Durability of Epoxy Adhesives and Carbon Fibre Reinforced Polymer Laminates Used in Strengthening Systems: Accelerated Ageing versus Natural Ageing
Abstract
1. Introduction
2. Materials, Experimental Program and Methods
2.1. Materials
2.1.1. Epoxy Adhesives
2.1.2. CFRP Laminates
2.2. Experimental Program
2.3. Methods
2.3.1. Epoxy Adhesives
- The chemical characterization of the unaged epoxy adhesives (cured at 23 °C during 7 days) was performed by Fourier transform infrared spectroscopy (FTIR), according to ASTM E 1252:1998 [46]. Samples were prepared by scraping the surface of tensile specimens (see below); powder obtained were mixed with dry spectroscopy grade potassium bromide and pressed into pellets. FTIR spectra were acquired with a Tensor 27 spectrometer (Bruker, Ettlingencity, Germany) collecting 32 scans at 0.6 cm/s, in the wavenumber range of 4000–450 cm−1 with a spectral resolution of 4 cm−1. The infrared spectra obtained were compared with spectra available in libraries in order to help the understanding of the position and intensity of the IR absorption bands.
- Dynamic mechanical analysis (DMA) for both unaged (cured at 23 °C, 7 days) and aged epoxy adhesives was carried out in order to evaluate the viscoelastic behaviour of adhesives and determine its glass transition temperature (Tg). The analysis followed ISO 6721-1/5:2019 [47,48]. Prismatic specimens with 4 mm × 10 mm × 60 mm were clamped between the movable and stationary fixtures in a dual cantilever configuration, using a Q800 dynamic mechanical analyser (TA Instruments, New Castle, DE, USA). The tests were conducted in air atmosphere, at a rate of 2 °C/min, from 25 °C to 150 °C. A constant frequency of 1 Hz and a maximum deformation of 15 µm were imposed. Per each adhesive, two replicates were tested. The Tg was determined using two different methods: (i) as the extrapolated onset of the sigmoidal change in the storage modulus curve (E’), as per in the ASTM E 1640:2018 [49]; and (ii) from the peak of the tan δ curve.
- The tensile tests of both unaged and aged epoxy adhesives were carried out according to the EN ISO 527-2:2012 [50]. The geometry adopted (“type 1A”—as defined in EN ISO 527-2:2012 [50]) is shown in Figure 5. Tests were conducted on a servo-controlled testing machine (model: C11.DE.150KN.100.70.200, INEGI Sentur, Porto, Portugal), equipped with a 10 kN capacity load cell (with a linearity error less than 0.05% F.S.), under displacement control at a rate of 1 mm/min. In each series, composed of five or six specimens, the following strain measure devices were used: (i) a BFLA-5-3-3L strain gauge (gauge length: 5 mm, TML, Tokyo, Japan) glued on the specimen’s geometrical centre and (ii) a clip-on extensometer, with a gauge length of 50 mm (precision of ±1 μm) placed at the central region of constant width of each specimen. The elastic modulus was computed based on the slope between the 0.05% and 0.25% strain, on the stress-strain curve, as defined in the EN ISO 527-1:2019 standard [51].
2.3.2. CFRP Laminates
- The water absorption ability of the unaged CFRP laminates with similar procedures to those described for the epoxy adhesive up to 10,000 h, with water at 20 °C.
- The tensile tests of both unaged and aged epoxy adhesives were carried out according to the ISO 527-5:2009 norms [52]. Each specimen was 250 mm long, comprising an initial distance between grips of 150 mm. In order to avoid premature failure due to stress concentration upon the closing of the grips, aluminium tabs of 50 mm were glued to the ends of the CFRP specimens. Figure 6 shows the geometry of the CFRP laminate specimens. The tensile tests were carried out on a servo-controlled testing machine under displacement control with rate of 2 mm/min, equipped with a 200 kN capacity load cell (with a linearity error less than 0.05% F.S.). The following strain measuring devices were used: (i) a clip gauge of 50 mm gauge length (precision of ±1 μm) placed at the central region of constant width of each specimen; and (ii) one strain gauge TML BFLA-5-3-3L, glued on the geometrical centre of one specimen per series. Each series was composed of six specimens. The tensile elastic modulus (), tensile strength (), and strain at peak stress () were determined according to ISO 527-5:2009 [52].
3. Results and Discussion
3.1. Epoxy Adhesives
3.1.1. Characterization before Exposure (T0)
3.1.2. Characterization after Exposure
3.2. CFRP Laminates
4. Accelerated Ageing versus Natural Ageing
- In terms of types of exposure conditions, water immersion, thermal cycles, wet-dry cycles and freeze-thaw cycles were considered;
- Regardless the type of exposure condition, results obtained from tests under temperatures higher than Tg—20 °C were disregarded;
- Water immersion included tap water, demineralised water and water with chlorides;
- Tensile (ISO 527-2, ASTM D638) or flexural (ISO 178, ASTM D790-92) test protocols were adopted for the characterization of the adhesives;
- Periods of exposure up to 21,600 h were found.
- In terms of types of exposure conditions, water immersion, thermal cycles, wet-dry cycles and freeze-thaw cycles were considered;
- Regardless the type of exposure condition, results obtained from tests under temperatures higher than Tg—20 °C were disregarded;
- Water immersion included tap water, demineralised water and water with chlorides;
- Tensile (ISO 527-5, ASTM D3039/D3039M) or flexural (ISO 14125/ ASTM D7264) test protocols were adopted for the characterization of the CFRP laminates;
- Periods of exposure up to 20160 h were found.
