Identification of the Constitutive Model Parameters by Inverse Optimization Method and Characterization of Hot Deformation Behavior for Ultra-Supercritical Rotor Steel
Abstract
1. Introduction
2. Experimental Materials and Methods
3. Experimental Result Analysis of X12 Ferritic Heat-Resistant Steel
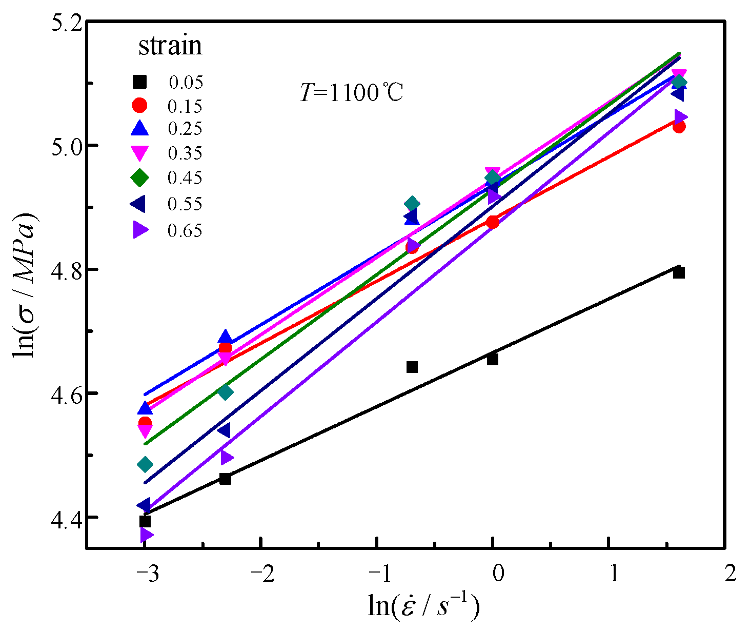
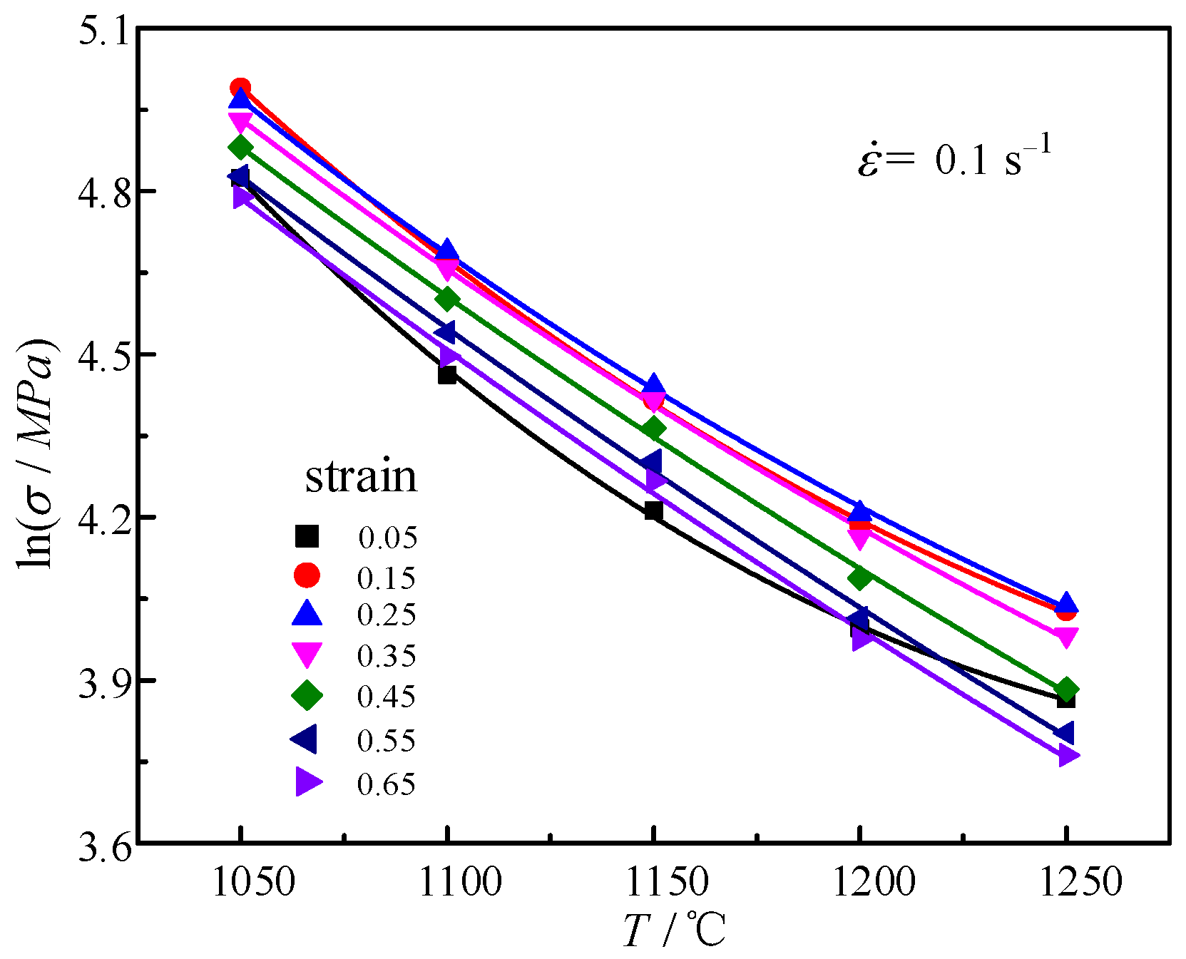
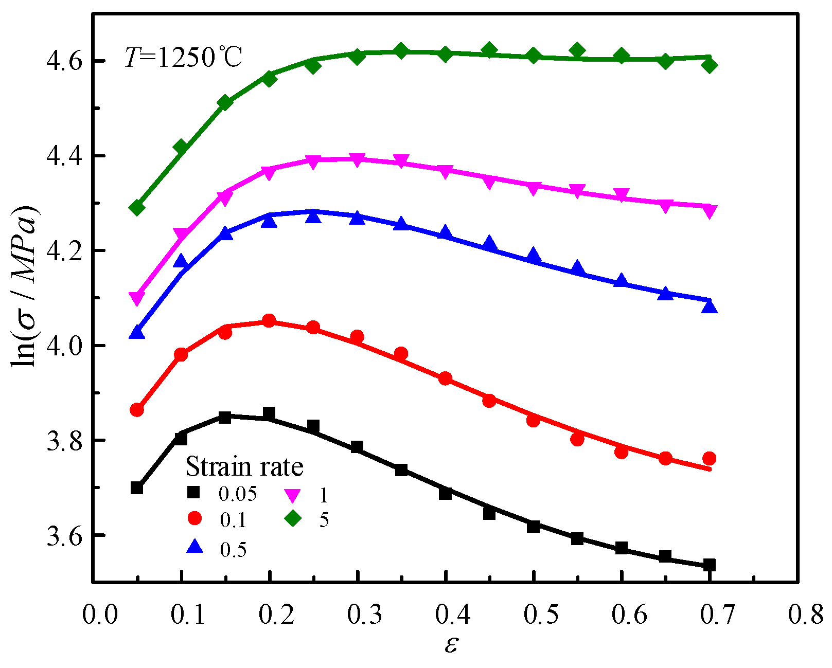
3.1. Influence of Process Parameters on Flow Stress
3.2. Hansel–Spittel Constitutive Model of X12 Ferritic Heat-Resistant Steel
3.2.1. Identification of Hansel–Spittel Constitutive Model Parameters Using Traditional Calibration Method
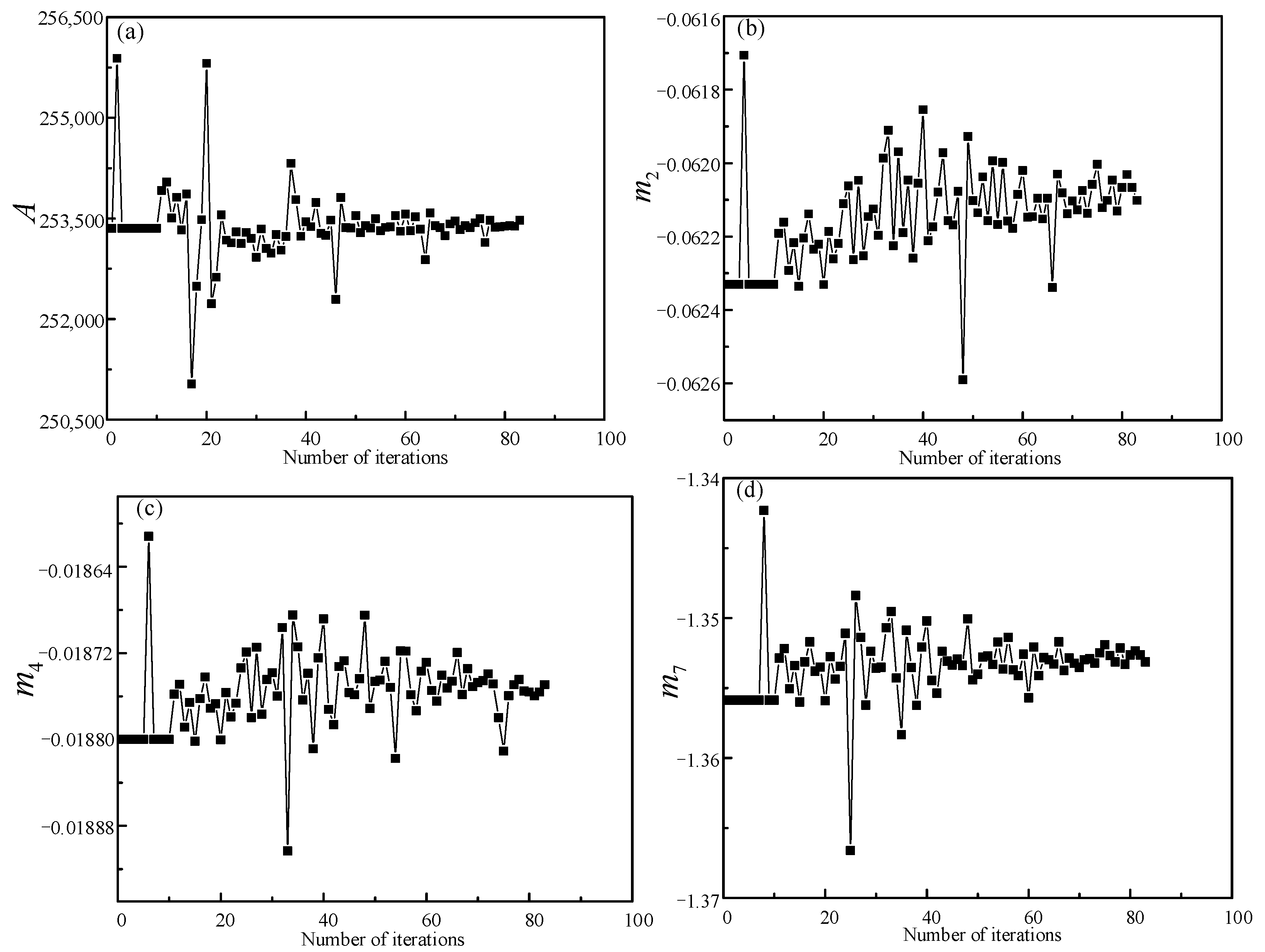
3.2.2. Identification of Hansel–Spittel Constitutive Model Parameters of X12 Ferritic Heat-Resistant Steel Using Reverse Optimization Method
3.3. Validation of Constitutive Model for X12 Ferritic Heat-Resistant Steel
3.4. Comparison between Numerical and Experimental Results in Compression Test
3.5. Hot Processing Maps of X12 Ferritic Heat-Resistant Steel
3.6. Mechanism of Microstructure Evolution of Characteristic Region in Hot Processing Map of X12 Ferritic Heat-Resistant Steel
4. Conclusions
Author Contributions
Funding
Institutional Review Board Statement
Informed Consent Statement
Data Availability Statement
Conflicts of Interest
References
- Blaes, N.; Donth, B.; Bokelmann, D. High chromium steel forgings for steam turbines at elevated temperatures. Energy Mater. 2007, 2, 207–213. [Google Scholar] [CrossRef]
- Scarlin, B.; Kem, T.U.; Sstaubli, M. The European Efforts in Materials Development for 650 °C USC Power Plants-COST 522. ISIJ Int. 2002, 42, 1515–1519. [Google Scholar]
- Nakamura, Y.; Mikami, M.; Wakeshima, Y. Influence of heat treatment conditions on microstructures of 12%Cr turbine rotor. In Proceedings of the 16th International Forgemasters Meeting (IFM 2006), Sheffield, UK, 15–19 October 2006. [Google Scholar]
