New Composite Material for Masonry Repair: Mortar Formulations and Experimental Studies
Abstract
1. Introduction
2. Materials and Test Methods
2.1. Stainless-Steel Grid
2.2. Cement Mortars
2.3. Tensile Test: Specimen Geometry and Preparation
2.4. Bond Test: Specimen Geometry and Preparation
2.5. Additional Tests: Determination of Anchoring Length
3. Results and Discussion
3.1. Mortar Specimens
3.2. Tensile Test Results and Discussions
3.3. Bond Tests
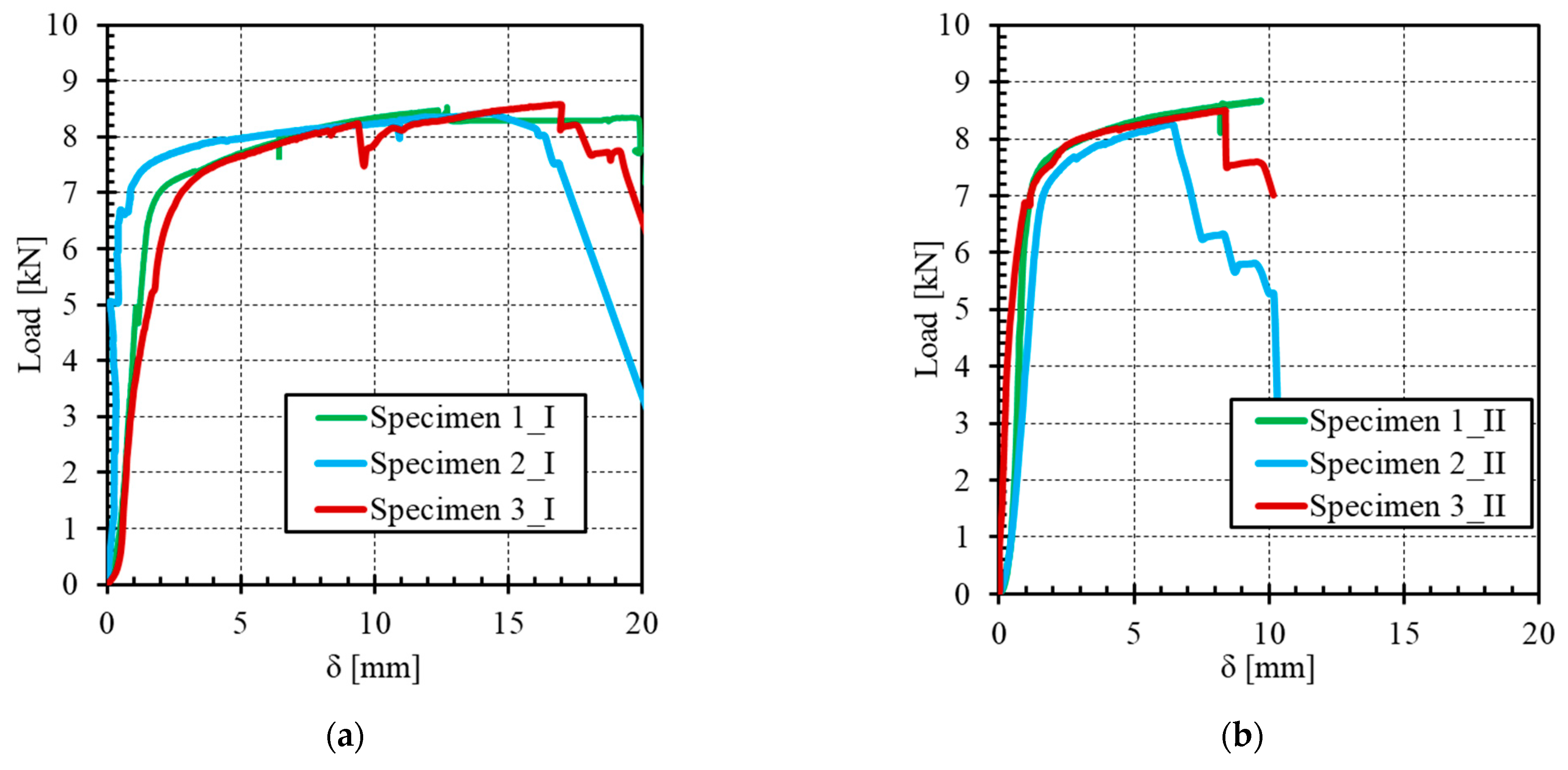
3.3.1. Failure Modes
- Mixed failure mode: tensile rupture of the steel grid out of the bonded area with mortar splitting at the loaded end. The failure was initiated by the formation of a single transversal crack on the top part of the bonded area (at an early stage of loading). This crack opened further at the end of the test and the top 1–3 cm of the matrix detached completely from the clay brick. The development of this crack can be explained by the textile elongation within the mortar matrix during the elastic behaviour stage. The rest of the interface was visibly intact, and no cracks/separation was observed. Finally, the failure was ended by rupture of the longitudinal steel cords progressively. This might be attributed to the bonding capacity between fabric and mortar matrix as well as the adherence between composite (fabric and mortar) and clay brick [6,13]. Examples of this failure mode are shown in Figure 9.
