Preparation and Electrochemical Properties of LiNi2/3Co1/6Mn1/6O2 Cathode Material for Lithium-Ion Batteries
Abstract
1. Introduction
2. Experimental
2.1. Preparation of the Samples
2.2. Materials Characterization
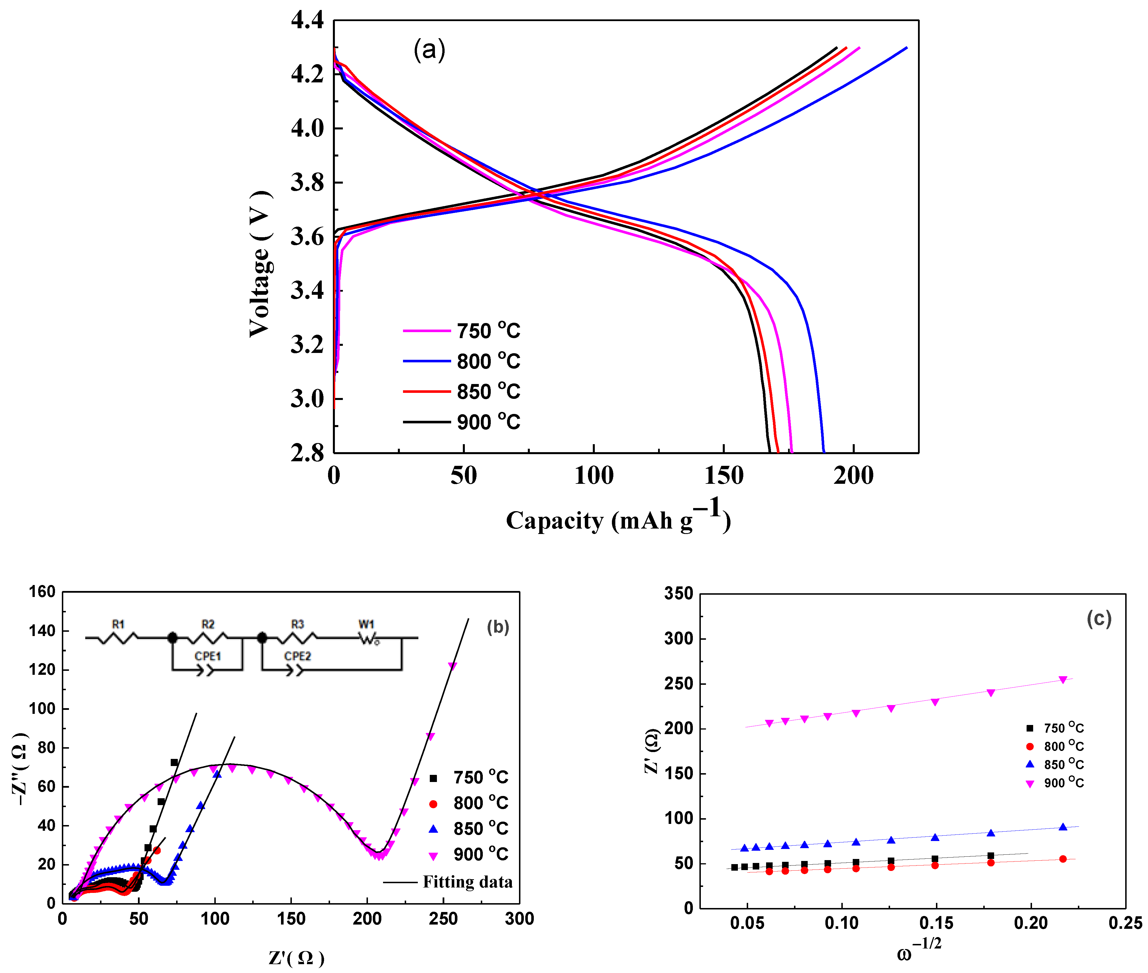
3. Results and Discussion
4. Conclusions
Author Contributions
Funding
Institutional Review Board Statement
Informed Consent Statement
Data Availability Statement
Conflicts of Interest
References
- Liu, W.; Oh, P.; Liu, X.; Lee, M.-J.; Cho, W.; Chae, S.; Kim, Y.; Cho, J. Nickel-rich layered lithium transition-metal oxide for high-energy lithium-ion batteries. Angew. Chem. 2015, 54, 4440–4457. [Google Scholar] [CrossRef]
- Manthiram, A.; Knight, J.C.; Myung, S.-T.; Oh, S.-M.; Sun, Y.-K. Nickel-rich and lithium-rich layered oxide cathodes: Progress and perspectives. Adv. Energy Mater. 2016, 6, 1501010. [Google Scholar] [CrossRef]
- Noh, H.-J.; Youn, S.; Yoon, C.S.; Sun, Y.-K. Comparison of the structural and electrochemical properties of layered Li[NixCoyMnz]O2 (x = 1/3, 0.5, 0.6, 0.7, 0.8 and 0.85) cathode material for lithium-ion batteries. J. Power Sources 2013, 233, 121–130. [Google Scholar] [CrossRef]
- Ma, L.; Nie, M.; Xia, J.; Dahn, J.R. A systematic study on the reactivity of different grades of charged Li[NixMnyCoz]O2 with electrolyte at elevated temperatures using accelerating rate calorimetry. J. Power Sources 2016, 327, 145–150. [Google Scholar] [CrossRef]
- Biasi, L.; Kondrakov, A.O.; Geßwein, H.; Brezesinski, T.; Hartmann, P.; Janek, J. Between Scylla and Charybdis: Balancing among structural stability and energy density of layered NCM cathode materials for advanced lithium-ion batteries. J. Phys. Chem. C 2017, 121, 26163–26171. [Google Scholar] [CrossRef]
- Li, W.; Liu, X.; Xie, Q.; You, Y.; Chi, M.; Manthiram, A. Long-term cyclability of NCM-811 at high voltages in lithium-ion batteries: An in-depth diagnostic study. Chem. Mater. 2020, 32, 7796–7804. [Google Scholar] [CrossRef]
- Lee, W.; Muhammad, S.; Kim, T.; Kim, H.; Lee, E.; Jeong, M.; Son, S.; Ryou, J.-H.; Yoon, W.-S. New insight into Ni-rich layered structure for next-generation Li rechargeable batteries. Adv. Energy Mater. 2018, 8, 1701788. [Google Scholar] [CrossRef]
- Min, K.; Kim, K.; Jung, C.; Seo, S.-W.; Song, Y.Y.; Lee, H.S.; Shin, J.; Cho, E. A comparative study of structural changes in lithium nickel cobalt manganese oxide as a function of Ni content during delithiation process. J. Power Sources 2016, 15, 111–119. [Google Scholar] [CrossRef]