5. Conclusions
- Results of FTIR spectra of unaged (T0) material have shown typical characteristics of epoxy resins (both adhesives are filled bicomponent thixotropic adhesives with a bisphenol-A-based resin and an aliphatic amine hardener);
- Water absorption tests up to 10,000 h of unaged (T0) material have revealed two completely different behaviors: (i) ADH1 adhesive shows a significant absorption rate at early stages and reaches a steady state equilibrium (fully saturated state) after 5000 h, regardless of the temperature (~5% of uptake), while ADH2 adhesive presented a continuous increase of absorption (at 10,000 h, values of uptake of ~1%, 2.5% and 5% were registered for temperatures of 20 °C, 40 °C and 60 °C, respectively);
- Values of glass transition temperature (based on the onset of sigmoidal change of storage modulus curve from DMA tests), Tg, of unaged (T0) material of 46.2 °C and 44.3 °C were obtained for ADH1 and ADH2, respectively; by performing a post-curing (2nd scan), values of 60.1 °C and 52.3 °C were obtained. Ageing up to two (T2) years, yielded to an increase in the Tg of the adhesives, regardless of the environment;
- From the tensile tests, values of elastic modulus of 6.5 GPa and 8.0 GPa, and tensile strength of 19.9 MPa and 24.8 MPa, were obtained for the unaged (T0) ADH1 and ADH2, respectively. After one year of exposure (T1), adhesives ADH1 and ADH2 have shown negligible and significant (up to +48%) variations on the tensile properties, respectively, for all the environments (except E2). When compared with T1, for exposure time T2 both adhesives faced a decrease in the tensile properties (up to 25%) for all the environments (except E2). For both adhesives (ADH1 and ADH2) and exposure times (T1 and T2) environment E2 yielded to significant decrease in the tensile properties (up to −75%);
- Despite the dispersion of results, for similar periods of exposure, accelerated ageing tests yield lower values of the retention tensile properties, when compared with natural ageing.
- Water absorption tests up to 10,000 h of unaged (T0) material have revealed negligible water uptake values;
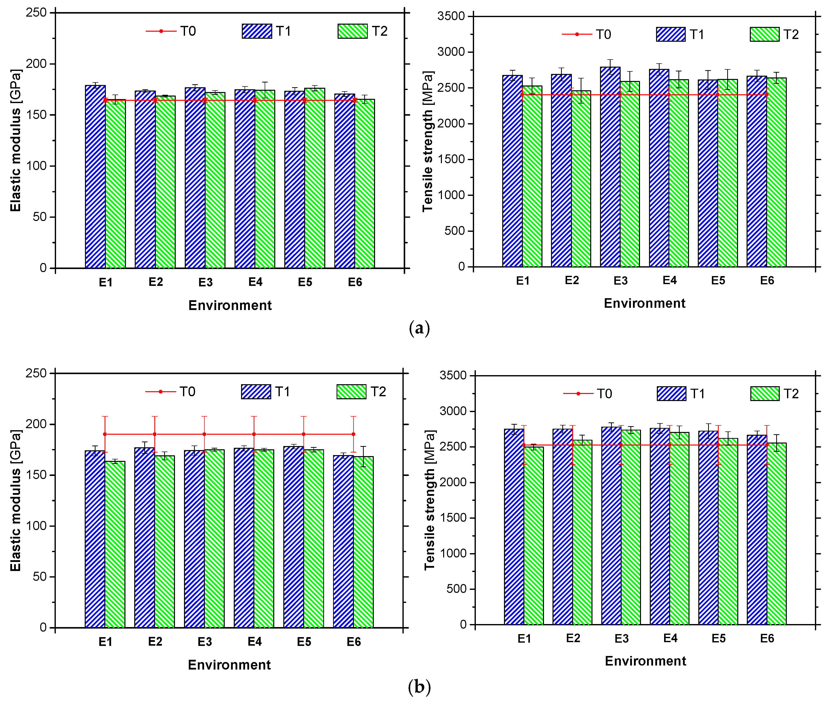
- From the tensile tests, values of elastic modulus of 164 GPa and 190 GPa, and tensile strength of 2405 MPa and 2527 MPa, were obtained for the unaged (T0) L10 and L50, respectively. After two years of exposure, CFRP laminates L10 and L50 have shown almost negligible variations of their tensile properties;
- Despite the dispersion of results, for similar periods of exposure, accelerated ageing tests yield similar or lower values of the retention tensile properties, when compared with natural ageing.
Author Contributions
Funding
Institutional Review Board Statement
Informed Consent Statement
Data Availability Statement
Acknowledgments
Conflicts of Interest
References
- Bakis, C.E.; Bank, L.C.; Brown, V.L.; Cosenza, E.; Davalos, J.F.; Lesko, J.J.; Machida, A.; Rizkalla, S.H.; Triantafillou, T.C. Fiber-Reinforced Polymer Composites for Construction—State-of-the-Art Review. J. Compos. Constr. 2002, 6, 73–87. [Google Scholar] [CrossRef]
- Zoghi, M. The International Handbook of FRP Composites in Civil Engineering; CRC Press: Boca Raton, FL, USA, 2013; ISBN 9780849320132. [Google Scholar]
- FIB Bulletin 90. Externally Applied FRP Reinforcement for Concrete Structures, Federation International du Beton Technical Report Prepared by a Working Party of the T5.1 FRP Reinforcement for Concrete Structures; Federation Internationale du Beton: Lausanne, Switzerland, 2019; ISBN 9782883941311. [Google Scholar]
- CNR. Guide for the Design and Construction of Externally Bonded FRP Systems for Strengthening Existing Structures; CNR-DT 200 R1/2013; Advisory Committee on Technical Recommendations for Construction: Rome, Italy, 2013; p. 144. [Google Scholar]
- Committee 440. Guide for the Design and Construction of Externally Bonded FRP Systems for Strengthening Concrete Structures; ACI 440.2R-02; American Concrete Institute: Farmington Hills, MI, USA, 2017. [Google Scholar]
- HB 305. Design Handbook for RC Structures Retrofitted with FRP and Metal Plates: Beams and Slabs; HB 305—2008; Standards Australia: Australia, Sydney, 2008. [Google Scholar]
- CSA. Canadian Highway Bridge Design Code; CAN/CSA-S6-14; National Standard of Canada: Ontario, ON, Canada, 2014. [Google Scholar]
- El-Hacha, R.; Elbadry, M. Strengthening concrete beams with externally prestressed carbon fiber composite cables. Proc. Fiber-Reinf. Plast. Reinf. Concr. Struct. 2001, 4, 699–708. [Google Scholar]
- Correia, L.; Teixeira, T.; Michels, J.; Almeida, J.A.; Sena-Cruz, J. Flexural behaviour of RC slabs strengthened with prestressed CFRP strips using different anchorage systems. Compos. Part B Eng. 2015, 81, 158–170. [Google Scholar] [CrossRef]
- Silva, P.M. Time-Dependent Behaviour and Durability of RC Slabs Strengthened with NSM CFRP strips. Ph.D. Thesis, University of Minho, Braga, Portugal, 2017. [Google Scholar]
- Ghiassi, B. Durability Analysis of Bond Between Composite Materials and Masonry Substrates; University of Minho: Braga, Portugal, 2013. [Google Scholar]