- Debonding of TRM from the clay substrate without peeling off parts of the clay brick (as shown in Figure 10). Here, the TRM composite remains almost intact after failure and detaches from the substrate as a single body.
3.3.2. Numerical Results
- Stage I–Elastic: the linear response signifies the perfect bond between the SSGRM composite and brick.
- Stage II–Non-linear: this stage depends on the failure mode.
- Failure mode 1: nonlinear behaviour of the SSG (ductility) followed by brutal rupture of the steel cords.
- Failure mode 2: partial debonding starts and spreads along the bonded length with successive debonding until entire embedded length is debonded. This behaviour stage was not observed because of the high stroke rate. The SSGRM was brutally separated from the clay brick.
3.4. Determination of Anchoring Length
4. Conclusions
- As a result of this experimental study, mortar matrices, based on the combination of silica fume, fly ash, and blast furnace slag in binary and ternary systems, were developed which are equivalent in performance to the better mortars of this same general type.
- Blast furnace slag and fly ash can be used as cement replacement to improve the workability, strength, and durability, as well as the bonding between mortar and fabric.
- Tensile tests showed that the SSGs allow for a good stress distribution in the cement-based matrix, with a diffuse cracking mode.
- SRGRM composite displayed a non-linear behaviour with high ductility before failure, which ensures the flexibility-deformability (energy dissipation) of the composite.
- Results of the bond tests indicated that formulations involving silica fume had satisfactory inherent strength but a very low quality of bond on the clay brick.
- High tensile and bond strengths can be achieved and, a good adherence between the constituents of the assembly (brick, mortar and SSG) can also be obtained, with the mortar formulations containing fly ash or blast-furnace slag.
- Increasing the anchorage length resulted in higher load-carrying capacity of bond specimen. An optimal anchorage length of approximately 150 mm for which a high exploitation ratio of the SSG was found.
Author Contributions
Funding
Institutional Review Board Statement
Informed Consent Statement
Data Availability Statement
Acknowledgments
Conflicts of Interest
References
- Triantafillou, T.C. Textile Fibre Composites in Civil Engineering; Woodhead Publishing: Cambridge, UK, 2016. [Google Scholar]
- Konthesingha, K.M.C.; Masia, M.J.; Petersen, R.B.; Mojsilovic, N.; Simundic, G.; Page, A.W. Static cyclic in-plane shear response of damaged masonry walls retrofitted with NSM FRP strips—An experimental evaluation. Eng. Struct. 2013, 50, 126–136. [Google Scholar] [CrossRef]
- Santa-Maria, H.; Alcaino, P. Repair of in-plane shear damaged masonry walls with external FRP. Constr. Build. Mater. 2011, 25, 1172–1180. [Google Scholar] [CrossRef]
- Zhou, D.; Lei, Z.; Wang, J. In-plane behavior of seismically damaged masonry walls repaired with external BFRP. Compos. Struct. 2013, 102, 9–19. [Google Scholar] [CrossRef]
- Kouris, L.A.S.; Triantafillou, T.C. State-of-the-art on strengthening of masonry structures with textile reinforced mortar (TRM). Constr. Build. Mater. 2018, 188, 1221–1233. [Google Scholar] [CrossRef]
- De Santis, S.; De Felice, G. Tensile behaviour of mortar-based composites for externally bonded reinforcement systems. Compos. Part B Eng. 2015, 68, 401–413. [Google Scholar] [CrossRef]
