Complex Rayleigh Waves in Nonhomogeneous Magneto-Electro-Elastic Half-Spaces
Abstract
1. Introduction
2. Theoretical Formulation and Solution
2.1. Basic Equations
2.2. Solution of the Problem
3. Numerical Results and Discussion
3.1. Approach Validation
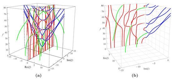
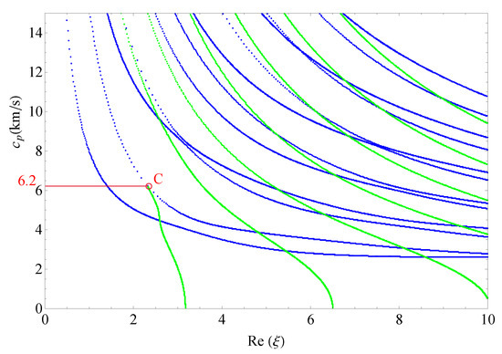
3.2. Full Frequency Spectra
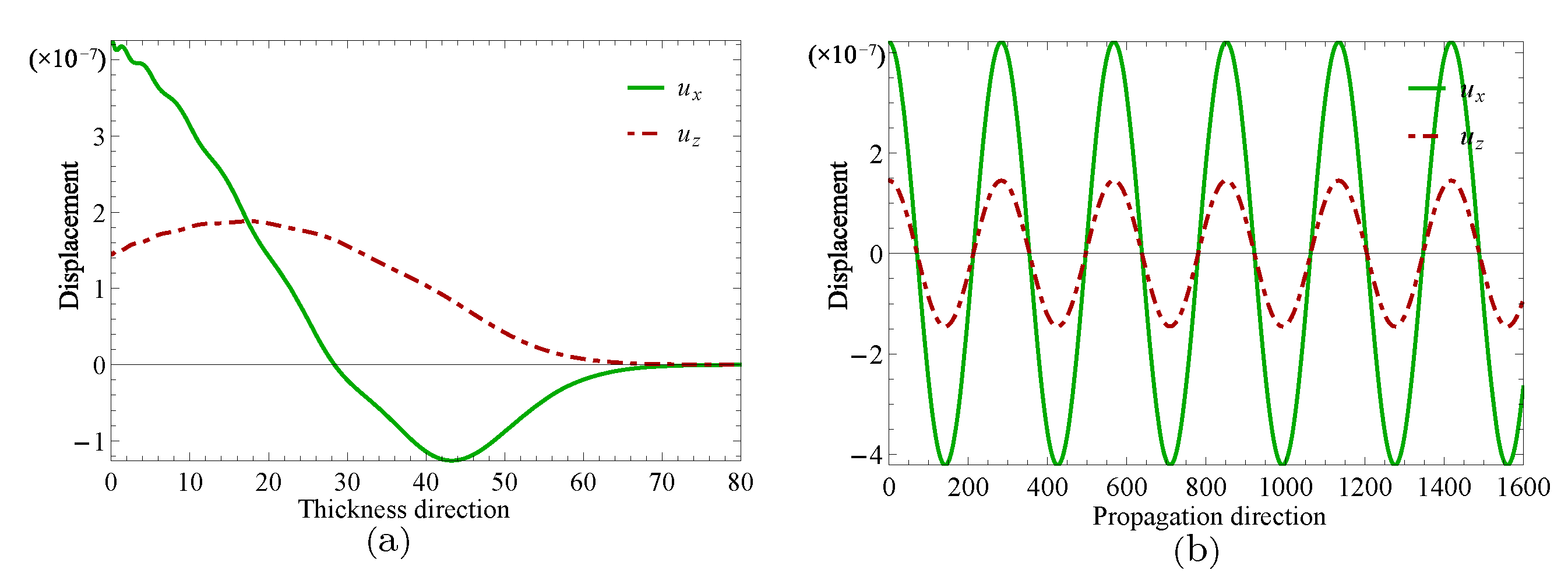
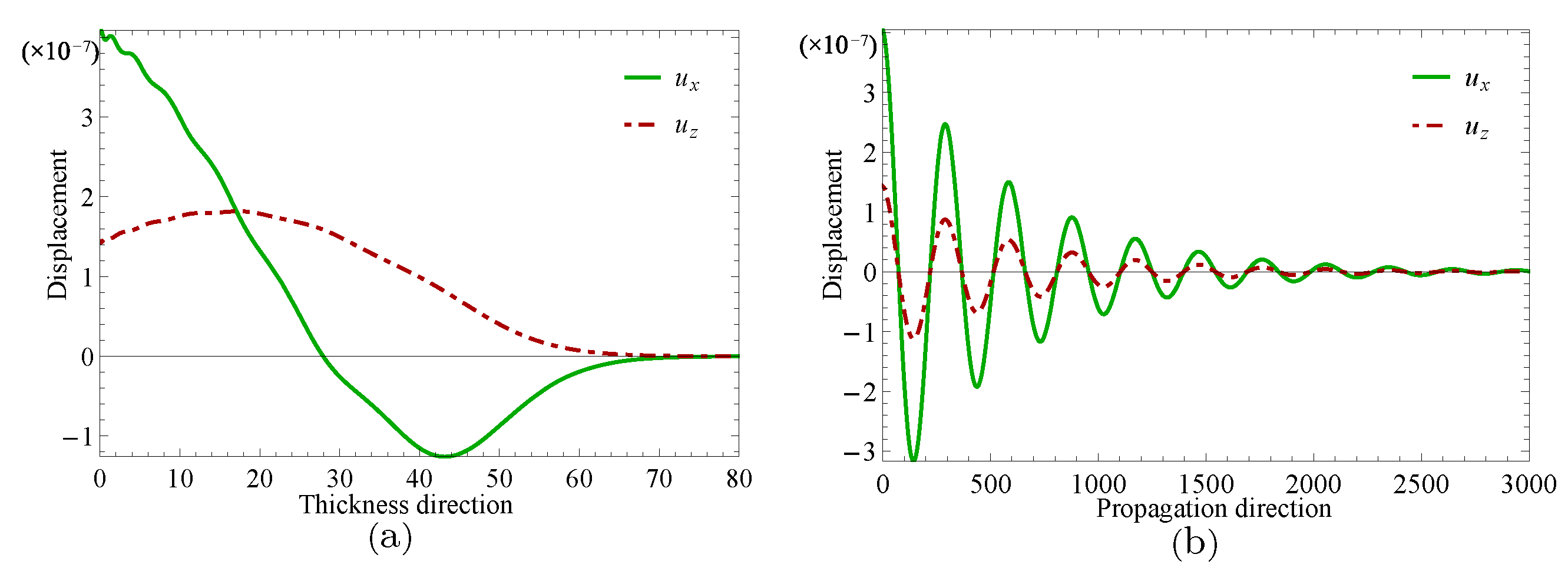
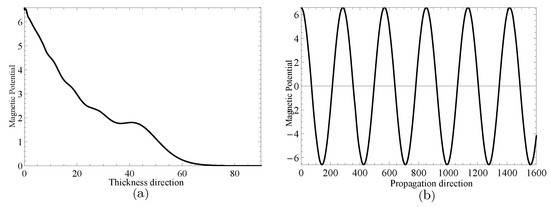
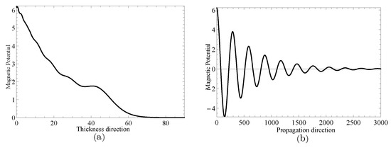
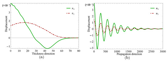