- Tatar, J.; Hamilton, H. Comparison of laboratory and field environmental conditioning on FRP-concrete bond durability. Constr. Build. Mater. 2016, 122, 525–536. [Google Scholar] [CrossRef]
- Helbling, C.; Karbhari, V. Durability of composites in aqueous environments. In Durability of Composites for Civil Structural Applications; Elsevier: Amsterdam, The Netherlands, 2007; pp. 31–71. [Google Scholar]
- Jones, F.R. Durability of reinforced plastics in liquid environments. In Reinforced Plastics Durability; Pritchard, G., Ed.; CRC: Boca Raton, FL, USA, 1999; pp. 70–110. [Google Scholar]
- Thomson, K.W.; Wong, T.; Broutman, L.J. The plasticization of an epoxy resin by dibutylphthalate and water. Polym. Eng. Sci. 1984, 24, 1270–1276. [Google Scholar] [CrossRef]
- Cabral-Fonseca, S.; Correia, J.; Custódio, J.; Silva, H.; Machado, A.; Sousa, J. Durability of FRP—concrete bonded joints in structural rehabilitation: A review. Int. J. Adhes. Adhes. 2018, 83, 153–167. [Google Scholar] [CrossRef]
- Sen, R. Developments in the durability of FRP-concrete bond. Constr. Build. Mater. 2015, 78, 112–125. [Google Scholar] [CrossRef]
- Wood, C.A.; Bradley, W.L. Determination of the effect of seawater on the interfacial strength of an interlayer E-glass/graphite/epoxy composite by in situ observation of transverse cracking in an environmental SEM. Compos. Sci. Technol. 1997, 57, 1033–1043. [Google Scholar] [CrossRef]
- Cabral-Fonseca, S.; Nunes, J.P.; Rodrigues, M.P.; Eusébio, M.I. Durability of carbon fibre reinforced polymer laminates used to reinforced concrete structures. Sci. Eng. Compos. Mater. 2011, 18, 201–207. [Google Scholar] [CrossRef]
- Sousa, J.M.; Correia, J.R.; Cabral-Fonseca, S. Durability of an epoxy adhesive used in civil structural applications. Constr. Build. Mater. 2018, 161, 618–633. [Google Scholar] [CrossRef]
- Juska, T.; Dutta, P.; Carlson, L.; Weitsman, J. Thermal Effects. In ASCE Gap Analysis for Durability of Fiber Reinforced Polymer Composites in Civil Infrastructure; American Society of Civil Engineers: Reston, VA, USA, 2001; pp. 40–51. ISBN 0-7844-0578-6. [Google Scholar]
- Gonilha, J.A.; Correia, J.R.; Branco, F.A.; Sena-Cruz, J. Durability of GFRP-concrete adhesively bonded connections: Experimental and numerical studies. Eng. Struct. 2018, 168, 784–798. [Google Scholar] [CrossRef]
- Grammatikos, S.A.; Jones, R.G.; Evernden, M.; Correia, J.R. Thermal cycling effects on the durability of a pultruded GFRP material for off-shore civil engineering structures. Compos. Struct. 2016, 153, 297–310. [Google Scholar] [CrossRef]
- Sousa, J.M.; Correia, J.R.; Cabral-Fonseca, S.; Diogo, A.C. Effects of thermal cycles on the mechanical response of pultruded GFRP profiles used in civil engineering applications. Compos. Struct. 2014, 116, 720–731. [Google Scholar] [CrossRef]
- Heshmati, M.; Haghani, R.; Al-Emrani, M. Environmental durability of adhesively bonded FRP/steel joints in civil engineering applications: State of the art. Compos. Part B Eng. 2015, 81, 259–275. [Google Scholar] [CrossRef]
- Cromwell, J.; Harries, K.; Shahrooz, B. Environmental durability of externally bonded FRP materials intended for repair of concrete structures. Constr. Build. Mater. 2011, 25, 2528–2539. [Google Scholar] [CrossRef]
- ISIS Canada. Durability of FRP Composites for Construction; ISIS: Toronto, ON, Canada, 2006. [Google Scholar]
- Moussa, O.; Vassilopoulos, A.P.; Keller, T. Effects of low-temperature curing on physical behavior of cold-curing epoxy adhesives in bridge construction. Int. J. Adhes. Adhes. 2012, 32, 15–22. [Google Scholar] [CrossRef]
- Chin, J.W. Durability of composites exposed to ultraviolet radiation. In Woodhead Publishing Series in Civil and Structural Engineering; Woodhead Publishing: Cambridge, UK, 2007; pp. 80–97. ISBN 978-1-84569-035-9. [Google Scholar]
- Layton, J. Weathering. In Pritchard; Woodhead Publishing: Cambridge, UK, 1999; ISBN 978-1-85573-320-6. [Google Scholar]
- Sousa, J.M. Durability of Pultruded GFRP Profiles and Adhesively Bonded Connections Between GFRP Adherends. Ph.D. Thesis, University of Lisbon, Lisbon, Portugal, 2018. [Google Scholar]
- Frigione, M.; Naddeo, C.; Acierno, D. Cold-Curing Epoxy Resins: Aging and Environmental Effects. I—Thermal Properties. J. Polym. Eng. 2001, 21, 23–52. [Google Scholar] [CrossRef]
- Frigione, M.; Naddeo, C.; Acierno, D. Cold-Curing Epoxy Resins: Aging and Environmental Effects. Part II—Mechanical Properties. J. Polym. Eng. 2001, 21, 349–368. [Google Scholar] [CrossRef]
- CEN. EN 12190:1999 Products and Systems for the Protection and Repair of Concrete Structures. Test Methods. Determination of Compressive Strength of Repair Mortar; CEN—Comité Européen de Normalisation: Brussels, Belgium, 1999. [Google Scholar]
- CEN. EN 196-1:2005 Methods of testing Cement—Determination of Strength; CEN—Comité Européen de Normalisation: Brussels, Belgium, 2005; Volume 3. [Google Scholar]
- ASTM D695-15, Standard Test Method for Compressive Properties of Rigid Plastics; ASTM D695-15: West Conshohocken, PA, USA, 2015.