- Behera, B.; Nanda, R.P. In-plane shear strengthening of brick masonry panel with geogrid reinforcement embedded in bed and bed-head joints mortar. Eng. Struct. 2021, 227, 111411. [Google Scholar] [CrossRef]
- Bertolesi, E.; Torres, B.; Adam, J.M.; Calderón, P.A.; Moragues, J.J. Effectiveness of Textile Reinforced Mortar (TRM) materials for the repair of full-scale timbrel masonry cross vaults. Eng. Struct. 2020, 220, 110978. [Google Scholar] [CrossRef]
- Borri, A.; Castori, G.; Corradi, M. Shear behavior of masonry panels strengthened by high strength steel cords. Constr. Build. Mater. 2011, 25, 494–503. [Google Scholar] [CrossRef]
- De Risi, M.T.; Furtado, A.; Rodrigues, H.; Melo, J.; Verderame, G.M.; António, A.; Varum, H.; Manfredi, G. Experimental analysis of strengthening solutions for the out-of-plane collapse of masonry infills in RC structures through textile reinforced mortars. Eng. Struct. 2020, 207, 110203. [Google Scholar] [CrossRef]
- De Santis, S.; De Felice, G. Steel reinforced grout systems for the strengthening of masonry structures. Compos. Struct. 2015, 134, 533–548. [Google Scholar] [CrossRef]
- Wang, X.; Lam, C.C.; Iu, V.P. Experimental investigation of in-plane shear behaviour of grey clay brick masonry panels strengthened with SRG. Eng. Struct. 2018, 162, 84–96. [Google Scholar] [CrossRef]
- Butler, M.; Mechtcherine, V.; Hempel, S. Experimental investigations on the durability of fibre–matrix interfaces in textile-reinforced concrete. Cem. Concr. Compos. 2009, 31, 221–231. [Google Scholar] [CrossRef]
- Carozzi, F.G.; Bellini, A.; D’Antino, T.; De Felice, G.; Focacci, F.; Hojdys, Ł.; Laghi, L.; Lanoye, E.; Micelli, F.; Panizza, M.; et al. Experimental investigation of tensile and bond properties of Carbon-FRCM composites for strengthening masonry elements. Compos. Part B Eng. 2017, 128, 100–119. [Google Scholar] [CrossRef]
- De Felice, G.; De Santis, S.; Garmendia, L.; Ghiassi, B.; Larrinaga, P.; Lourenço, P.B.; Oliveira, D.V.; Paolacci, F.; Papanicolaou, C.G. Mortar-based systems for externally bonded strengthening of masonry. Mater. Struct. 2014, 47, 2021–2037. [Google Scholar] [CrossRef]
- Papanicolaou, C.G.; Triantafillou, T.C.; Papathanasiou, M.; Karlos, K. Textile reinforced mortar (TRM) versus FRP as strengthening material of URM walls: Out-of-plane cyclic loading. Mater. Struct. 2007, 41, 143–157. [Google Scholar] [CrossRef]
- De Santis, S. Bond behaviour of Steel Reinforced Grout for the extrados strengthening of masonry vaults. Constr. Build. Mater. 2017, 150, 367–382. [Google Scholar] [CrossRef]
- Yacila, J.; Salsavilca, J.; Tarque, N.; Camata, G. Experimental assessment of confined masonry walls retrofitted with SRG under lateral cyclic loads. Eng. Struct. 2019, 199, 109555. [Google Scholar] [CrossRef]
- Caggegi, C.; Lanoye, E.; Djama, K.; Bassil, A.; Gabor, A. Tensile behaviour of a basalt TRM strengthening system: Influence of mortar and reinforcing textile ratios. Compos. Part B Eng. 2017, 130, 90–102. [Google Scholar] [CrossRef]
- Plassiard, J.P.; Plé, O.; Perrotin, P. Repair of a masonry wall with an innovative ciment based composite. In Proceedings of the 9th International Conference on Fibre-Reinforced Polymer (FRP) Composites in Civil Engineering, CICE 2018, Paris, France, 17–19 July 2018. [Google Scholar]
- Papanicolaou, C.; Triantafillou, T.; Lekka, M. Externally bonded grids as strengthening and seismic retrofitting materials of masonry panels. Constr. Build. Mater. 2011, 25, 504–514. [Google Scholar] [CrossRef]
- Dong, Z.; Deng, M.; Zhang, C.; Zhang, Y.; Sun, H. Tensile behavior of glass textile reinforced mortar (TRM) added with short PVA fibers. Constr. Build. Mater. 2020, 260, 119897. [Google Scholar] [CrossRef]
