss plasmon waves in hybrid metal-dielectric slot waveguides. Nanotechnology 2014, 25, 345201. [Google Scholar] [CrossRef]
- Lu, Y.; Kim, J.; Chen, H.; Wu, C.; Dabidian, N.; Sanders, C.E.; Wang, C.; Lu, M.; Li, B.; Qiu, X.; et al. Plasmonic Nanolaser Using Epitaxially Grown Silver Film. Science 2012, 337, 450–453. [Google Scholar] [CrossRef]
- Baburin, A.S.; Ivanov, A.I.; Trofimov, I.V.; Dobronosovaa, A.A.; Melentiev, P.N.; Balykin, V.I.; Moskalev, D.O.; Pishchimova, A.A.; Ganieva, L.A.; Ryzhikov, I.A.; et al. Highly directional plasmonic nanolaser based on high-performance noble metal film photonic crystal. Nanophotonics 2018, 106724D. [Google Scholar] [CrossRef]
- Fong, N.; Menotti, M.; Lisicka-Skrzek, E.; Northfield, H.; Berini, P. Bloch long-range surface plasmon polaritons in metallic stripe waveguides. CLEO Sci. Innov. 2017. [Google Scholar] [CrossRef]
- Wan, Y.; Zheng, Z.; Kong, W.; Zhao, X.; Liu, J. Fiber-to-Fiber Optical Switching Based on Gigantic Bloch-Surface-Wave-Induced Goos–Hanchen Shifts. IEEE Photonics J. 2013, 5, 7200107. [Google Scholar]
- Wan, Y.H.; Zheng, Z.; Shi, X.G.; Bian, Y.S.; Liu, J.S. Hybrid plasmon waveguide leveraging Bloch surface polaritons for sub-wavelength confinement. Sci. China (Technol. Sci.) 2013, 3, 35–40. [Google Scholar] [CrossRef]
- Melentiev, P.; Kalmykov, A.; Gritchenko, A.; Afanasiev, A.; Balykin, V.; Baburin, A.S.; Ryzhova, E.; Filippov, I.; Rodionov, I.A.; Nechepurenko, I.A. Plasmonic nanolaser for intracavity spectroscopy and sensorics. Appl. Phys. Lett. 2017, 111. [Google Scholar] [CrossRef]
- Kong, W.; Wan, Y.; Ni, X.; Zhao, W.; Zheng, Z. Optimizing loss of the dielectric stack for Bloch-surface-wave sensors under different interrogation schemes. J. Mod. Opt. 2017, 64, 407–412. [Google Scholar] [CrossRef]
- Wang, F.; Ke, S.; Qin, C.; Wang, B.; Lu, P. Topological interface modes in graphene multilayer arrays. Opt. Laser Technol. 2018, 103, 272–278. [Google Scholar] [CrossRef]
- Lu, J.; Wei, M.J.; Xu, C.; Wang, S.; Zhu, Z.; Qin, F.; Shi, Z.; Pan, C. Plasmon-induced accelerated exciton recombination dynamics in ZnO/Ag hybrid nanolasers. ACS Photonics 2017. [Google Scholar] [CrossRef]
- Liu, H.; Yu, Y.; Zhong, Y. Hybrid plasmonic waveguides for low-threshold nanolaser applications. Chin. Opt. Lett. 2014. [Google Scholar] [CrossRef]
- Gao, L.; Tang, L.; Hu, F.; Guo, R.; Wang, X.; Zhou, Z. Active metal strip hybrid plasmonic waveguide with low critical material gain. Opt. Express 2012, 20, 11487–11495. [Google Scholar] [CrossRef] [PubMed]
- Chee, J.; Zhu, S.; Lo, G.Q. CMOS compatible polarization splitter using hybrid plasmonic waveguide. Opt. Express 2012, 20, 25345–25355. [Google Scholar] [CrossRef] [PubMed]
- Lu, Q.; Chen, D.; Wu, G. Low-loss hybrid plasmonic waveguide based on metal ridge and semiconductor nanowire. Opt. Commun. 2013, 289, 64–68. [Google Scholar] [CrossRef]
- Oulton, R.F.; Sorger, V.J.; Zentgraf, T.; Ma, R.M.; Gladden, C.; Dai, L.; Bartal, G.; Zhang, X. Plasmon Lasers at Deep Subwavelength Scale. Nature 2009, 461, 629–632. [Google Scholar] [CrossRef] [PubMed]
