Alternative Geometric Arrangements of the Nozzle Outlet Orifice for Liquid Micro-Jet Focusing in Gas Dynamic Virtual Nozzles
Abstract
1. Introduction
2. Materials and Methods
2.1. Problem Formulation
2.2. Computational Domain and Solution Setup
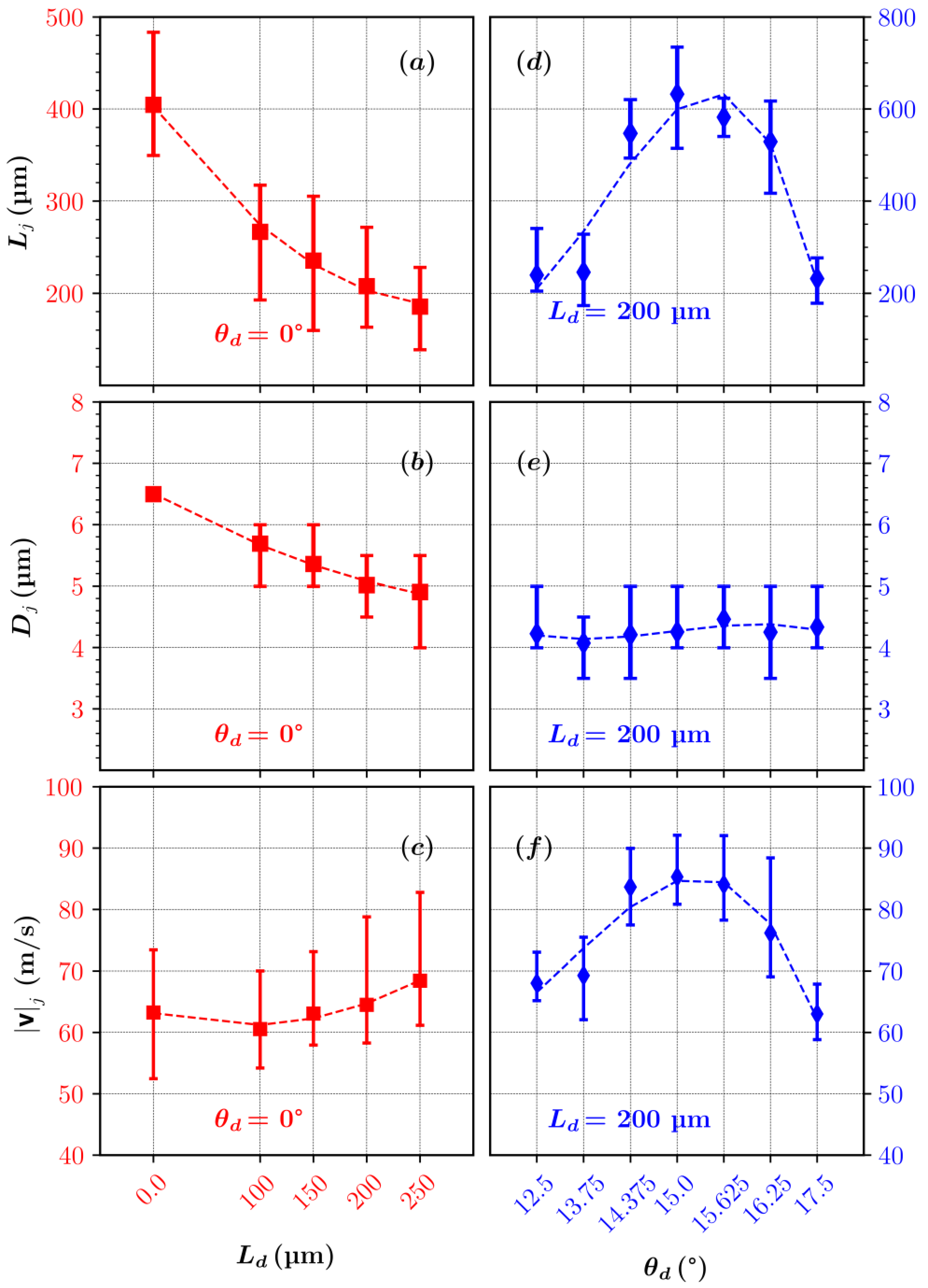
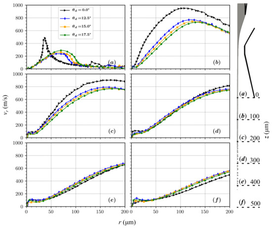
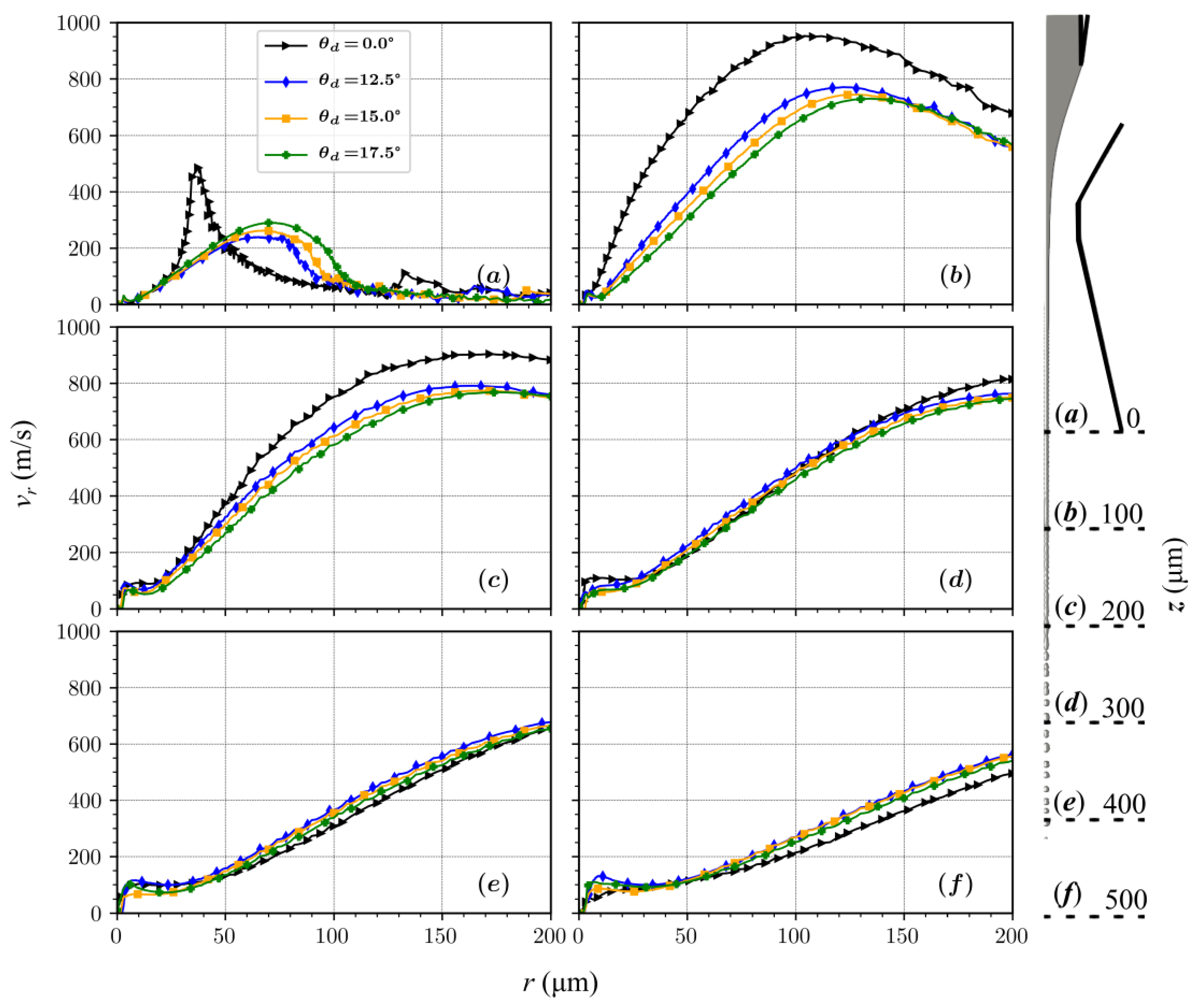
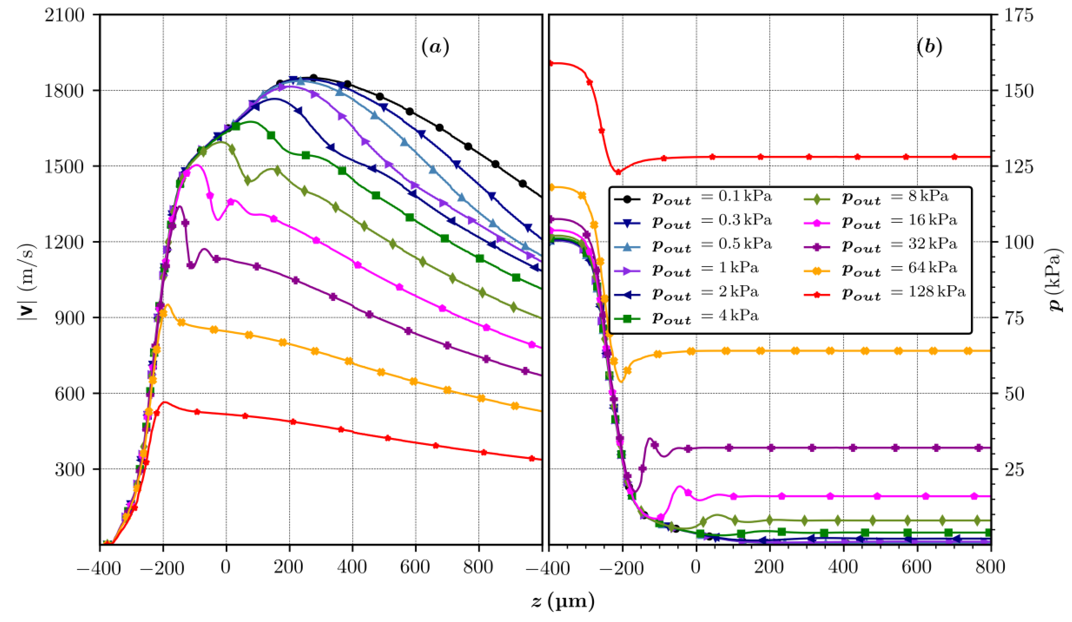
3. Results
Comparison of Numerical Model with the Experiment
4. Conclusions
Author Contributions
Funding
Institutional Review Board Statement
Informed Consent Statement
Data Availability Statement
Acknowledgments
Conflicts of Interest
References
- Chapman, H.N.; Fromme, P.; Barty, A.; White, T.A.; Kirian, R.A.; Aquila, A.; Hunter, M.S.; Schulz, J.; DePonte, D.P.; Weierstall, U.; et al. Femtosecond X-ray protein nanocrystallography. Nature 2011, 470, 73–77. [Google Scholar] [CrossRef] [PubMed]
- Grünbein, M.L.; Foucar, L.; Gorel, A.; Hilpert, M.; Kloos, M.; Nass, K.; Kovacs, G.N.; Roome, C.M.; Shoeman, R.L.; Stricker, M.; et al. Observation of shock-induced protein crystal damage during megahertz serial femtosecond crystallography. Phys. Rev. Res. 2021, 3, 013046. [Google Scholar] [CrossRef]
- Ursescu, D.; Aleksandrov, V.; Matei, D.; Dancus, I.; de Almeida, M.D.; Stan, C.A. Generation of shock trains in free liquid jets with a nanosecond green laser. Phys. Rev. Fluids 2020, 5, 123402. [Google Scholar] [CrossRef]
- Stan, C.A.; Milathianaki, D.; Laksmono, H.; Sierra, R.G.; McQueen, T.A.; Messerschmidt, M.; Williams, G.J.; Koglin, J.E.; Lane, T.J.; Hayes, M.J.; et al. Liquid explosions induced by X-ray laser pulses. Nat. Phys. 2016, 12, 966–971. [Google Scholar] [CrossRef]
- Wiedorn, M.O.; Awel, S.; Morgan, A.J.; Ayyer, K.; Gevorkov, Y.; Fleckenstein, H.; Roth, N.; Adriano, L.; Bean, R.; Beyerlein, K.R.; et al. Rapid sample delivery for megahertz serial crystallography at X-ray FELs. IUCrJ 2018, 5, 574–584. [Google Scholar] [CrossRef] [PubMed]