- Kim, N.Y.; Yim, T.; Song, J.H.; Yu, J.-S.; Lee, Z. Microstructural study on degradation mechanism of layered LiNi0.6Co0.2Mn0.2O2 cathode materials by analytical transmission electron microscopy. J. Power Sources 2016, 307, 641–648. [Google Scholar] [CrossRef]
- Wei, Y.; Zheng, J.; Cui, S.; Song, X.; Su, Y.; Deng, W.; Wu, Z.; Wang, X.; Wang, W.; Rao, M.; et al. Kinetics tuning of Li-ion diffusion in layered Li(NixMnyCoz)O2. J. Am. Chem. Soc. 2015, 137, 8364–8367. [Google Scholar] [CrossRef]
- Heo, K.; Lee, J.-S.; Kim, H.-S.; Kim, J.; Lim, J. Enhanced electrochemical performance of ionic-conductor coated Li[Ni0.7Co0.15Mn0.15]O2. J. Electrochem. Soc. 2017, 164, A2398. [Google Scholar] [CrossRef]
- Tao, H.; Yun, L.; Su, Y.; Bao, L.; Jing, T.; Lai, C.; Zhang, Q.; Li, W.; Shi, C.; Feng, W. Sufficient utilization of Zr4+ on improving the structure and surface property of the Ni-rich cathode materials for lithium ion batteries. ChemSusChem 2018, 11, 1639–1648. [Google Scholar]
- Wang, L.; Li, J.; He, X.; Pu, W.; Wan, C.; Jiang, C. Recent advances in layered LiNixCoyMn1−x−yO2 cathode materials for lithium ion batteries. J. Solid State Electrochem. 2009, 13, 1157–1164. [Google Scholar] [CrossRef]
- Saavedra-Arias, J.J.; Rao, C.V.; Shojan, J.; Manivannan, A.; Torres, L.; Ishikawa, Y.; Katiyar, R.S. A combined first-principles computational/experimental study on LiNi0.66Co0.17Mn0.17O2 as a potential layered cathode material. J. Power Sources 2012, 211, 12–18. [Google Scholar] [CrossRef]
- Kim, Y. First-principles investigation of the structural characteristics of LiMO2 cathode materials for lithium secondary batteries. J. Mol. Struct. 2015, 1099, 317–322. [Google Scholar] [CrossRef]
- Cheng, C.; Tan, L.; Hua, A.; Liu, H.; Huang, X. Synthesis of LiNi0.65Co0.25Mn0.1O2 as cathode material for lithium-ion batteries by rheological phase method. J. Alloys Compd. 2010, 506, 888–891. [Google Scholar] [CrossRef]
- Cui, P.; Liang, Y. Synthesis and electrochemical properties of a new layered cathode material LiNi1/2Mn1/3V1/6O2. Electrochim. Acta 2012, 83, 183–187. [Google Scholar] [CrossRef]
- Li, L.; Feng, C.; Zheng, H.; He, P.; Wang, J. Synthesis and electrochemical properties of LiNi1/3Co1/3Mn1/3O2 cathode material. J. Electron. Mater. 2014, 43, 3508–3513. [Google Scholar] [CrossRef]
