Next Article in Journal
Selection of Die Material and Its Impact on the Multi-Material Extrusion of Bimetallic AZ31B–Ti6Al4V Components for Aeronautical Applications
Previous Article in Journal
Modeling the Filler Phase Interaction with Solidification Front in Al(TiC) Composite Produced by the In Situ Method
Previous Article in Special Issue
Development of High-Performance Thermoelectric Materials by Microstructure Control of P-Type BiSbTe Based Alloys Fabricated by Water Atomization
 
 
Font Type:
Arial Georgia Verdana
Font Size:
Aa Aa Aa
Line Spacing:
Column Width:
Background:
Article

Investigation of Phase Segregation in p-Type Bi0.5Sb1.5Te3 Thermoelectric Alloys by In Situ Melt Spinning to Determine Possible Carrier Filtering Effect

1
Departament of Materials Science and Engineering, University of Seoul, Seoul 02504, Korea
2
Departament of Electrical Engineering and Smart Grid Research Center, Jeonbuk National University, Jeonju 54896, Korea
3
Departament of Materials Science and Engineering, Hongik University, Seoul 04066, Korea
4
Departament of Electronic Materials Engineering, Kwangwoon University, Seoul 01897, Korea
*
Author to whom correspondence should be addressed.
These authors contributed equally to this work.
Materials 2021, 14(24), 7567; https://doi.org/10.3390/ma14247567
Submission received: 25 October 2021 / Revised: 3 December 2021 / Accepted: 7 December 2021 / Published: 9 December 2021

Abstract

:
One means of enhancing the performance of thermoelectric materials is to generate secondary nanoprecipitates of metallic or semiconducting properties in a thermoelectric matrix, to form proper band bending and, in turn, to induce a low-energy carrier filtering effect. However, forming nanocomposites is challenging, and proper band bending relationships with secondary phases are largely unknown. Herein, we investigate the in situ phase segregation behavior during melt spinning with various metal elements, including Ti, V, Nb, Mo, W, Ni, Pd, and Cu, in p-type Bi0.5Sb1.5Te3 (BST) thermoelectric alloys. The results showed that various metal chalcogenides were formed, which were related to the added metal elements as secondary phases. The electrical conductivity, Seebeck coefficient, and thermal conductivity of the BST composite with various secondary phases were measured and compared with those of pristine BST alloys. Possible band alignments with the secondary phases are introduced, which could be utilized for further investigation of a possible carrier filtering effect when forming nanocomposites.

1. Introduction

Thermoelectric technology has attracted attention for its use in solid-state cooling and energy harvesting because it can convert heat directly into electricity. The energy conversion efficiency of thermoelectric materials is limited by the dimensionless figure of merit, zT = [S2σ/(κele + κlatt)] × T, where S is the Seebeck coefficient, σ is the electrical conductivity, κele is the electronic thermal conductivity, κlatt is the lattice thermal conductivity, and T is the absolute temperature [1,2,3,4]. Accordingly, a high zT value can be achieved by increasing S2σ and reducing the thermal conductivities (κele and κlatt). However, these thermoelectric parameters are generally interdependent. Therefore, based on a comprehensive analysis of the fundamental mechanisms, thermoelectric materials should be manipulated to achieve optimal thermoelectric properties. In recent years, many approaches have been improved using zT values. Control of the carrier concentration, resonance doping, band engineering, and carrier filtering effects have been suggested for enhancing S2σ [5,6,7,8]. However, other strategies exist for reducing thermal conductivity. These include inducing point defects, dislocation arrays, or nanostructures by increasing phonon scattering [9,10,11,12].
Of these approaches, carrier energy filtering can effectively improve zT by increasing S and S2σ. This type of filtering is achieved by energy barriers at heterointerfaces arising from band bending between the thermoelectric matrix and secondary phases [13,14,15], which induce strong energy dependence on the carrier relaxation time. When proper phase segregation is introduced in thermoelectric materials, the carrier energy filtering effect can be achieved, thereby enhancing the thermoelectric performance through low-energy carrier scattering by potential heights formed at heterointerfaces [13,14]. In addition, phonon scattering can be strengthened by the segregated phases to reduce κlatt.
Experimental evidence of S enhancement by the carrier filtering effect has been reported with various thermoelectric nanocomposites. Dou et al. reported an improvement in S of approximately 20%, as compared with that of the Bi0.5Sb1.5Te3 matrix, which originated from the energy filtering of carriers [15]. Even more noticeable enhancements in S were observed in Sb/SbTe nanocomposites by Zhang et al. [16]. Fan et al. showed that the formation of nano-inclusions through melt spinning could lead to favorable conditions for thermoelectric applications [17]. Recently, Jiang et al. reported noticeable maximum zT values of 1.56 at 400 K by inducing PbSe nanocomposites with suppressed lattice and bipolar thermal conductivities that effectively inhibit minor charge carriers [18].
In this study, we investigated in situ phase segregation behavior during melt spinning with various metal elements, including Ti, V, Nb, Mo, W, Ni, Pd, and Cu, in p-type Bi0.5Sb1.5Te3 (BST) thermoelectric alloys, which could be utilized for further investigation of a possible carrier filtering effect. The possible band alignments with secondary phases are presented with their measured thermoelectric properties.