- Martiel, I.; Müller-Werkmeister, H.M.; Cohen, A.E. Strategies for sample delivery for femtosecond crystallography. Struct. Biol. 2019, D75, 160–177. [Google Scholar] [CrossRef] [PubMed]
- DePonte, D.P.; Weierstall, U.; Schmidt, K.; Warner, J.; Starodub, D.; Spence, J.C.H.; Doak, R.B. Gas dynamic virtual nozzle for generation of microscopic droplet streams. J. Phys. D 2008, 41, 195505. [Google Scholar] [CrossRef]
- Weierstall, U.; Spence, J.C.H.; Doak, R.B. Injector for scattering measurements on fully solvated biospecies. Rev. Sci. Instrum. 2012, 83, 035108. [Google Scholar] [CrossRef]
- Weierstall, U.; Doak, R.B.; Spence, J.C.H.; Starodub, D.; Shapiro, D.; Kennedy, P.; Warner, J.; Hembree, G.G.; Fromme, P.; Chapman, H.N. Droplet streams for serial crystallography of proteins. Exp. Fluids 2008, 44, 675–689. [Google Scholar] [CrossRef]
- Beyerlein, K.R.; Adriano, L.; Heymann, M.; Kirian, R.; Knoška, J.; Wilde, F.; Chapman, H.N.; Bajt, S. Ceramic micro-injection molded nozzles for serial femtosecond crystallography sample delivery. Rev. Sci. Instrum. 2015, 86, 125104. [Google Scholar] [CrossRef]
- Knoška, J.; Adriano, L.; Awel, S.; Beyerlein, K.R.; Yefanov, O.; Oberthuer, D.; Peña Murillo, G.E.; Roth, N.; Sarrou, I.; Villanueva-Perez, P.; et al. Ultracompact 3D microfluidics for time-resolved structural biology. Nat. Commun. 2020, 11, 657. [Google Scholar] [CrossRef] [PubMed]
- Nelson, G.; Kirian, R.A.; Weierstall, U.; Zatsepin, N.A.; Faragó, T.; Baumbach, T.; Wilde, F.; Niesler, F.B.P.; Zimmer, B.; Ishigami, I.; et al. Three-dimensional-printed gas dynamic virtual nozzles for X-ray laser sample delivery. Opt. Express 2016, 24, 11515. [Google Scholar] [CrossRef] [PubMed]
- Dupin, M.M.; Halliday, I.; Care, C.M. Simulation of a microfluidic flow-focusing device. Phys. Rev. E 2006, 73, 055701. [Google Scholar] [CrossRef] [PubMed]
- Herrada, M.A.; Gañán-Calvo, A.M.; Ojeda-Monge, A.; Bluth, B.; Riesco-Chueca, P. Liquid flow focused by a Gas: Jetting, dripping, and recirculation. Phys. Rev. E 2008, 78, 036323. [Google Scholar] [CrossRef] [PubMed]