- Bian, Y.; Zheng, Z.; Liu, Y.; Zhu, J.; Zhou, T. Hybrid Wedge Plasmon Polariton Waveguide with Good Fabrication-Error-Tolerance for Ultra-Deep-Subwavelength Mode Confinement. Opt. Express 2011, 19, 22417–22422. [Google Scholar] [CrossRef]
- Zhang, Q.; Li, G.; Liu, X.; Qian, F.; Li, Y.; Sum, T.C.; Lieber, C.M.; Xiong, Q. A room temperature low-threshold ultraviolet plasmonic nanolaser. Nat. Commun. 2014, 5, 4953. [Google Scholar] [CrossRef]
- Wang, S.L.; Wang, S.; Man, X.K.; Ma, R.M. Loss and gain in a plasmonic nanolaser. Nanophotonics 2020. [Google Scholar] [CrossRef]
- Fornasari, L.; Floris, F.; Patrini, M.; Comoretto, D.; Marabelli, F. Demonstration of fluorescence enhancement via bloch surface waves in all-polymer multilayer structures. Phys. Chem. Chem. Phys. 2016, 18, 14086–14093. [Google Scholar] [CrossRef]
- Toma, K.; Descrovi, E.; Toma, M.; Ballarini, M.; Dostálek, J. Bloch surface wave-enhanced fluorescence biosensor. Biosens. Bioeletron. 2013, 43, 108–114. [Google Scholar] [CrossRef]
- Xiang, Y.; Chen, J.; Zhang, D.; Wang, R.; Kuai, Y.; Lu, F.; Tang, X.; Wang, P.; Ming, H.; Rosenfeld, M. Manipulating Propagation Constants of Silver Nanowire Plasmonic Waveguide Modes Using a Dielectric Multilayer Substrate. Appl. Sci. 2018, 8, 144. [Google Scholar] [CrossRef]
- Sun, W.; Gu, Z.; Xiao, S. Three-dimensional light confinement in a PT-symmetric nanocavity. RSC Adv. 2016, 6, 5792–5796. [Google Scholar] [CrossRef]
- Heiss, D.; Calzadilla, V.M.D.; Fiore, A.; Smit, M.K. Design of a Waveguide-Coupled Nanolaser for Photonic Integration; Integrated Photonics Research, Silicon and Nanophotonics: Rio Grande, PR, USA, 2013. [Google Scholar]
- Zhu, S.; Lo, G.Q.; Kwong, D.L. Performance of ultracompact copper-capped silicon hybrid plasmonic waveguide-ring resonators at telecom wavelengths. Opt. Express 2012, 20, 15232–15246. [Google Scholar] [CrossRef] [PubMed]
- Huang, H.; Zhao, Q.; Jiao, J.; Liang, G.F.; Huang, X.P. Study of plasmonic nanolaser based on the deep subwavelength scale. Acta Phys. Sin. 2013, 62, 135201. [Google Scholar]
- Feng, W.; Qin, C.; Bing, W.; Hua, L.; Lu, P. Rabi Oscillations of Plasmonic Supermodes in Graphene Multilayer Arrays. IEEE J. Sel. Top. Quantum Electron 2017, 23, 125–129. [Google Scholar]
- He, H.; Ke, S.; Bing, W.; Hua, L.; Lu, P. Numerical Study on Plasmonic Absorption Enhancement by a Rippled Graphene Sheet. J. Lightw. Technol. 2017, 35, 320–324. [Google Scholar]
- Wang, K.; Long, H.; Lu, P.; Ke, S. Topological mode switching in a graphene doublet with exceptional points. Opt. Quantum Electron. 2017, 49, 224. [Google Scholar]
- Xu, L.; Li, F.; Liu, S.; Yao, F.; Liu, Y. Low Threshold Plasmonic Nanolaser Based on Graphene. Appl. Sci. 2018, 8, 2186. [Google Scholar] [CrossRef]
- Xu, L.; Fang, L.; Lai, W.; Zhou, J.; Liu, S. Design of Surface Plasmon Nanolaser Based on MoS2. Appl. Sci. 2018, 8, 2110. [Google Scholar] [CrossRef]
- Ma, R.M.; Oulton, R.F.; Sorger, V.J.; Zhang, X. Room temperature plasmon laser by total internal reflection. Nat. Mater. 2011, 10, 110–113. [Google Scholar] [CrossRef]