- ISO. ISO 178:2002—Plastics—Determination of Flexural Properties; International Organization for Standardization (ISO): Genève, Switzerland, 2002. [Google Scholar]
- ISO. ISO 527-3:2018—Plastics—Determination of Tensile Properties Part 3: Test Conditions for Films and Sheets; International Organization for Standardization (ISO): Genève, Switzerland, 2018. [Google Scholar]
- CEN. EN 12615:1999 Products and Systems for the Protection and Repair of Concrete structures. Test methods. Determination of Slant Shear Strength; CEN—Comité Européen de Normalisation: Brussels, Belgium, 1999. [Google Scholar]
- ISO. ISO 4624:2016—Paints and Varnishes—Pull-off Test for Adhesion; International Organization for Standardization (ISO): Genève, Switzerland, 2016. [Google Scholar]
- CEN. EN 13892-8:2002 Methods of Test for Screed Materials. Determination of Bond Strength; CEN-Comité Européen de Normalisation: Brussels, Belgium, 2002. [Google Scholar]
- CEN. EN 1542:1999 Products and Systems for the Protection and Repair of Concrete Structures. Test Methods. Measurement of Bond Strength by Pull-Off; CEN—Comité Européen de Normalisation: Brussels, Belgium, 1999; Volume 10. [Google Scholar]
- CEN. EN 12614:2004 Products and Systems for the Protection and Repair of Concrete Structures. Test Methods. Determination of Glass Transition Temperatures of Polymers; CEN—Comité Européen de Normalisation: Brussels, Belgium, 2004; Volume 12. [Google Scholar]
- S&P CFRP Laminates. Technical Datasheet; S&P: Seewen, Switzerland, 2014. [Google Scholar]
- ISO. ISO 62:2008—Plastics—Determination of Water Absorption; International Organization for Standardization (ISO): Genève, Switzerland, 2008. [Google Scholar]
- ASTM International. Practice for General Techniques for Obtaining Infrared Spectra for Qualitative Analysis; ASTM International: West Conshohocken, PA, USA, 2013. [Google Scholar]
- ISO. ISO 6721-1:2019—Plastics—Determination of dynamic mechanical properties—Part 1: General Principles; International Organization for Standardization (ISO): Genève, Switzerland, 2019. [Google Scholar]
- International Organizational for Standardization. ISO 6721-5:2019—Plastics—Determination of Dynamic Mechanical Properties—Part 5: Flexural Vibration—Non-Resonance Method; International Organizational for Standardization: Geneva, Switzerland, 2019. [Google Scholar]
- ASTM International. ASTM E1640-18, Standard Test Method for Assignment of the Glass Transition Temperature by Dynamic Mechanical Analysis; ASTM International: West Conshohocken, PA, USA, 2018. [Google Scholar]
- ISO. ISO 527-2:2012—Plastics—Determination of Tensile Properties—Part 2: Test conditions for Moulding and Extrusion Plastics; International Organization for Standardization (ISO): Genève, Switzerland, 2012. [Google Scholar]
- ISO. ISO 527-1:2012—Plastics—Determination of Tensile Properties—Part 1: General Principles; International Organization for Standardization (ISO): Genève, Switzerland, 2019. [Google Scholar]
- ISO. ISO 527-5:2009 Part 5: Test Conditions for Unidirectional Fibre-Reinforced Plastic composites. Plastic—Determ. Tensile Prop; International Organization for Standardization (ISO): Genève, Switzerland, 2009; Volume 1. [Google Scholar]
- Silva, P.; Fernandes, P.; Sena-Cruz, J.; Xavier, J.; Castro, F.; Soares, D.; Carneiro, V. Effects of different environmental conditions on the mechanical characteristics of a structural epoxy. Compos. Part B Eng. 2016, 88, 55–63. [Google Scholar] [CrossRef]
- Cabral-Fonseca, S. Durabilidade de Materiais Compósitos de Matriz Polimérica Reforçados com Fibras Usados na Reabilitação de Estruturas de Betão (Durability of Fibre Reinforced Polymer Composite Materials Used in the Rehabilitation of Concrete Structures); University of Minho: Braga, Portugal, 2008. [Google Scholar]
- Michels, J.; Widmann, R.; Czaderski, C.; Allahvirdizadeh, R.; Motavalli, M. Glass transition evaluation of commercially available epoxy resins used for civil engineering applications. Compos. Part B Eng. 2015, 77, 484–493. [Google Scholar] [CrossRef]