- Johnson, G.R.; Cook, W.H. A constitutive model and data for metals subjected to large strains, high strain rates and high temperatures. Eng. Fract. Mech. 1983, 21, 541–548. [Google Scholar]
- Laasraoui, A.; Jonas, J.J. Prediction of steel flow stresses at high temperatures and strain rates. Met. Mater. Trans. A 1991, 22, 1545–1558. [Google Scholar] [CrossRef]
- Laasraoui, A.; Jonas, J.J. Recrystallization of austenite after deformation at high temperatures and strain rates-Analysis and modeling. Met. Mater. Trans. A 1991, 22, 151–160. [Google Scholar] [CrossRef]
- Sellars, C.M. Modelling microstructural development during hot rolling. Mater. Sci. Technol. 1990, 6, 1072–1081. [Google Scholar] [CrossRef]
- Sellars, C.M. Computer modeling of hot-working processes. Mater. Sci. Technol. 1985, 1, 325–332. [Google Scholar] [CrossRef]
- Sellars, C.M.; Mctegart, W.J. On the mechanism of hot deformation. Acta Met. 1966, 14, 1136–1138. [Google Scholar] [CrossRef]
- Jonas, J.J.; Sellars, C.M.; Tegart, W.J.M. Strength and structure under hot-working conditions. Metall. Rev. 1969, 14, 1–24. [Google Scholar] [CrossRef]
- Hansel, A.; Spittel, T. Kraft-und Arbeitsbedarf Bildsamer Formgebungsverfahren; Deutscher Verlag für Grundstoffindustrie: Leipzig, Germany, 1978; pp. 336–360. [Google Scholar]
- Liang, Z.; Zhang, Q.; Niu, L.; Luo, W. Hot Deformation Behavior and Processing Maps of As-Cast Hypoeutectic Al-Si-Mg Alloy. J. Mater. Eng. Perform. 2019, 28, 4871–4881. [Google Scholar] [CrossRef]
- Chadha, K.; Shahriari, D.; Jahazi, M. An Approach to Develop Hansel–Spittel Constitutive Equation during Ingot Breakdown Operation of Low Alloy Steels. Frontiers in Materials Processing, Applications, Research and Technology; Springer: Berlin/Heidelberg, Germany, 2018; pp. 239–246. [Google Scholar]