- Müller, T.; Sänger, A.; Habisreuther, P.; Jakobs, T.; Trimis, D.; Kolb, T.; Zarzalis, N. Simulation of the primary breakup of a high-viscosity liquid jet by a coaxial annular gas flow. Int. J. Multiph. Flow 2016, 87, 212–228. [Google Scholar] [CrossRef]
- Belšak, G.; Bajt, S.; Šarler, B. Computational modelling and simulation of gas focused liquid micro-sheets. Int. J. Multiph. Flow 2021. in review. [Google Scholar]
- Eggers, J.; Villermaux, E. Physics of liquid jets. Rep. Prog. Phys. 2008, 71, 1–79. [Google Scholar] [CrossRef]
- Gañán-Calvo, A.M.; DePonte, D.P.; Herrada, M.A.; Spence, J.C.H.; Weierstall, U.; Doak, R.B. Liquid capillary micro/nanojets in free-jet expansion. Small 2010, 6, 822–824. [Google Scholar] [CrossRef]
- Zahoor, R.; Belšak, G.; Bajt, S.; Šarler, B. Simulation of liquid micro-jet in free expanding high speed co-flowing gas streams. Microfluid. Nanofluid. 2018, 22, 87. [Google Scholar] [CrossRef]
- Zahoor, R.; Bajt, S.; Šarler, B. Influence of gas dynamic virtual nozzle geometry on micro-jet characteristics. Int. J. Multiph. Flow 2018, 104, 152–165. [Google Scholar] [CrossRef]
- Zahoor, R.; Regvar, R.; Bajt, S.; Šarler, B. A Numerical study on the influence of liquid properties on gas-focused micro-jets. Prog. Comput. Fluid Dyn. Int. J. 2020, 20, 71–83. [Google Scholar] [CrossRef]
- Zahoor, R.; Bajt, S.; Šarler, B. Numerical investigation on influence of focusing gas type on liquid micro-jet characteristics. Int. J. Hydromechatron. 2018, 1, 222–237. [Google Scholar] [CrossRef]
- Gañán-Calvo, A.M.; Montanero, J.M. Revision of capillary cone-jet physics: Electrospray and flow focusing. Phys. Rev. E 2009, 79, 066305. [Google Scholar] [CrossRef]
- Montanero, J.M.; Rebollo-Muņoz, N.; Herrada, M.A.; Gaņán-Calvo, A.M. Global stability of the focusing effect of fluid jet flows. Phys. Rev. E 2011, 83. [Google Scholar] [CrossRef]
- Zahoor, R.; Knoška, J.; Bajt, S.; Šarler, B. Experimental and numerical investigation of gas-focused liquid micro-jet velocity. Int. J. Multiph. Flow 2021, 135, 103530. [Google Scholar] [CrossRef]