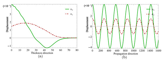
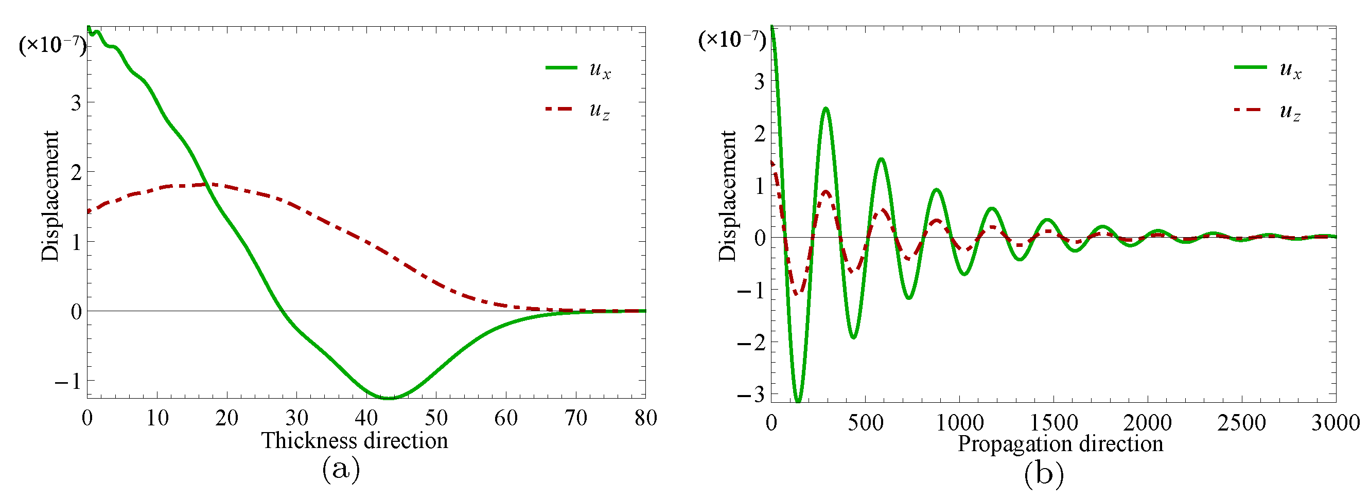
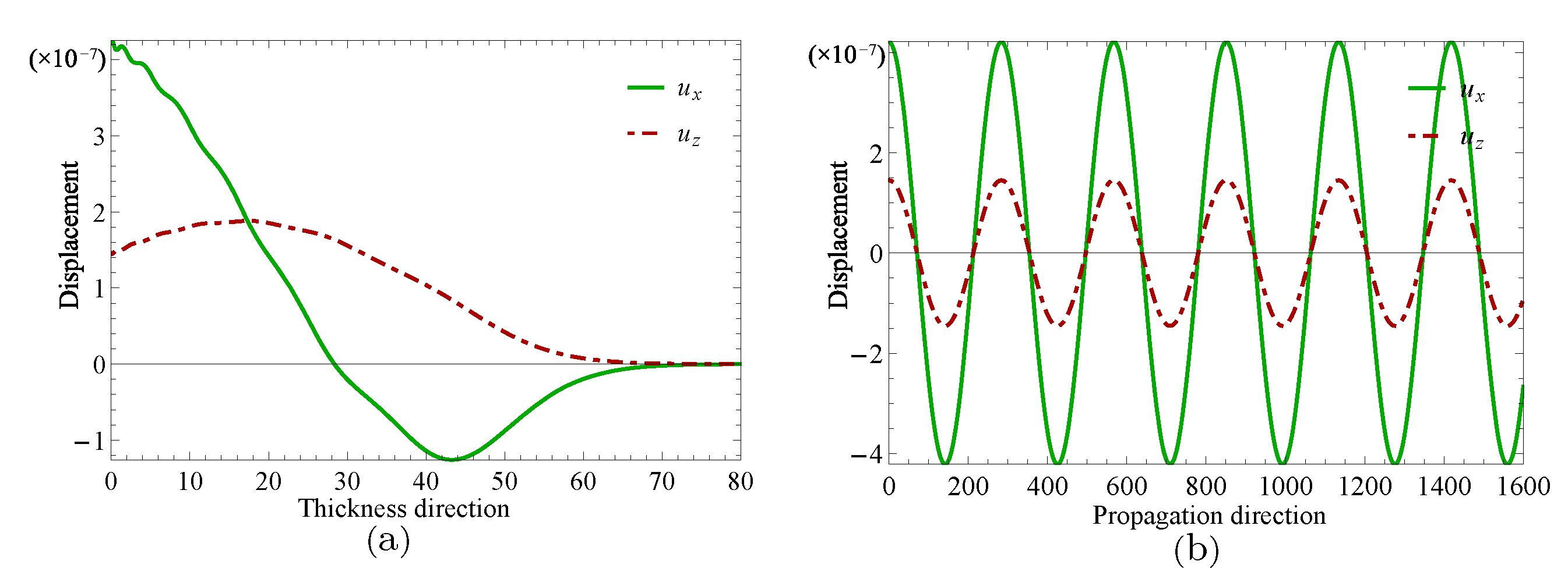
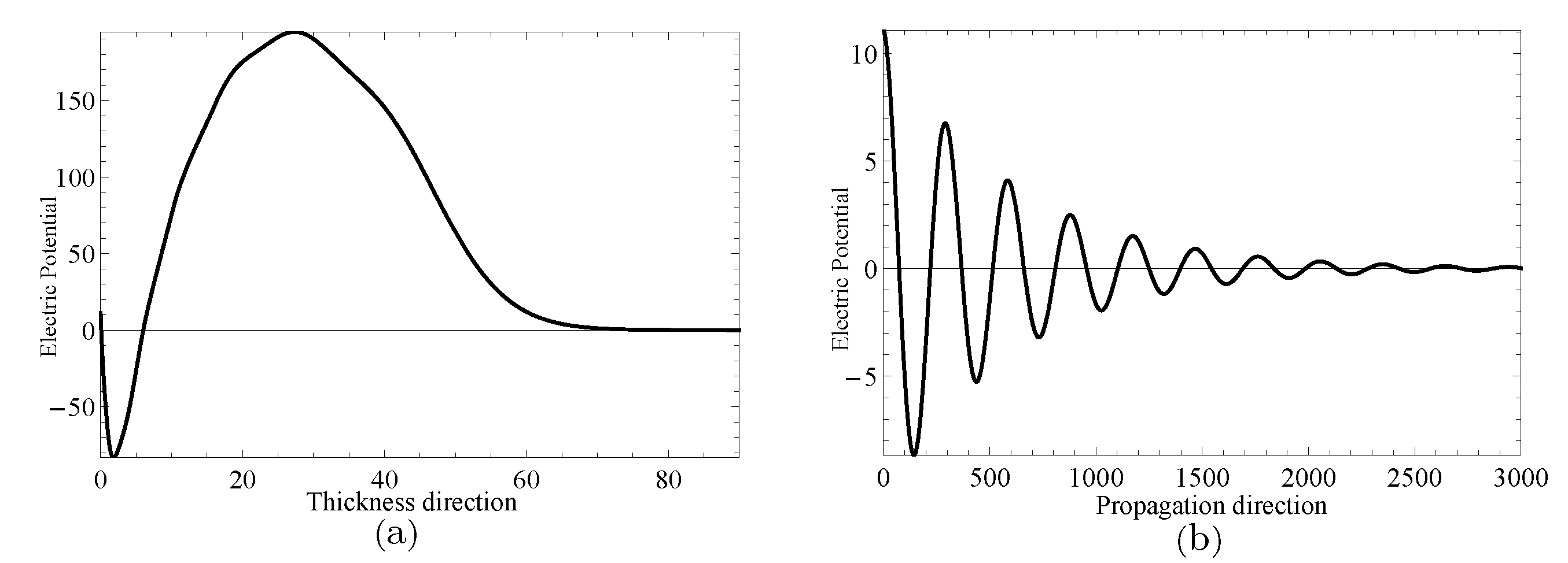
3.3. The Analysis of Displacement and Field Distributions
3.4. Effects of Nonhomogeneous and Magnetoelectric Properties on Phase Velocity
4. Conclusions
- The developed method takes angular frequency as independent variable and constructs characteristic equation, furthermore transforms the problem of finding the solution of acoustic waves into an eigenvalue problem, and successfully obtains the real, imaginary and complex wave modes.