- Yang, Q.; Xian, G.; Karbhari, V.M. Hygrothermal ageing of an epoxy adhesive used in FRP strengthening of concrete. J. Appl. Polym. Sci. 2007, 107, 2607–2617. [Google Scholar] [CrossRef]
- Michels, J.; Cruz, J.S.; Christen, R.; Czaderski, C.; Motavalli, M. Mechanical performance of cold-curing epoxy adhesives after different mixing and curing procedures. Compos. Part B Eng. 2016, 98, 434–443. [Google Scholar] [CrossRef]
- S&P. Technical Data Sheet S & P Resin 220 Epoxy Adhesive; S&P: Seewen, Switzerland, 2012. [Google Scholar]
- Sika Sikadur®. 30 Product Data Sheet; SIKA: Dublin, Ireland, 2017. [Google Scholar]
- Kwiecień, A. Stiff and flexible adhesives bonding CFRP to masonry substrates—Investigated in pull-off test and Single-Lap test. Arch. Civ. Mech. Eng. 2012, 12, 228–239. [Google Scholar] [CrossRef]
- Lu, Z.; Xie, J.; Zhang, H.; Li, J. Long-Term Durability of Basalt Fiber-Reinforced Polymer (BFRP) Sheets and the Epoxy Resin Matrix under a Wet–Dry Cyclic Condition in a Chloride-Containing Environment. Polymers 2017, 9, 652. [Google Scholar] [CrossRef] [PubMed]
- Zafar, A.; Bertocco, F.; Schjødt-Thomsen, J.; Rauhe, J. Investigation of the long term effects of moisture on carbon fibre and epoxy matrix composites. Compos. Sci. Technol. 2012, 72, 656–666. [Google Scholar] [CrossRef]
- Zainuddin, S.; Hosur, M.; Zhou, Y.; Kumar, A.; Jeelani, S. Durability studies of montmorillonite clay filled epoxy composites under different environmental conditions. Mater. Sci. Eng. A 2009, 507, 117–123. [Google Scholar] [CrossRef]
- Lettieri, M.; Frigione, M. Effects of humid environment on thermal and mechanical properties of a cold-curing structural epoxy adhesive. Constr. Build. Mater. 2012, 30, 753–760. [Google Scholar] [CrossRef]
- Al-Safy, R.; Al-Mahaidi, R.; Simon, G.P.; Habsuda, J. Experimental investigation on the thermal and mechanical properties of nanoclay-modified adhesives used for bonding CFRP to concrete substrates. Constr. Build. Mater. 2012, 28, 769–778. [Google Scholar] [CrossRef]
- Abu Hassan, S.; Gholami, M.; Ismail, Y.S.; Sam, A.R.M. Characteristics of concrete/CFRP bonding system under natural tropical climate. Constr. Build. Mater. 2015, 77, 297–306. [Google Scholar] [CrossRef]
- Shrestha, J.; Ueda, T.; Zhang, D. Durability of FRP Concrete Bonds and Its Constituent Properties under the Influence of Moisture Conditions. J. Mater. Civ. Eng. 2015, 27, 4014009. [Google Scholar] [CrossRef]
- Savvilotidou, M.; Vassilopoulos, A.; Frigione, M.; Keller, T. Effects of aging in dry environment on physical and mechanical properties of a cold-curing structural epoxy adhesive for bridge construction. Constr. Build. Mater. 2017, 140, 552–561. [Google Scholar] [CrossRef]
- Ke, L.; Li, C.; He, J.; Dong, S.; Chen, C.; Jiao, Y. Effects of elevated temperatures on mechanical behavior of epoxy adhesives and CFRP-steel hybrid joints. Compos. Struct. 2020, 235, 111789. [Google Scholar] [CrossRef]
- Cabral-Fonseca, S.; Nunes, J.P.; Rodrigues, M.P.; Eusébio, M.I. Durability of epoxy adhesives used to bond CFRP laminates to concrete structures. In Proceedings of the 17th International Conference Composite Materials—ICCM 17, Edinburgh, UK, 27–31 July 2009; pp. 1–8. [Google Scholar]
- Frigione, M.; Aiello, M.; Naddeo, C. Water effects on the bond strength of concrete/concrete adhesive joints. Constr. Build. Mater. 2006, 20, 957–970. [Google Scholar] [CrossRef]
- Moazzami, M.; Ayatollahi, M.; Akhavan-Safar, A.; da Silva, L. Experimental and numerical analysis of cyclic aging in an epoxy-based adhesive. Polym. Test. 2020, 91, 106789. [Google Scholar] [CrossRef]
- Goglio, L.; Rezaei, M. Variations in mechanical properties of an epoxy adhesive on exposure to warm moisture. J. Adhes. Sci. Technol. 2012, 28, 1394–1404. [Google Scholar] [CrossRef]
- Heshmati, M.; Haghani, R.; Al-Emrani, M. Durability of bonded FRP-to-steel joints: Effects of moisture, de-icing salt solution, temperature and FRP type. Compos. Part B Eng. 2017, 119, 153–167. [Google Scholar] [CrossRef]