- Cruz-Mazo, F.; Montanero, J.M.; Gañán-Calvo, A.M. Monosized dripping mode of axisymmetric flow focusing. Phys. Rev. E 2016, 94, 053122. [Google Scholar] [CrossRef] [PubMed]
- Vega, E.J.; Montanero, J.M.; Herrada, M.A.; Gañán-Calvo, A.M. Global and local instability of flow focusing: The influence of the geometry. Phys. Fluids 2010, 22, 1–10. [Google Scholar] [CrossRef]
- Blanco-Trejo, S.; Herrada, M.A.; Gañán-Calvo, A.M.; Rubio, A.; Cabezas, M.G.; Montanero, J.M. Whipping in gaseous flow focusing. Int. J. Multiph. Flow 2020, 130, 103367. [Google Scholar] [CrossRef]
- Ferziger, J.H.; Perić, M. Computational Methods for Fluid Dynamics, 3rd ed.; Springer: Berlin, Germany, 2002; ISBN 3-540-42074-6. [Google Scholar]
- Moukalled, F.; Mangani, L.; Darwish, M. The Finite Volume Method in Computational Fluid Dynamics: An Advanced Introduction with OpenFOAM and Matlab; Springer: Cham, Switzerland, 2016. [Google Scholar]
- Hirt, C.W.; Nichols, B.D. Volume of Fluid (VOF) method for the dynamics of free boundaries. J. Comput. Phys. 1981, 39, 201–225. [Google Scholar] [CrossRef]
- Brackbill, J.U.; Kothe, D.B.; Zemach, C. A Continuum method for modeling surface tension. J. Comput. Phys. 1992, 100, 335–354. [Google Scholar] [CrossRef]
- Greenshields, C.J. OpenFOAM User Guide, version, 3(1), 47; OpenFOAM Foundation Ltd.: London, UK, 2015. [Google Scholar]
- Weller, H.G. A new approach to VOF-based interface capturing methods for incompressible and compressible flow. Tech. Rep. 2008, 4, 13. [Google Scholar]
- LeVeque, R.J. Finite Volume Methods for Hyperbolic Problems; Cambridge University Press: Cambridge, UK, 2002. [Google Scholar]
- van Leer, B. Towards the ultimate conservative difference scheme. V. A second-order sequel to Godunov’s method. J. Comput. Phys. 1979, 32, 101–136. [Google Scholar] [CrossRef]
- Jasak, H. Error Analysis and Estimation for the Finite Volume Method with Applications to Fluid Flows. Ph.D. Thesis, Imperial College of Science, Technology and Medicine, London, UK, 1996. [Google Scholar]