- In this configuration and material, although electric and magnetic properties have less effect on the cut-off frequencies of complex solutions than nonhomogeneous coefficient, magnetic properties have more effect on the ratio of the real part to the imaginary part of complex solutions than other material properties.
- The energies of mechanical, electric and magnetic fields will decay to zero after traveling to the same point in the thickness direction, but the attenuation trajectories of mechanical displacement are obviously different from those of electric and magnetic potential. In the propagation direction, displacement, electric, and magnetic potential have similar attenuation tendencies and converting process.
- Nonhomogeneous coefficient has significant effect on the phase velocity of complex converting point, but the electric and magnetic properties do not, which, on the contrary, make the velocity slightly smaller.
Author Contributions
Funding
Institutional Review Board Statement
Informed Consent Statement
Data Availability Statement
Conflicts of Interest
References
- Tian, R.; Liu, J.; Liu, X. Magnetoelectric Properties of Piezoelectric–Piezomagnetic Composites with Elliptical Nanofibers. Acta Mech. Solida Sin. 2020, 33, 368–380. [Google Scholar] [CrossRef]
- Berlincourt, D.A.; Curran, D.R.; Jaffe, H. Piezoelectric and Piezomagnetic Materials and Their Function in Transducers. In Physical Acoustics; Elsevier: Amsterdam, The Netherlands, 1964; pp. 169–270. [Google Scholar]
- Achenbach, J. Quantitative Nondestructive Evaluation. Int. J. Solids Struct. 2000, 37, 13–27. [Google Scholar] [CrossRef]
- Buchanan, G.R. Layered versus Multiphase Magneto-Electro-Elastic Composites. Compos. Part B Eng. 2004, 35, 413–420. [Google Scholar] [CrossRef]
- Zhou, H.; Talbi, A.; Tiercelin, N.; Bou Matar, O. Theoretical and Experimental Study of Multilayer Piezo-Magnetic Structure Based Surface Acoustic Wave Devices for High Sensitivity Magnetic Sensor. In IEEE International Ultrasonics Symposium (IUS); IEEE: Prague, Czech Republic, 2013; pp. 212–215. [Google Scholar] [CrossRef]
- Kumar, A.; Saini, S.; Yadav, K.; Azam, M.; Ahmed, I.; Kumar, S.; Pandit, T.; Shankar, U.; Singh, S. Low Magnetic Field Induced Strong Magnetoelectric Coupling in Three Phase Composite Films with Ferroelectric Domain Switchability. Ceram. Int. 2020, 46, 16598–16604. [Google Scholar] [CrossRef]
- Bishay, P.L.; Sladek, J.; Sladek, V.; Atluri, S.N. Analysis of Functionally Graded Magneto-Electro-Elastic Composites Using Hybrid/Mixed Finite Elements and Node-Wise Material Properties. Comput. Mater. Contin. 2012, 29, 213–262. [Google Scholar] [CrossRef]
- Kuo, H.Y.; Hsin, K.C. Functionally Graded Piezoelectric–Piezomagnetic Fibrous Composites. Acta Mech. 2018, 229, 1503–1516. [Google Scholar] [CrossRef]