- Zhan, X.W.; Gao, S.; Cheng, Y.T. Influence of annealing atmosphere on Li2ZrO3-coated LiNi0.6Co0.2Mn0.2O2 and its high-voltage cycling performance. Electrochim. Acta 2019, 300, 36–44. [Google Scholar] [CrossRef]
- Ran, Q.; Zhao, H.; Wang, Q.; Shu, X.; Hu, Y.; Hao, S.; Wang, M.; Liu, J.; Zhang, M.; Li, H. Dual functions of gradient phosphate polyanion doping on improving the electrochemical performance of Ni-rich LiNi0.6Co0.2Mn0.2O2 cathode at high cut-off voltage and high temperature. Electrochim. Acta 2019, 299, 971–978. [Google Scholar] [CrossRef]
- Liu, W.; Li, X.; Xiong, D.; Hao, Y.; Li, J.; Kou, H.; Yan, B.; Li, D.; Lu, S.; Koo, A.; et al. Significantly improving cycling performance of cathodes in lithium ion batteries: The effect of Al2O3 and LiAlO2 coatings on LiNi0.6Co0.2Mn0.2O2. Nano Energy 2018, 44, 111–120. [Google Scholar] [CrossRef]
- Kanno, R.; Kubo, H.; Kawamoto, Y.; Kamiyama, T.; Izumi, F.; Takeda, Y.; Takano, M. Phase relationship and lithium deintercalation in lithium nickel oxides. J. Solid State Chem. 1994, 110, 216–225. [Google Scholar] [CrossRef]
- Yamada, S.; Fujiwara, M.; Kanda, M. Synthesis and properties of LiNiO2 as cathode material for secondary batteries. J. Power Sources 1995, 54, 209–213. [Google Scholar] [CrossRef]
- Liang, M.; Song, D.; Zhang, H.; Shi, X.; Wang, Q.; Zhang, L. Improved performances of LiNi0.8Co0.15Al0.05O2 material employing NaAlO2 as a new aluminum source. ACS Appl. Mater. Interfaces 2017, 9, 38567–38574. [Google Scholar] [CrossRef]
- Han, Y.; Shan, X.; Zhu, G.; Wang, Y.; Qu, Q.; Zheng, H. Hierarchically assembled LiNi0.8Co0.1Mn0.1O2 secondary particles with high exposure of {010} plane synthesized via co-precipitation method. Electrochim. Acta 2020, 329, 135057. [Google Scholar] [CrossRef]
- Huang, Z.-D.; Liu, X.-M.; Oh, S.-W.; Zhang, B.; Ma, P.-C.; Kim, J.-K. Microscopically porous, interconnected single crystal LiNi1/3Co1/3Mn1/3O2 cathode material for lithium ion batteries. J. Mater. Chem. 2011, 21, 10777. [Google Scholar] [CrossRef]
- Zhong, Z.; Chen, L.; Huang, S.; Shang, W.; Kong, L.; Sun, M.; Chen, L.; Ren, W. Single-crystal LiNi0.5Co0.2Mn0.3O2: A high thermal and cycling stable cathodes for lithium-ion batteries. J. Mater. Sci. 2020, 5, 1–10. [Google Scholar] [CrossRef]