- Signorini, C.; Nobili, A.; Siligardi, C. Sustainable mineral coating of alkali-resistant glass fibres in textile-reinforced mortar composites for structural purposes. J. Compos. Mater. 2019, 53, 4203–4213. [Google Scholar] [CrossRef]
- Deboucha, W.; Leklou, N.; Khelidj, A.; Oudjit, M.N. Hydration development of mineral additives blended cement using thermogravimetric analysis (TGA): Methodology of calculating the degree of hydration. Constr. Build. Mater. 2017, 146, 687–701. [Google Scholar] [CrossRef]
- Fediuk, R.S.; Lesovik, V.S.; Liseitsev, Y.L.; Timokhin, R.A.; Bituyev, A.V.; Zaiakhanov, M.Y.; Mochalov, A.V. Composite binders for concretes with improved shock resistance. Mag. Civ. Eng. 2019, 85, 28–38. [Google Scholar] [CrossRef]
- Fediuk, R.; Yushin, A. Composite binders for concrete with reduced permeability. In Proceedings of the International Conference on Advanced Materials and New Technologies in Modern Materials Science 2015, Tomsk, Russia, 9–11 November 2015; Volume 116, p. 012021. [Google Scholar]
- Deboucha, W.; Oudjit, M.N.; Bouzid, A.; Belagraa, L. Effect of Incorporating Blast Furnace Slag and Natural Pozzolana on Compressive Strength and Capillary Water Absorption of Concrete. Procedia Eng. 2015, 108, 254–261. [Google Scholar] [CrossRef]
- British Standards Institution. BS EN 196 Publication Methods of Testing Cement Part 1: Determination of Strength; Bs En 196-1; British Standards Institution: London, UK, 2016. [Google Scholar] [CrossRef]
- RILEM Technical Committee 232-TDT (Wolfgang Brameshuber); Brameshuber, W.; Hinzen, M.; Dubey, A.; Peled, A.; Mobasher, B.; Bentur, A.; Aldea, C.; Silva, F.; Hegger, J.; et al. Recommendation of RILEM TC 232-TDT: Test methods and design of textile reinforced concrete. Mater. Struct. 2016, 49, 4923–4927. [Google Scholar] [CrossRef]
- De Felice, G.; Aiello, M.A.; Caggegi, C.; Ceroni, F.; De Santis, S.; Garbin, E.; Gattesco, N.; Hojdys, Ł.; Krajewski, P.; Kwiecień, A.; et al. Recommendation of RILEM Technical Committee 250-CSM: Test method for Textile Reinforced Mortar to substrate bond characterization. Mater. Struct. 2018, 51, 1–9. [Google Scholar] [CrossRef]
- Contamine, R.; Larbi, A.S.; Hamelin, P. Contribution to direct tensile testing of textile reinforced concrete (TRC) composites. Mater. Sci. Eng. A 2011, 528, 8589–8598. [Google Scholar] [CrossRef]
- Contamine, R.; Plassiard, J.-P.; Perrotin, P. Confrontation de Composites Textile-Mortier (TRC) à Renfort Carbone ou Acier Pour le Renforcement D’éléments de Maçonnerie; RencontresUniversitaires de Génie Civil: Bayonne, France, 2015; pp. 1–8. [Google Scholar]
- Lignola, G.P.; Caggegi, C.; Ceroni, F.; De Santis, S.; Krajewski, P.; Lourenço, P.B.; Morganti, M.; Papanicolaou, C.; Pellegrino, C.; Prota, A.; et al. Performance assessment of basalt FRCM for retrofit applications on masonry. Compos. Part B Eng. 2017, 128, 1–18. [Google Scholar] [CrossRef]
- Caggegi, C.; Carozzi, F.G.; De Santis, S.; Fabbrocino, F.; Focacci, F.; Hojdys, Ł.; Lanoye, E.; Zuccarino, L. Experimental analysis on tensile and bond properties of PBO and aramid fabric reinforced cementitious matrix for strengthening masonry structures. Compos. Part B Eng. 2017, 127, 175–195. [Google Scholar] [CrossRef]
- Wang, X.; Lam, C.C.; Iu, V.P. Comparison of different types of TRM composites for strengthening masonry panels. Constr. Build. Mater. 2019, 219, 184–194. [Google Scholar] [CrossRef]