- Qiu, J.; Tani, J.; Ueno, T.; Morita, T.; Takahashi, H.; Du, H. Fabrication and High Durability of Functionally Graded Piezoelectric Bending Actuators. Smart Mater. Struct. 2003, 12, 115–121. [Google Scholar] [CrossRef]
- Pang, Y.; Liu, J.X.; Wang, Y.S.; Zhao, X.F. Propagation of Rayleigh-Type Surface Waves in a Transversely Isotropic Piezoelectric Layer on a Piezomagnetic Half-Space. J. Appl. Phys. 2008, 103, 074901. [Google Scholar] [CrossRef]
- Wei, W.; Liu, J.; Fang, D. Shear Horizontal Surface Waves in a Piezoelectric-Piezomagnetic Coupled Layered Half-Space. Int. J. Nonlinear Sci. Numer. Simul. 2009, 10. [Google Scholar] [CrossRef]
- Bou Matar, O.; Gasmi, N.; Zhou, H.; Goueygou, M.; Talbi, A. Legendre and Laguerre Polynomial Approach for Modeling of Wave Propagation in Layered Magneto-Electro-Elastic Media. J. Acoust. Soc. Am. 2013, 133, 1415–1424. [Google Scholar] [CrossRef]
- Du, J.; Jin, X.; Wang, J. Love Wave Propagation in Layered Magnetoelectro-Elastic Structures. Sci. China Ser. G Phys. Mech. Astron. 2008, 51, 617–631. [Google Scholar] [CrossRef]
- Du, J.; Jin, X.; Wang, J. Love Wave Propagation in Layered Magneto-Electro-Elastic Structures with Initial Stress. Acta Mech. 2007, 192, 169–189. [Google Scholar] [CrossRef]
- Du, J.; Cheng, X.; Wang, J. Love Wave Propagating in a Magneto-Electro-Elastic Material Structure Loaded with Viscous Liquid. In IEEE International Frequency Control Symposium; IEEE: Newport Beach, CA, USA, 2010; pp. 224–227. [Google Scholar] [CrossRef]
- Yuan, L.l.; Du, J.k.; Ma, T.f.; Wang, J. Effects of a Biasing Electric Field on Rayleigh Waves in Magnetoelectric Structures. In Symposium on Piezoelectricity, Acoustic Waves, and Device Applications (SPAWDA); IEEE: Shanghai, China, 2012; pp. 109–112. [Google Scholar] [CrossRef]
- Xia, Q.g.; Du, J.k.; Wang, J. Rayleigh Waves in Piezomagnetic/Piezoelectric Structures with Biasing Magnetic Fields. In Symposium on Piezoelectricity, Acoustic Waves, and Device Applications (SPAWDA); IEEE: Shanghai, China, 2012; pp. 179–182. [Google Scholar] [CrossRef]
- Ezzin, H.; Ben Amor, M.; Ben Ghozlen, M.H. Love Waves Propagation in a Transversely Isotropic Piezoelectric Layer on a Piezomagnetic Half-Space. Ultrasonics 2016, 69, 83–89. [Google Scholar] [CrossRef] [PubMed]
- Zhang, J.; Shen, Y.P.; Du, J.K. The Effect of Inhomogeneous Initial Stress on Love Wave Propagation in Layered Magneto-Electro-Elastic Structures. Smart Mater. Struct. 2008, 17, 025026. [Google Scholar] [CrossRef]
- Singh, B.; Rokne, J. Propagation of SH Waves in Functionally Gradient Electromagnetoelastic Half-Space. IEEE Trans. Ultrason. Ferroelectr. Freq. Control 2013, 60, 2189–2195. [Google Scholar] [CrossRef]
- Ezzin, H.; Mkaoir, M.; Amor, M.B. Rayleigh Wave Behavior in Functionally Graded Magneto-Electro-Elastic Material. Superlattices Microstruct. 2017, 112, 455–469. [Google Scholar] [CrossRef]