- Silva, M.L.N.; Pires, G.H.; Button, S.T. Damage evolution during cross wedge rolling of steel DIN 38MnSiVS5. Procedia Eng. 2011, 10, 752–757. [Google Scholar] [CrossRef]
- Chen, X.; Wang, N.; Ma, X. Hot deformation behaviour and Hansel-Spittel constitutive model of Cr5 alloy for heavy backup roll. Int. J. Comput. Mater. Sci. Surf. Eng. 2018, 7, 205. [Google Scholar] [CrossRef]
- Zhai, R.; Wang, W.; Ma, R.; Zhang, S.; Ma, S.; Li, L.; Gong, S.; Zhang, H. Hot Deformation Behavior and Processing Map of As-Cast 40CrNiMo Alloy Steel. J. Mater. Eng. Perform. 2020, 29, 964–974. [Google Scholar] [CrossRef]
- Zhou, X.; Ma, W.; Feng, C. Flow stress modeling, processing maps and microstructure evolution of 05Cr17Ni4Cu4Nb Martensitic stainless steel during hot plastic deformation. Mater. Res. Express. 2020, 7, 046518. [Google Scholar] [CrossRef]
- Abbasi, M.; Ketabchi, M.; Izadkhah, H. Identification of GTN model parameters by application of response surface method-ology. Procedia Eng. 2011, 10, 415–420. [Google Scholar] [CrossRef]
- Lauro, F.; Bennani, B.; Croix, P. Identification of the damage parameters for anisotropic materials by inverse technique: Application to an aluminium. J. Mater. Process. Technol. 2001, 118, 472–477. [Google Scholar] [CrossRef]
- Prasad, Y.V.R.K.; Gegel, H.L.; Doraivelu, S.M.; Malas, J.C.; Morgan, J.T.; Lark, K.A.; Barker, D.R. Modeling of dynamic material behavior in hot deformation: Forging of Ti-6242. Met. Mater. Trans. A 1984, 15, 1883–1892. [Google Scholar] [CrossRef]
- Wang, H.; Liu, D.; Wang J, G. Characterization of hot deformation behavior of 30Si2MnCrMoVE low-alloying ul-tra-high-strength steel by constitutive equations and processing maps. J. Iron. Steel. Res. Int. 2020, 27, 807–819. [Google Scholar] [CrossRef]
- Zhao, C.; Zhang, J.; Yang, B.; Li, Y.F.; Huang, J.F.; Lian, Y. Hot Deformation Characteristics and Processing Map of 1Cr12Ni2Mo2WVNb Martensitic Stainless Steel. Steel Res. Int. 2020, 91. [Google Scholar] [CrossRef]