- Courard, L. Contribution à L’analyse des Paramètres Influençant la Création de L’interface Entre un Béton et un Système de Réparation. Ph.D. Thesis, Université de Liège, Liège, Belgique, 1998. [Google Scholar]
- Gouny, F.; Fouchal, F.; Maillard, P.; Rossignol, S. New Mortar for Clay Masonry Structures. Adv. Mater. Res. 2013, 705, 3–8. [Google Scholar] [CrossRef]














| Type | Acronym | Elastic Modulus E (GPa) | ||
|---|---|---|---|---|
| Steel | SSG | 670.0 ± 19.5 | 27.6 ± 12.1 | 36.4 ± 2.9 |
| Component | Quantity [kg/m3] | ||||||
|---|---|---|---|---|---|---|---|
| Mineral Admixtures | Chemical Admixtures | ||||||
| Matrix | Cement (CEM I 52.5) | Fly ash | Silica fume | Blast-furnace slag | Fine aggregate dmax < 2 mm | Superplasticizer | Water |
| MI | 800 | - | - | - | 1325.1 | 25 | 223 |
| MII | 640 | - | - | 160 | 1319.1 | 25 | 223 |
| MIII | 640 | 160 | - | - | 1315.7 | 25 | 223 |
| MIV | 640 | - | 40 | 120 | 1308.8 | 25 | 223 |
| MV | 640 | 120 | 40 | - | 1306.2 | 25 | 223 |
| Formulation | Fcr (kN) | Fu (kN) | σc (N/mm2) | σf (N/mm2) |
|---|---|---|---|---|
| MI | 4.68 ± 0.51 | 8.90 ± 0.38 | 14.83 ± 0.63 | 708.29 ± 30.11 |
| MII | 4.65 ± 0.2 | 8.28 ± 0.53 | 13.80 ± 0.88 | 658.93 ± 41.95 |
| MIII | 3.31 ± 0.69 | 7.30 ± 0.65 | 12.17 ± 1.09 | 581.00 ± 51.86 |
| MIV | 3.65 ± 0.7 | 7.45 ± 0.46 | 12.41 ± 0.76 | 592.75 ± 36.26 |
| MV | 3.50 ± 1.18 | 7.45 ± 1.45 | 12.41 ± 2.41 | 592.51 ± 115.12 |
| Formulations | Peak Load (kN) | Slip (δ) (mm) | Mean Ultimate Shear Stress (MPa) | Failure Mode | |
|---|---|---|---|---|---|
| MI | 8.52 ± 0.08 | 14.67 ± 2.13 | 0.96 ± 0.01 | 0.34 ± 0.00 | Mixed |
| MII | 8.53 ± 0.23 | 8.16 ± 1.67 | 1.03 ± 0.03 | 0.34 ± 0.01 | Mixed |
| MIII | 7.83 ± 0.37 | 5.42 ± 0.38 | 1.07 ± 0.05 | 0.31 ± 0.01 | Mixed |
| MIV | 3.26 ± 0.46 | 0.58 ± 0.21 | 0.44 ± 0.06 | 0.13 ± 0.02 | Debonding |
| MV | 3.11 ± 0.83 | 0.41 ± 0.12 | 0.42 ± 0.11 | 0.12 ± 0.03 | Debonding |
| Anchorage Length (mm) | Peak Load (kN) | Slip (δ) (mm) | Mean Ultimate Shear Stress (Mpa) | Failure Mode | |
|---|---|---|---|---|---|
| 50 | 2.55 ± 1.70 | 1.30 ± 0.14 | 0.31 ± 0.21 | 0.51 ± 0.34 | CB/DB |
| 100 | 2.02 ± 0.02 | 2.11 ± 0.04 | 0.24 ± 0.00 | 0.20 ± 0.00 | DB |
| 150 | 7.47 ± 0.58 | 16.34 ± 0.45 | 0.90 ± 0.07 | 0.50 ± 0.04 | TF/DI |
| 250 | 8.53 ± 0.23 | 8.16 ± 1.67 | 1.03 ± 0.03 | 0.34 ± 0.01 | TF |
Publisher’s Note: MDPI stays neutral with regard to jurisdictional claims in published maps and institutional affiliations. |
© 2021 by the authors. Licensee MDPI, Basel, Switzerland. This article is an open access article distributed under the terms and conditions of the Creative Commons Attribution (CC BY) license (http://creativecommons.org/licenses/by/4.0/).
Share and Cite
Deboucha, W.; Alachek, I.; Plassiard, J.-P.; Plé, O. New Composite Material for Masonry Repair: Mortar Formulations and Experimental Studies. Materials 2021, 14, 912. https://doi.org/10.3390/ma14040912
Deboucha W, Alachek I, Plassiard J-P, Plé O. New Composite Material for Masonry Repair: Mortar Formulations and Experimental Studies. Materials. 2021; 14(4):912. https://doi.org/10.3390/ma14040912
Chicago/Turabian StyleDeboucha, Walid, Ibrahim Alachek, Jean-Patrick Plassiard, and Olivier Plé. 2021. "New Composite Material for Masonry Repair: Mortar Formulations and Experimental Studies" Materials 14, no. 4: 912. https://doi.org/10.3390/ma14040912
APA StyleDeboucha, W., Alachek, I., Plassiard, J.-P., & Plé, O. (2021). New Composite Material for Masonry Repair: Mortar Formulations and Experimental Studies. Materials, 14(4), 912. https://doi.org/10.3390/ma14040912