- Ezzin, H.; Wang, B.; Qian, Z. Propagation Behavior of Ultrasonic Love Waves in Functionally Graded Piezoelectric-Piezomagnetic Materials with Exponential Variation. Mech. Mater. 2020, 148, 103492. [Google Scholar] [CrossRef]
- Feng, W.J.; Pan, E.; Wang, X.; Jin, J. Rayleigh Waves in Magneto-Electro-Elastic Half Planes. Acta Mech. 2009, 202, 127–134. [Google Scholar] [CrossRef]
- Zhang, R.; Pang, Y.; Feng, W. Propagation of Rayleigh Waves in a Magneto-Electro-Elastic Half-Space with Initial Stress. Mech. Adv. Mater. Struct. 2014, 21, 538–543. [Google Scholar] [CrossRef]
- Kakar, S. Love Wave Propagation in Electro-Magneto Non-Homogeneous Elastic Media. Int. J. Mater. Sci. Appl. 2013, 2, 61. [Google Scholar] [CrossRef][Green Version]
- Li, L.; Wei, P. The Piezoelectric and Piezomagnetic Effect on the Surface Wave Velocity of Magneto-Electro-Elastic Solids. J. Sound Vib. 2014, 333, 2312–2326. [Google Scholar] [CrossRef]
- Yan, X.; Yuan, F.G. Conversion of Evanescent Lamb Waves into Propagating Waves via a Narrow Aperture Edge. J. Acoust. Soc. Am. 2015, 137, 3523–3533. [Google Scholar] [CrossRef] [PubMed]
- Glushkov, E.; Glushkova, N.; Zhang, C. Surface and Pseudo-Surface Acoustic Waves Piezoelectrically Excited in Diamond-Based Structures. J. Appl. Phys. 2012, 112, 064911. [Google Scholar] [CrossRef]
- Benetti, M.; Cannatà, D.; Di Pietrantonio, F.; Fedosov, V.I.; Verona, E. Gigahertz-Range Electro-Acoustic Devices Based on Pseudo-Surface-Acoustic Waves in AlN/diamond/Si Structures. Appl. Phys. Lett. 2005, 87, 033504. [Google Scholar] [CrossRef]
- Simonetti, F.; Lowe, M.J.S. On the Meaning of Lamb Mode Nonpropagating Branches. J. Acoust. Soc. Am. 2005, 118, 186–192. [Google Scholar] [CrossRef]
- Yan, X.; Yuan, F.G. A Semi-Analytical Approach for SH Guided Wave Mode Conversion from Evanescent into Propagating. Ultrasonics 2018, 84, 430–437. [Google Scholar] [CrossRef]
- Kuznetsova, I.; Nedospasov, I.; Smirnov, A.; Qian, Z.h.; Wang, B.; Dai, X.y. Excitation and Detection of Evanescent Acoustic Waves in Piezoelectric Plates: Theoretical and 2D FEM Modeling. Ultrasonics 2019, 99, 105961. [Google Scholar] [CrossRef]
- Benetti, M.; Cannat, D.; Di Pietrantonio, F.; Fedosov, V.; Verona, E. Theoretical and Experimental Investigation of PSAW and SAW Properties of A1N Films on Isotropic Diamond Substrates. In IEEE Ultrasonics Symposium; IEEE: Rotterdam, The Netherlands, 2005; Volume 3, pp. 1868–1871. [Google Scholar] [CrossRef]
- Giurgiutiu, V.; Haider, M.F. Propagating, Evanescent, and Complex Wavenumber Guided Waves in High-Performance Composites. Materials 2019, 12, 269. [Google Scholar] [CrossRef] [PubMed]
- Zhu, F.; Wang, B.; Qian, Z.; Pan, E. Accurate Characterization of 3D Dispersion Curves and Mode Shapes of Waves Propagating in Generally Anisotropic Viscoelastic/Elastic Plates. Int. J. Solids Struct. 2018, 150, 52–65. [Google Scholar] [CrossRef]