- Xie, J.; Lu, Z.; Guo, Y.; Huang, Y. Durability of CFRP sheets and epoxy resin exposed to natural hygrothermal or cyclic wet-dry environment. Polym. Compos. 2019, 40, 553–567. [Google Scholar] [CrossRef]
- Dawood, M.; Rizkalla, S. Environmental durability of a CFRP system for strengthening steel structures. Constr. Build. Mater. 2010, 24, 1682–1689. [Google Scholar] [CrossRef]
- Fernandes, P.; Silva, P.; Correia, L.; Sena-Cruz, J. Durability of an epoxy adhesive and a CFRP laminate under different exposure conditions. In Proceedings of the SMAR 2015—Third Conference on Smart Monitoring Assessment and Rehabilitation of Civil Structures, Antalya, Turkey, 7–9 September 2015. [Google Scholar]
- Fernandes, P.; Sena-Cruz, J.; Xavier, J.; Silva, P.; Pereira, E. Durability of bond in NSM CFRP-concrete systems under different environmental conditions. Compos. Part B Eng. 2018, 138, 19–34. [Google Scholar] [CrossRef]
- Hawileh, R.A.; Abdalla, J.A.; Hasan, S.S.; Ziyada, M.B.; Abu-Obeidah, A. Models for predicting elastic modulus and tensile strength of carbon, basalt and hybrid carbon-basalt FRP laminates at elevated temperatures. Constr. Build. Mater. 2016, 114, 364–373. [Google Scholar] [CrossRef]
- Shi, J.-W.; Zhu, H.; Wu, G.; Wu, Z.-S. Tensile behavior of FRP and hybrid FRP sheets in freeze–thaw cycling environments. Compos. Part B Eng. 2014, 60, 239–247. [Google Scholar] [CrossRef]
- Katogi, H.; Takemura, K.; Shimamura, Y. Mechanical Properties of Carbon Fiber Reinforced Plastics under Hot-Wet Environment. Key Eng. Mater. 2011, 462-463, 207–212. [Google Scholar] [CrossRef]
- Kumar, B.G.; Singh, R.A.P.; Nakamura, T. Degradation of Carbon Fiber-Reinforced Epoxy Composites by Ultraviolet Radiation and Condensation. J. Compos. Mater. 2002, 36, 2713–2733. [Google Scholar] [CrossRef]
- Lu, Z.; Li, J.; Xie, J.; Huang, P.; Xue, L. Durability of flexurally strengthened RC beams with prestressed CFRP sheet under wet–dry cycling in a chloride-containing environment. Compos. Struct. 2021, 255, 112869. [Google Scholar] [CrossRef]
- Nguyen, T.-C.; Bai, Y.; Zhao, X.-L.; Al-Mahaidi, R. Durability of steel/CFRP double strap joints exposed to sea water, cyclic temperature and humidity. Compos. Struct. 2012, 94, 1834–1845. [Google Scholar] [CrossRef]
- Sciolti, M.S.; Frigione, M.; Aiello, M.A. Wet Lay-Up Manufactured FRPs for Concrete and Masonry Repair: Influence of Water on the Properties of Composites and on Their Epoxy Components. J. Compos. Constr. 2010, 14, 823–833. [Google Scholar] [CrossRef]
- Wu, P.; Xu, L.; Luo, J.; Zhang, X.; Bian, W. Influences of long-term immersion of water and alkaline solution on the fatigue performances of unidirectional pultruded CFRP plate. Constr. Build. Mater. 2019, 205, 344–356. [Google Scholar] [CrossRef]

















| Property | ADH1 Adhesive | ADH2 Adhesive | ||
|---|---|---|---|---|
| Value | Test Method | Value | Test Method | |
| Density, at 23 °C [g/cm3] | 1.7–1.8 | n/a | 1.65 | n/a |
| Compression properties Strength [MPa] Modulus [GPa] | >70 n/a | EN 12190 [34] -- | 75; 90 (1) 9.6 (2) | EN 196 [35] ASTM D 695-15 [36] |
| Flexural properties Modulus [GPa] | >7.1 | EN ISO 178 [37] | n/a | -- |
| Tensile properties Strength [MPa] Modulus [GPa] | n/a n/a | -- -- | 26; 29 (1) 11.2 (2) | EN ISO 527-3 [38] EN ISO 527-3 [38] |
| Shear properties Strength [MPa] | >26 | EN 12615 [39] | 18 (4) | EN ISO 4624 [40] |
| Bond-strength by pull-off, on concrete [MPa] | 3 (3) | EN 13892-8 [41] | >4 (4) | EN 1542 [42] |
| Tg [°C] | n/a | -- | 52 (5) | EN 12614 [43] |
| Environment | Location | Description |
|---|---|---|
| E1 | University of Minho, Guimarães (41°27′11.5″ N 8°17′26.8″ W) | AE; Specimens under controlled hygrothermal conditions, 20 °C and 50% RH (reference environment) |
| E2 | University of Minho, Guimarães (41°27′08.1″ N 8°17′33.8″ W) | AE; Specimens under controlled hygrothermal conditions, 20 °C and 100% RH (immersed in tap water) |
| E3 | National Laboratory of Civil Engineering, Lisbon (38°45′41.7″ N 9°08′30.6″ W) | RE; Mild subtropical Mediterranean climate with short and mild winters and warm to hot summers; high levels of CO2 |