- Dong, W.; Wang, Z. Improved hybrid plasmonic microcavity laser. Acta Phys. Sin. 2018, 67, 195204. [Google Scholar]
- Xu, Z.; Yu, W.; Xuan, T.; Xu, X.; Liu, L. Study of Surface Plasmon Polariton Waveguide of Silver Nanowire. Acta Opt. Sin. 2016, 36, 0124001. [Google Scholar]
- Guan, C.; Yuan, L.; Shi, J. Microstructured-Fiber Surface Plasmon Resonance Sensor. Acta Opt. Sin. 2011, 31, 0206003. [Google Scholar] [CrossRef]
- Yao, F.; Li, F.; He, Z.; Liu, Y.; Xu, L.; Han, X. Tunable Fano Resonances in an Ultra-Small Gap. Appl. Sci. 2020, 10, 2603. [Google Scholar] [CrossRef]
- He, Z.; Li, F.; Liu, Y.; Yao, F.; Wang, K. Principle and Applications of the Coupling of Surface Plasmons and Excitons. Appl. Sci. 2020, 10, 1774. [Google Scholar] [CrossRef]
- Pan, Z.W.; Dai, Z.; Wang, Z.L. Room-Temperature Ultraviolet Nanowire. Nanolasers 2001, 292, 1897–1899. [Google Scholar]
- Luigi, L.S.; Lucio, V. Near-zero-index wires. Opt. Express 2017, 25, 23699–23708. [Google Scholar]
- Greybush, N.J.; Pacheco-Peña, V.; Engheta, N.; Murray, C.B.; Kagan, C.R. Plasmonic Optical and Chiroptical Response of Self-Assembled Au Nanorod Equilateral Trimers. ACS Nano 2019, 13, 1617–1624. [Google Scholar] [CrossRef] [PubMed]
- Luigi, L.S.; Spooner, C.; Haq, S.; Hao, Y. Curvilinear MetaSurfaces for Surface Wave Manipulation. Sci. Rep. 2019, 9, 1–10. [Google Scholar]
- Lee, I.H.; Yoo, D.; Avouris, P.; Low, T.; Oh, S.H. Graphene acoustic plasmon resonator for ultrasensitive infrared spectroscopy. Nat. Nanotechnol. 2019, 14, 313–319. [Google Scholar] [CrossRef] [PubMed]
- Lalegani, Z.; Ebrahimi, S.A.S.; Hamawandi, B.; Spada, L.L.; Toprak, M.S. Modeling, design, and synthesis of gram-scale monodispersed silver nanoparticles using microwave-assisted polyol process for metamaterial applications. Opt. Mater. 2020, 108, 110381. [Google Scholar] [CrossRef]








Publisher’s Note: MDPI stays neutral with regard to jurisdictional claims in published maps and institutional affiliations. |
© 2021 by the authors. Licensee MDPI, Basel, Switzerland. This article is an open access article distributed under the terms and conditions of the Creative Commons Attribution (CC BY) license (https://creativecommons.org/licenses/by/4.0/).
Share and Cite
Liu, Y.; Li, F.; Xu, C.; He, Z.; Gao, J.; Zhou, Y.; Xu, L. The Design and Research of a New Hybrid Surface Plasmonic Waveguide Nanolaser. Materials 2021, 14, 2230. https://doi.org/10.3390/ma14092230
Liu Y, Li F, Xu C, He Z, Gao J, Zhou Y, Xu L. The Design and Research of a New Hybrid Surface Plasmonic Waveguide Nanolaser. Materials. 2021; 14(9):2230. https://doi.org/10.3390/ma14092230
Chicago/Turabian StyleLiu, Yahui, Fang Li, Cheng Xu, Zhichong He, Jie Gao, Yunpeng Zhou, and Litu Xu. 2021. "The Design and Research of a New Hybrid Surface Plasmonic Waveguide Nanolaser" Materials 14, no. 9: 2230. https://doi.org/10.3390/ma14092230
APA StyleLiu, Y., Li, F., Xu, C., He, Z., Gao, J., Zhou, Y., & Xu, L. (2021). The Design and Research of a New Hybrid Surface Plasmonic Waveguide Nanolaser. Materials, 14(9), 2230. https://doi.org/10.3390/ma14092230