- Chen, X.; Du, Y.; Lian, T.; Du, K.; Huang, T. Hot Workability of Ultra-Supercritical Rotor Steel Using a 3-D Processing Map Based on the Dynamic Material Model. Materials 2020, 13. [Google Scholar] [CrossRef]
- Ban, Y.J.; Zhang, Y.; Tian, B.; Jia, Y.; Song, K.; Li, X.; Zhou, M.; Liu, Y.; Volinsky, A.A. Microstructure Evolution in Cu-Ni-Co-Si-Cr Alloy During Hot Compression by Ce Addition. Materials 2020, 13, 3186. [Google Scholar] [CrossRef] [PubMed]
- Shi, C.J.; Mao, W.M.; Chen, X.G. Evolution of activation energy during hot deformation of AA7150 aluminum alloy. Mater. Sci. Eng. A 2013, 517, 83–91. [Google Scholar] [CrossRef]
- Sun, Z.C.; Zheng, L.S.; Yang, H. Softening mechanism and microstructure evolution of as-extruded 7075 aluminum alloy during hot deformation. Mater. Charact. 2014, 90, 71–80. [Google Scholar] [CrossRef]
- Dharmendra, C.; Rao, K.P.; Prasad, Y.V.R.K.; Hort, N.; Kainer, K.U. Hot workability analysis with processing map and texture characteristics of as-cast TX32 magnesium alloy. J. Mater. Sci. 2013, 48, 5236–5246. [Google Scholar] [CrossRef]
- Ahamed, H.; Senthilkumar, V. Hot deformation behavior of mechanically alloyed Al6063/0.75Al2O3/0.75Y2O3 nano-composite-a study using constitutive modeling and processing map. Mater. Sci. Eng. A 2012, 539, 349–359. [Google Scholar] [CrossRef]
- Senthilkumar, V.; Balaji, A.; Narayanasamy, R. Analysis of hot deformation behavior of Al 5083-TiC nanocomposite using constitutive and dynamic material models. Mater. Des. 2012, 37, 102–110. [Google Scholar] [CrossRef]
- Sakai, T.; Belyakov, A.; Kaibyshev, R.; Miura, H.; Jonas, J.J. Dynamic and post-dynamic recrystallization under hot, cold and severe plastic deformation conditions. Prog. Mater. Sci. 2014, 60, 130–207. [Google Scholar] [CrossRef]
- Hajad, M.; Tangwarodomnukun, V.; Jaturanonda, C.; Dumkum, C. Laser cutting path optimization using simulated annealing with an adaptive large neighborhood search. Int. J. Adv. Manuf. Technol. 2019, 103, 781–792. [Google Scholar] [CrossRef]