| E4 | Lagoa Comprida Dam (EDP), Seia (40°21′55.8″ N 7°38′52.0″ W) | RE; Mild subtropical Mediterranean climate with low temperatures and snow during the wintertime and warm to hot summers |
| E5 | Factory of S&P Clever and Reinforcement, Elvas (38°53′33.5″ N 7°08′46.0″ W) | RE; Hot summer Mediterranean climate with high temperatures and drought specially during the summer |
| E6 | Port of Viana do Castelo (APDL), V. do Castelo (41°40′57.0″ N 8°49′28.3″ W) | RE; Mild subtropical Mediterranean climate with short and mild winters and warm to hot summers; high levels of chlorides concentration and RH |
| Environment | Year 2018 | Year 2019 | Year 2020 | ||||||||
|---|---|---|---|---|---|---|---|---|---|---|---|
| July-September | October-December | January-March | April-June | July-September | October-December | January-March | April-June | July-September | October-December | ||
| E1 (a) | Temp. [°C] | 20.5 20.0–22.0 | 18.6 17.5–20.0 | 20.5 17.0–22.0 | 20.1 19.5–21.0 | 20.0 20.0–21.5 | 20.1 19.0–21.5 | 20.2 19.0–21.0 | 20.2 19.0–21.5 | -- | -- |
| RH [%] | 69.9 55.0–79.5 | 62.7 53.5–67.5 | 50.7 35.5–69.5 | 60.6 49.0–74.0 | 71.5 56.5–77.5 | 63.8 51.5–75.0 | 54.3 41.5–60.5 | 62.5 48.5–75.5 | -- | -- | |
| E2 (b) | Temp. [°C] | 24.3 24.1–24.5 | 21.4 19.7–25.0 | 20.6 18.6–21.4 | 21.2 19.8–23.9 | 21.6 20.9–22.4 | 19.8 17.6–21.6 | 20.0 (3) - | 20.0 (3) - | -- | -- |
| RH [%] | 100.0 - | 100.0 - | 100.0 - | 100.0 - | 100.0 - | 100.0 - | 100.0 - | 100.0 - | -- | -- | |
| E3 (c) | Temp. [°C] | 22.2 (1) 12.7–46.2 | 15.3 6.2–34.3 | 17.1 3.3–25.7 | 17.9 6.8–35.3 | 22.0 14.5–39.7 | 15.7 6.8–31.0 | 13.6 4.3–27.0 | 14.9 6.6–23.5 | -- | -- |
| RH [%] | 66.2 (1) 14.0–100.0 | 78.5 11.0–100.0 | 71.0 12.0–100.0 | 67.1 13.0–100.0 | 66.8 20.0–100.0 | 81.6 19.0–100.0 | 78.3 22.0–100.0 | 80.5 34.0–100.0 | -- | -- | |
| E4 (2) (d) | Temp. [°C] | 18.0 7.4–32.4 | 7.8 −2.8–22.2 | 5.8 −4.7–18.5 | 10.2 −3.1–26.7 | 17.1 4.8–29.6 | 7.7 −2.3–24.6 | 6.1 −4.6–19.2 | 11.5 −3.6–27.0 | -- | -- |
| RH [%] | 60.3 4.0–100.0 | 78.8 16.0–100.0 | 63.9 7.0–100.0 | 71.4 5.0–100.0 | 59.4 8.0–99.0 | 80.5 7.0–100.0 | 75.3 4.0–100.0 | 79.6 14.0–100.0 | -- | -- | |
| E5 (2) (e) | Temp. [°C] | 26.1 12.6–44.6 | 13.2 1.1–33.0 | 10.9 −1.9–26.2 | 19.3 4.7–38.0 | 25.0 11.7–39.9 | 14.5 3.1–34.7 | 11.6 0.3–25.3 | 19.2 2.1–39.0 | -- | -- |
| RH [%] | 49.1 9.0–95.0 | 79.8 11.0–100.0 | 69.7 14.0–100.0 | 54.6 10.0–100 | 48.5 11.0–97.0 | 75.8 1.04–100.0 | 78.2 28.0–100.0 | 66.5 11.0–100.0 | -- | -- | |
| E6 (a) | Temp. [°C] | -- | -- | 12.1 1.5–28.5 | 17.9 5.0–34.5 | 21.8 12.0–36.0 | 13.7 3.5.0–28.0 | 12.6 2.0–25.0 | 19.0 5.5–25.0 | 22.5 11.0–39.5 | 14.2 4.0–26 |
| RH [%] | -- | -- | 76.1 18.0–100.0 | 69.0 26.5–99.0 | 71.0 22.0–99.0 | 88.1 45.0–100.0 | 82.8 38.5–100.0 | 75.8 33.5–100.0 | 70.2 28.5–99.5 | 86.7 42.0–100.0 | |
| Environment | Tg (E’onset) [°C] (CoV [%]) | Tg (tan δ) [°C] (CoV [%]) | ||||
|---|---|---|---|---|---|---|
| T0 | T1 | T2 | T0 | T1 | T2 | |
| ADH1 | ||||||
| E1 | 46.2 (0.3) | 50.4 (1.1) | 50.5 (0.6) | 57.0 (0.2) | 62.0 (0.2) | 62.8 (0.6) |
| E2 | 46.6 (0.1) | 43.2 (1.0) | 57.9 (0.3) | 54.9 (0.6) | ||
| E3 | 51.8 (0.2) | 54.1 (0.5) | 64.5 (0.6) | 67.6 (0.1) | ||
| E4 | 51.5 (0.3) | 54.9 (2.0) | 62.7 (0.5) | 65.8 (1.5) | ||
| E5 | 51.2 (1.1) | 56.2 (-) | 65.9 (0.2) | 70.4 (-) | ||
| E6 | 49.9 (1.6) | n/a | 61.1 (1.4) | n/a | ||
| ADH2 | ||||||
| E1 | 44.3 (1.0) | 49.9 (0.0) | 50.5 (0.4) | 55.3 (0.8) | 60.5 (0.1) | 61.2 (0.2) |
| E2 | 46.8 (0.0) | 42.3 (0.8) | 56.9 (0.3) | 53.5 (1.2) | ||
| E3 | 50.1 (0.2) | 51.0 (0.4) | 62.1 (0.5) | 64.9 (0.9) | ||
| E4 | 49.3 (2.7) | 52.0 (0.5) | 59.6 (1.5) | 63.2 (0.2) | ||
| E5 | 48.9 (0.7) | 53.9 (0.5) | 62.4 (2.2) | 67.4 (0.3) | ||
| E6 | 50.3 (0.3) | n/a | 61.8 (0.2) | n/a | ||
| Environment | fult [MPa] (CoV [%]) | Ea [GPa] (CoV [%]) | εult [%] (CoV [%]) | ||||||
|---|---|---|---|---|---|---|---|---|---|
| T0 | T1 | T2 | T0 | T1 | T2 | T0 | T1 | T2 | |
| ADH1 | |||||||||