- Zhang, X.; Li, Z.; Wang, X.; Yu, J. The Fractional Kelvin-Voigt Model for Circumferential Guided Waves in a Viscoelastic FGM Hollow Cylinder. Appl. Math. Model. 2021, 89, 299–313. [Google Scholar] [CrossRef]
- Datta, S.; Hunsinger, B.J. Analysis of Surface Waves Using Orthogonal Functions. J. Appl. Phys. 1978, 49, 475–479. [Google Scholar] [CrossRef]
- Auld, B.A. Acoustic Fields and Waves in Solids; Wiley: New York, NY, USA, 1973; Volume I. [Google Scholar]
- Liu, J.x.; Fang, D.N.; Wei, W.Y.; Zhao, X.F. Love Waves in Layered Piezoelectric/Piezomagnetic Structures. J. Sound Vib. 2008, 315, 146–156. [Google Scholar] [CrossRef]
- Zhou, Y.; Chen, W.; Lü, C. Elastic Waves in Multiferroic Cylinders of Sectorial Cross-Section. Compos. Part B Eng. 2012, 43, 3001–3008. [Google Scholar] [CrossRef]
- Sridhar, S.; Giannakopoulos, A.E.; Suresh, S. Mechanical and Electrical Responses of Piezoelectric Solids to Conical Indentation. J. Appl. Phys. 2000, 87, 8451–8456. [Google Scholar] [CrossRef]
- Tseng, C.C. Elastic Surface Waves on Free Surface and Metallized Surface of CdS, ZnO, and PZT-4. J. Appl. Phys. 1967, 38, 4281–4284. [Google Scholar] [CrossRef]




















| Item (Unit) | Symbol & Value | ||||
|---|---|---|---|---|---|
| Elastic constants () | |||||
| 139 | 115 | 25.6 | 77.8 | 74.3 | |
| Piezoelectric constants () | |||||
| −5.2 | 15.1 | 12.7 | |||
| Dielectric constants () | |||||
| 6.46 | 5.62 | ||||
| Piezomagnetic constants () | |||||
| 580.3 | 699.7 | 550 | |||
| Magnetic constants () | |||||
| 5 | 10 | ||||
| Electromagnetic constants () | |||||
| −3612.68 | −2.4735 | ||||
Publisher’s Note: MDPI stays neutral with regard to jurisdictional claims in published maps and institutional affiliations. |
© 2021 by the authors. Licensee MDPI, Basel, Switzerland. This article is an open access article distributed under the terms and conditions of the Creative Commons Attribution (CC BY) license (http://creativecommons.org/licenses/by/4.0/).
Share and Cite
Li, K.; Jing, S.; Yu, J.; Zhang, B. Complex Rayleigh Waves in Nonhomogeneous Magneto-Electro-Elastic Half-Spaces. Materials 2021, 14, 1011. https://doi.org/10.3390/ma14041011
Li K, Jing S, Yu J, Zhang B. Complex Rayleigh Waves in Nonhomogeneous Magneto-Electro-Elastic Half-Spaces. Materials. 2021; 14(4):1011. https://doi.org/10.3390/ma14041011
Chicago/Turabian StyleLi, Ke, Shuangxi Jing, Jiangong Yu, and Bo Zhang. 2021. "Complex Rayleigh Waves in Nonhomogeneous Magneto-Electro-Elastic Half-Spaces" Materials 14, no. 4: 1011. https://doi.org/10.3390/ma14041011
APA StyleLi, K., Jing, S., Yu, J., & Zhang, B. (2021). Complex Rayleigh Waves in Nonhomogeneous Magneto-Electro-Elastic Half-Spaces. Materials, 14(4), 1011. https://doi.org/10.3390/ma14041011