- Courant, R.; Friedrichs, K.; Lewy, H. On the partial difference equations of mathematical physics. IBM J. Res. Dev. 1967, 11, 215–234. [Google Scholar] [CrossRef]
- Roache, P.J. Perspective: A method for uniform reporting of grid refinement studies. J. Fluids Eng. 1994, 116, 405–413. [Google Scholar] [CrossRef]
- Ahrens, J.; Geveci, B.; Law, C. ParaView: An End-user Tool for Large-data Visualization. In Visualization Handbook; Elsevier: New York, NY, USA, 2005; pp. 717–731. ISBN 978-0-12-387582-2. [Google Scholar]
- Hunter, J.D. Matplotlib: A 2D graphics environment. Comput. Sci. Eng. 2007, 9, 90–95. [Google Scholar] [CrossRef]
- Chen, R.H. Foundations of Gas Dynamics; Cambridge University Press: Cambridge, UK, 2017; ISBN 978-1-107-08270-0. [Google Scholar]
- Gañán-Calvo, A.M. Enhanced liquid atomization: From flow-focusing to flow-blurring. Appl. Phys. Lett. 2005, 86, 1–3. [Google Scholar] [CrossRef]
- Wu, L.; Liu, X.; Zhao, Y.; Chen, Y. Role of local geometry on droplet formation in axisymmetric microfluidics. Chem. Eng. Sci. 2017, 163, 56–67. [Google Scholar] [CrossRef]
- Utada, A.S.; Fernandez-Nieves, A.; Stone, H.A.; Weitz, D.A. Dripping to jetting transitions in coflowing liquid streams. Phys. Rev. Lett. 2007, 99, 094502. [Google Scholar] [CrossRef] [PubMed]
- Ande, R.; Yerraboina, V.N.K. Numerical investigation on effect of divergent angle in convergent-divergent rocket engine nozzle. Chem. Eng. Trans. 2018, 66, 787–792. [Google Scholar]
- Asprion, N.; Böttcher, R.; Pack, R.; Stavrou, M.-E.; Höller, J.; Schwientek, J.; Bortz, M. Gray-box modeling for the optimization of chemical processes. Chem. Ing. Tech. 2019, 91, 305–313. [Google Scholar] [CrossRef]
- Deb, K. Multi-Objective Optimization Using Evolutionary Alogrithms; John Wiley and Sons: London, UK, 2009; ISBN 978-0-470-74361-4. [Google Scholar]
- Gunantara, N. A review of multi-objective optimization: Methods and its applications. Cogent Eng. 2018, 5, 1502242. [Google Scholar] [CrossRef]