| E1 | 19.9 (3.0) | 19.5 (1.8) | 18.2 (2.8) | 6.5 (3.0) | 6.6 (1.3) | 6.1 (1.4) | 0.4 (6.2) | 0.4 (13.0) | 0.3 (11.6) |
| E2 | 7.2 (3.1) | 6.7 (2.7) | 1.9 (5.2) | 1.6 (4.0) | 1.1 (21.3) | 1.1 (11.9) | |||
| E3 | 19.9 (3.1) | 17.4 (5.3) | 6.7 (4.4) | 6.0 (5.4) | 0.3 (11.1) | 0.3 (19.1) | |||
| E4 | 20.1 (3.4) | 17.2 (4.3) | 7.2 (1.4) | 5.4 (6.9) | 0.3 (11.3) | 0.3 (12.8) | |||
| E5 | 21.9 (5.2) | 18 (3.6) | 7.5 (5.7) | 6.1 (5.0) | 0.3 (11.2) | 0.3 (13.1) | |||
| E6 | 17.7 (6.4) | 15.8 (4.3) | 6.2 (5.4) | 5.0 (10.0) | 0.3 (4.3) | 0.3 (12.9) | |||
| ADH2 | |||||||||
| E1 | 24.8 (7.0) | 29.2 (3.8) | 26.2 (5.7) | 8.0 (8.2) | 9.6 (3.7) | 8.4 (3.6) | 0.4 (20.0) | 0.3 (18.5) | 0.4 (18.2) |
| E2 | 13.9 (2.5) | 11.0 (7.6) | 3.8 (7.4) | 3.1 (8.8) | 0.3 (10.8) | 0.3 (11.7) | |||
| E3 | 33.0 (3.6) | 27.7 (5.8) | 10.6 (3.7) | 8.8 (5.3) | 0.4 (14.7) | 0.3 (8.7) | |||
| E4 | 31.5 (1.8) | 25.7 (5.7) | 10.2 (1.6) | 8.1 (6.6) | 0.4 (9.1) | 0.3 (15.8) | |||
| E5 | 32.7 (4.6) | 28.6 (4) | 10.4 (7.2) | 9.0 (4.7) | 0.4 (10.3) | 0.3 (14.4) | |||
| E6 | 34.0 (3.8) | 33.4 (3.8) | 11.8 (2.1) | 10.9 (3.4) | 0.3 (11.3) | 0.3 (3.5) | |||
| Environment | ffu [MPa] (CoV [%]) | Ef [GPa] (CoV [%]) | εult [×10−3] (CoV [%]) | ||||||
|---|---|---|---|---|---|---|---|---|---|
| T0 | T1 | T2 | T0 | T1 | T2 | T0 | T1 | T2 | |
| Laminate L10 | |||||||||
| E1 | 2405 (3.8) | 2674 (2.7) | 2528 (4.4) | 164 (1.2) | 179 (1.6) | 165 (2.7) | 14.6 (3.8) | 14.9 (3.2) | 15.3 (6.1) |
| E2 | 2688 (3.4) | 2460 (7.1) | 174 (0.7) | 168 (0.5) | 15.5 (2.9) | 16.0 (12.5) | |||
| E3 | 2792 (3.7) | 2590 (5.4) | 177 (1.8) | 172 (1.1) | 15.8 (3.8) | 15.1 (5.1) | |||
| E4 | 2758 (2.9) | 2617 (4.5) | 175 (1.8) | 174 (4.5) | 15.8 (2.3) | 15.0 (4.5) | |||
| E5 | 2611 (5.0) | 2619 (5.3) | 173 (2.0) | 176 (1.5) | 15.1 (4.6) | 14.9 (5.2) | |||
| E6 | 2667 (3.0) | 2640 (2.9) | 171 (1.4) | 165 (4.2) | 15.6 (2.9) | 16.0 (1.9) | |||
| Laminate L50 | |||||||||
| E1 | 2527 (10.8) | 2748 (2.6) | 2497 (1.7) | 190 (9.3%) | 174 (2.8) | 164 (1.3) | 13.3 (13.6) | 15.8 (3.6) | 15.3 (1.9) |
| E2 | 2750 (2.0) | 2594 (2.8) | 177 (3.2) | 169 (2.3) | 15.6 (3.9) | 15.5 (3.0) | |||
| E3 | 2778 (2.1) | 2735 (1.8) | 174 (2.7) | 175 (0.9) | 16.0 (3.6) | 15.6 (1.2) | |||
| E4 | 2760 (2.5) | 2703 (3.4) | 176 (1.5) | 175 (0.8) | 15.7 (2.8) | 15.4 (3.3) | |||
| E5 | 2720 (3.9) | 2618 (3.6) | 178 (1.2) | 175 (1.3) | 15.3 (4.0) | 14.9 (2.6) | |||
| E6 | 2665 (2.2) | 2554 (4.6) | 169 (1.6) | 168 (6.0) | 15.7 (2.6) | 15.2 (6.1) | |||
Publisher’s Note: MDPI stays neutral with regard to jurisdictional claims in published maps and institutional affiliations. |
© 2021 by the authors. Licensee MDPI, Basel, Switzerland. This article is an open access article distributed under the terms and conditions of the Creative Commons Attribution (CC BY) license (http://creativecommons.org/licenses/by/4.0/).
Share and Cite
Cruz, R.; Correia, L.; Dushimimana, A.; Cabral-Fonseca, S.; Sena-Cruz, J. Durability of Epoxy Adhesives and Carbon Fibre Reinforced Polymer Laminates Used in Strengthening Systems: Accelerated Ageing versus Natural Ageing. Materials 2021, 14, 1533. https://doi.org/10.3390/ma14061533
Cruz R, Correia L, Dushimimana A, Cabral-Fonseca S, Sena-Cruz J. Durability of Epoxy Adhesives and Carbon Fibre Reinforced Polymer Laminates Used in Strengthening Systems: Accelerated Ageing versus Natural Ageing. Materials. 2021; 14(6):1533. https://doi.org/10.3390/ma14061533
Chicago/Turabian StyleCruz, Ricardo, Luís Correia, Aloys Dushimimana, Susana Cabral-Fonseca, and José Sena-Cruz. 2021. "Durability of Epoxy Adhesives and Carbon Fibre Reinforced Polymer Laminates Used in Strengthening Systems: Accelerated Ageing versus Natural Ageing" Materials 14, no. 6: 1533. https://doi.org/10.3390/ma14061533
APA StyleCruz, R., Correia, L., Dushimimana, A., Cabral-Fonseca, S., & Sena-Cruz, J. (2021). Durability of Epoxy Adhesives and Carbon Fibre Reinforced Polymer Laminates Used in Strengthening Systems: Accelerated Ageing versus Natural Ageing. Materials, 14(6), 1533. https://doi.org/10.3390/ma14061533