- Mandal, S.; Rakesh, V.; Sivaprasad, P.V. Constitutive equations to predict high temperature flow stress in a Ti-modified aus-tenitic stainless steel. Mater. Sci. Eng. A 2009, 500, 114–121. [Google Scholar] [CrossRef]
- Wei, G.B.; Peng, X.D. Constitutive modeling of Mg–9Li–3Al–2Sr–2Y at elevated temperatures. Mech. Mater. 2015, 89, 241–253. [Google Scholar] [CrossRef]
- Mosleh, A.O.; Mestre-Rinn, P.; Khalil, A.M.; Kotov, A.D.; Mikhaylovskaya, A.V. Modelling approach for predicting the superplastic deformation behaviour of titanium alloys with strain hardening/softening characterizations. Mater. Res. Express 2020, 7, 016504. [Google Scholar] [CrossRef]
- Gegel, H.L.; Malas, J.C.; Doraivelu, S.M. Moldeling techniques used in forging process design. In Metals Handbook; ASM: Geauga County, OH, USA, 1988; pp. 417–438. [Google Scholar]
- Ziegler, H. Progress in Solid Mechanics; Wiley Press: New York, NY, USA, 1963; pp. 93–98. [Google Scholar]
- Srinivasan, N.; Prasad, Y. Microstructural control in hot working of IN-718 superalloy using processing map. Met. Mater. Trans. A 1994, 25, 2275–2284. [Google Scholar] [CrossRef]
- Guo, L.G.; Yan, S.; Yang, H.; Zhang, J. Processing map of as-cast 7075 aluminum alloy for hot working. Chin. J. Aeronaut. 2015, 28, 1774–1883. [Google Scholar] [CrossRef]
- Zhu, Y.C.; Zeng, W.D.; Feng, F.; Sun, Y.; Han, Y.; Zhou, Y. Characterization of hot deformation behavior of as-cast TC21 titanium alloy using processing map. Mater. Sci. Eng. A 2011, 528, 1757–1763. [Google Scholar] [CrossRef]
- Kumar, K.B.; Saxena, K.K. Processing map-microstructure evolution correlation hot compressed near alpha titanium alloy (TiHy 600). J. Alloys Compd. 2017, 691, 906–913. [Google Scholar]





















| C | Cr | Mo | Nb | V | W | Ni | Mn | N |