| Patch | Velocity | Pressure | Temperature | Volume Fraction |
|---|---|---|---|---|
| Inlet liquid | ||||
| Inlet gas | ||||
| Walls | no-slip | |||
| Outlet | ||||
| Front | wedge * | |||
| Back | wedge * | |||
| Fluid | (Kgm−3) | (Pa s) | (N/m) | (W/mK) | (kJ/kgK) | (kJ/kgK) |
|---|---|---|---|---|---|---|
| H2O | 1000 | 1.0 × 10−3 | 0.072 | 0.58 | 4.18 | 4.16 |
| He | 0.164 | 1.9 × 10−5 | - | 0.142 | 5.19 | 3.12 |
| (a) | (b) | ||||
|---|---|---|---|---|---|
| Nozzle | Ld (µm) | θd (°) | Nozzle | Ld (µm) | θd (°) |
| 1 | 0 | 0 | 6 | 200 | 12.500 |
| 2 | 100 | 7 | 13.750 | ||
| 3 | 150 | 8 | 14.375 | ||
| 4 | 200 | 9 | 15.000 | ||
| 5 | 250 | 10 | 15.625 | ||
| 11 | 16.250 | ||||
| 12 | 17.500 | ||||
Publisher’s Note: MDPI stays neutral with regard to jurisdictional claims in published maps and institutional affiliations. |
© 2021 by the authors. Licensee MDPI, Basel, Switzerland. This article is an open access article distributed under the terms and conditions of the Creative Commons Attribution (CC BY) license (http://creativecommons.org/licenses/by/4.0/).
Share and Cite
Šarler, B.; Zahoor, R.; Bajt, S. Alternative Geometric Arrangements of the Nozzle Outlet Orifice for Liquid Micro-Jet Focusing in Gas Dynamic Virtual Nozzles. Materials 2021, 14, 1572. https://doi.org/10.3390/ma14061572
Šarler B, Zahoor R, Bajt S. Alternative Geometric Arrangements of the Nozzle Outlet Orifice for Liquid Micro-Jet Focusing in Gas Dynamic Virtual Nozzles. Materials. 2021; 14(6):1572. https://doi.org/10.3390/ma14061572
Chicago/Turabian StyleŠarler, Božidar, Rizwan Zahoor, and Saša Bajt. 2021. "Alternative Geometric Arrangements of the Nozzle Outlet Orifice for Liquid Micro-Jet Focusing in Gas Dynamic Virtual Nozzles" Materials 14, no. 6: 1572. https://doi.org/10.3390/ma14061572
APA StyleŠarler, B., Zahoor, R., & Bajt, S. (2021). Alternative Geometric Arrangements of the Nozzle Outlet Orifice for Liquid Micro-Jet Focusing in Gas Dynamic Virtual Nozzles. Materials, 14(6), 1572. https://doi.org/10.3390/ma14061572