- Huang, B.; Wang, M.; Zhang, X.; Xu, G.; Gu, Y. Optimized preparation of LiNi0.6Mn0.2Co0.2O2 with single crystal morphology cathode material for lithium-ion batteries. Ionics 2020, 26, 1–10. [Google Scholar] [CrossRef]
- Huang, B.; Yang, X.; Xu, G.; Wang, M.; Gu, Y. Boron-doped single crystal LiNi0.6Mn0.2Co0.2O2 with improved electrochemical performance for lithium-ion batteries. Ionics 2019, 25, 5819–5827. [Google Scholar] [CrossRef]
- Li, H.; Li, J.; Ma, X.; Dahn, J.R. Synthesis of single crystal LiNi0.6Mn0.2Co0.2O2 with enhanced electrochemical performance for lithium ion batteries. J. Electrochem. Soc. 2018, 165, A1038–A1045. [Google Scholar] [CrossRef]
- Ohzuku, T.; Ueda, A.; Nagayama, M. Electrochemistry and structural chemistry of LiNiO2 (R3m) for 4 V secondary lithium cells. J. Electrochem. Soc. 1993, 140, 1862–1870. [Google Scholar] [CrossRef]
- Morales, J.; PeÂrez-Vicente, C.; Tirado, J.L. Cation distribution and chemical deintercalation of Li1-xNi1+xO2. Mater. Res. Bull. 1990, 25, 623–630. [Google Scholar] [CrossRef]
- Rougier, A.; Gravereau, P.; Delmas, C. Optimization of the composition of the Li1-zNi1+zO2 electrode materials: Structural, magnetic, and electrochemical studies. J. Electrochem. Soc. 1996, 143, 1168–1175. [Google Scholar] [CrossRef]
- Shaju, K.M.; Rao, G.V.S.; Chowdari, B.V.R. Performance of layered Li(Ni1/3Co1/3Mn1/3)O2 as cathode for Li-ion batteries. Electrochim. Acta 2002, 48, 145–151. [Google Scholar] [CrossRef]
- Bredar, A.R.C.; Chown, A.L.; Burton, A.R.; Farnum, B.H. Electrochemical impedance spectroscopy of metal oxide electrodes for energy applications. ACS Appl. Energy Mater. 2020, 3, 66–98. [Google Scholar] [CrossRef]
- Wang, X.; Hao, H.; Liu, J.; Huang, T.; Yu, A. A novel method for preparation of macroposous lithium nickel manganese oxygen as cathode material for lithium ion batteries. Electrochim. Acta 2011, 56, 4065–4069. [Google Scholar] [CrossRef]







| Temperature (°C) | c (Å) | a (Å) | c/a | V (Å3) | I(003)/I(104) |
|---|---|---|---|---|---|
| 750 | 14.2134 | 2.8761 | 4.9419 | 101.82 | 1.43 |
| 800 | 14.1848 | 2.8601 | 4.9596 | 100.48 | 1.75 |
| 850 | 14.2134 | 2.8704 | 4.9517 | 101.41 | 1.70 |
| 900 | 14.2134 | 2.8730 | 4.9471 | 101.60 | 1.46 |
| T (°C) | Rs (Ω) | Rf (Ω) | Rct (Ω) | (Rf + Rct) (Ω) | D (cm2 s−1) |
|---|---|---|---|---|---|
| 750 | 3.49 (±0.18) | 20.89 (±0.41) | 20.40 (±0.81) | 41.29 | 1.41 × 10−11 |
| 800 | 5.44 (±0.17) | 20.73 (±0.94) | 5.69 (±0.10) | 26.42 | 1.59 × 10−11 |