|---|---|---|---|---|---|---|---|---|
| 0.188 | 11 | 1.029 | 0.069 | 0.207 | 0.95 | 0.744 | 0.42 | 0.055 |
| A | m1 | m2 | m3 | m4 | m5 | m7 | m8 | m9 |
|---|---|---|---|---|---|---|---|---|
| 2.5347 × 105 | −4.253 × 10−3 | −0.0621 | −0.2955 | −0.01875 | 0.0015 | −1.3531 | 3.8 × 10−4 | −0.4075 |
Publisher’s Note: MDPI stays neutral with regard to jurisdictional claims in published maps and institutional affiliations. |
© 2021 by the authors. Licensee MDPI, Basel, Switzerland. This article is an open access article distributed under the terms and conditions of the Creative Commons Attribution (CC BY) license (https://creativecommons.org/licenses/by/4.0/).
Share and Cite
Chen, X.; Du, Y.; Du, K.; Lian, T.; Liu, B.; Li, Z.; Zhou, X. Identification of the Constitutive Model Parameters by Inverse Optimization Method and Characterization of Hot Deformation Behavior for Ultra-Supercritical Rotor Steel. Materials 2021, 14, 1958. https://doi.org/10.3390/ma14081958
Chen X, Du Y, Du K, Lian T, Liu B, Li Z, Zhou X. Identification of the Constitutive Model Parameters by Inverse Optimization Method and Characterization of Hot Deformation Behavior for Ultra-Supercritical Rotor Steel. Materials. 2021; 14(8):1958. https://doi.org/10.3390/ma14081958
Chicago/Turabian StyleChen, Xuewen, Yuqing Du, Kexue Du, Tingting Lian, Bingqi Liu, Zhipeng Li, and Xudong Zhou. 2021. "Identification of the Constitutive Model Parameters by Inverse Optimization Method and Characterization of Hot Deformation Behavior for Ultra-Supercritical Rotor Steel" Materials 14, no. 8: 1958. https://doi.org/10.3390/ma14081958
APA StyleChen, X., Du, Y., Du, K., Lian, T., Liu, B., Li, Z., & Zhou, X. (2021). Identification of the Constitutive Model Parameters by Inverse Optimization Method and Characterization of Hot Deformation Behavior for Ultra-Supercritical Rotor Steel. Materials, 14(8), 1958. https://doi.org/10.3390/ma14081958