| 850 | 5.38 (±0.14) | 15.43 (±0.58) | 38.45 (±1.12) | 53.88 | 7.99 × 10−12 |
| 900 | 9.37 (±0.26) | 11.86 (±0.42) | 188.60 (±7.73) | 200.46 | 1.27 × 10−12 |
| Composition | Preparation Method | Voltage Range (V) | Discharge Capacity (mAh g−1) | Capacity Retention | Ref. |
|---|---|---|---|---|---|
| LiNi2/3Co1/6Mn1/6O2 | Rheological phase method | 2.8–4.3 | 188.9 (0.2 C)179.1 (0.5 C) | 93.9% (50 cycles, 0.5 C) | This work |
| LiNi0.66Co0.17Mn0.17O2 | Sol-gel method | 2.5–4.5 | 169.7 (1 C) | 93.8% (25 cycles) | [14] |
| LiNi0.65Co0.25Mn0.1O2 | Rheological phase method | 2.5–4.5 | 130.5 (0.125 C) | 96.9% (20 cycles) | [16] |
| LiNi0.6Co0.2Mn0.2O2 | Solid state method | 3.0–4.7 | 187.9 (0.2 C) | 50.6% (150 cycles) | [19] |
| LiNi0.6Co0.2Mn0.2O2 | Solid state method | 2.7–4.5 | 179.8 (0.5 C) | 69.1% (100 cycles) | [20] |
| LiNi0.6Co0.2Mn0.2O2 | Solid state method | 2.7–4.5 | 187.2 (0.2 C) | 79.7% (100 cycles) | [21] |
Publisher’s Note: MDPI stays neutral with regard to jurisdictional claims in published maps and institutional affiliations. |
© 2021 by the authors. Licensee MDPI, Basel, Switzerland. This article is an open access article distributed under the terms and conditions of the Creative Commons Attribution (CC BY) license (https://creativecommons.org/licenses/by/4.0/).
Share and Cite
Zhu, M.; Li, J.; Liu, Z.; Wang, L.; Kang, Y.; Dang, Z.; Yan, J.; He, X. Preparation and Electrochemical Properties of LiNi2/3Co1/6Mn1/6O2 Cathode Material for Lithium-Ion Batteries. Materials 2021, 14, 1766. https://doi.org/10.3390/ma14071766
Zhu M, Li J, Liu Z, Wang L, Kang Y, Dang Z, Yan J, He X. Preparation and Electrochemical Properties of LiNi2/3Co1/6Mn1/6O2 Cathode Material for Lithium-Ion Batteries. Materials. 2021; 14(7):1766. https://doi.org/10.3390/ma14071766
Chicago/Turabian StyleZhu, Meijie, Jiangang Li, Zhibei Liu, Li Wang, Yuqiong Kang, Zhaohan Dang, Jiasen Yan, and Xiangming He. 2021. "Preparation and Electrochemical Properties of LiNi2/3Co1/6Mn1/6O2 Cathode Material for Lithium-Ion Batteries" Materials 14, no. 7: 1766. https://doi.org/10.3390/ma14071766
APA StyleZhu, M., Li, J., Liu, Z., Wang, L., Kang, Y., Dang, Z., Yan, J., & He, X. (2021). Preparation and Electrochemical Properties of LiNi2/3Co1/6Mn1/6O2 Cathode Material for Lithium-Ion Batteries. Materials, 14(7), 1766. https://doi.org/10.3390/ma14071766