2. Experimental Section

To prepare a set of samples of Bi0.5Te1.5Se3(M)0.1 (M = Ti, V, Nb, Mo, W, Ni, Pd, and Cu), all high-purity elements (Bi (99.999%, 5 N plus), Te (99.999%, 5 N plus), Se (99.999%, 5 N plus), and metal elements) were stoichiometrically synthesized by subsequent conventional melting and quenching techniques. The synthesized samples were blended using a ball-milling process (8000D, SPEX SamplePrep, Metuchen, NJ, USA) for 5 min. We conducted rapid solidification through melt spinning (Cu wheel rotation, 3600 rpm). The molten ingot was sprayed under a pressure of 0.03 MPa in an argon atmosphere. Using an agate mortar, the ribbons from the melt-spinning process were pulverized. Finally, the powders were sintered at 430 ℃ by spark plasma sintering (SPS) for 5 min under a pressure of 50 MPa.
To analyze the crystalline phases of the samples, X-ray diffraction (XRD, D8 Discover, Bruker, Billerica, MA, USA) was performed at room temperature. Then, the temperature-dependent σ and S parameters were measured simultaneously over the temperature range between room temperature and 480 K using a ZEM-3 measurement system (Advanced-RIKO, Yokohama, Japan) perpendicular to the SPS pressing direction. The κ values were also computed from the theoretical density (ρs), heat capacity (Cp), and thermal diffusivity (D) in the same direction (κ = ρs × Cp × D). Then, the diffusivities λ were measured by the laser flash method (LFA 467, Netzsch, Wittelsbacherstraße, Germany).

3. Results and Discussion

3.1. Secondary Phase Formation

Figure 1 shows the XRD patterns of the experimental samples of Bi0.5Sb1.5Te3(M)0.1 (M = Ti, V, Nb, Mo, W, Ni, Pd, and Cu). Each diffraction peak commonly showed its own matrix phase (Bi0.5Sb1.5Te3, JCPDs PDF #49-1713) with the secondary phases, which was related to the added metals. The observed secondary phases were TiTe2, VTe2, NbTe2, MoTe2, W, NiTe2, PdTe2, and Cu4Te3 for various added metal elements (Ti, V, Nb, Mo, W, Ni, Pd, and Cu, respectively). Most secondary phases were formed as dichalcogenides, whereas the addition of Cu caused Cu4Te3 to form. The addition of W did not lead to the formation of compounds.

3.2. Band Bending at Heterointerfaces

The band alignment schematics at the heterointerfaces between BST and the secondary phases are shown in Figure 2 and Figure 3. Figure 2 shows the energy bands of the Bi0.5Sb1.5Te3(M)0.1 (M = Nb, Ni, W, Ti, and V) samples, whose secondary phases (NbTe2, NiTe2, W, TiTe2, and VTe2) were metallic. The work functions of NbTe2, NiTe2, W, TiTe2, and VTe2 were 4.62, 4.44, 4.5, 4.86, and 4.92 eV, respectively [19,20,21]. Possible carrier filtering barriers were formed in Bi0.5Sb1.5Te3Ni0.1, Bi0.5Sb1.5Te3Nb0.1, and Bi0.5Sb1.5Te3W0.1, with NbTe2, NiTe2, and TiTe2 for hole transport, respectively. Their energy barrier heights were 0.08, 0.26, and 0.20 eV for NbTe2, NiTe2, and TiTe2, respectively. For Bi0.5Sb1.5Te3V0.1 and Bi0.5Sb1.5Te3Ti0.1, no energy barrier was expected with the secondary phases of VTe2 and TiTe2, respectively.
Figure 3 shows the energy bands of the Bi0.5Sb1.5Te3(M)0.1 (M = Pd, Mo, and Cu) samples, whose secondary phases (PdTe2, MoTe2, and Cu4Te3) were semiconducting. The band gap (Eg), Fermi level (Ef), and electron affinity (χ) of PdTe2, MoTe2, and Cu4Te3 were taken from the literature [19,22,23,24]. The χ of Bi0.5Sb1.5Te3 is 4.50 eV and the Eg is 0.2 eV [25]. Given the band structure of PdTe2, the band diagram of Bi0.5Sb1.5Te3Pd0.1 is presented in Figure 3a. A possible filtering barrier of 0.04 eV in Bi0.5Sb1.5Te3Pd0.1 is shown. In the case of Bi0.5Sb1.5Te3Mo0.1, because of the relatively wide Eg as compared to that of BST, an expected band diagram is given in Figure 3b. It formed a hole barrier of 0.26 eV, whereas the electron filtering barrier reached 0.43 eV. In the case of Bi0.5Sb1.5Te3Cu0.1, no band data were available for Cu4Te3. Because a quantitative illustration of the band diagram was unavailable, the illustration is shown with no quantitative values. Table 1 lists the work functions of Eg and χ for the segregated phases.

3.3. Electronic Transport Properties (σ, S, and S2∙σ)

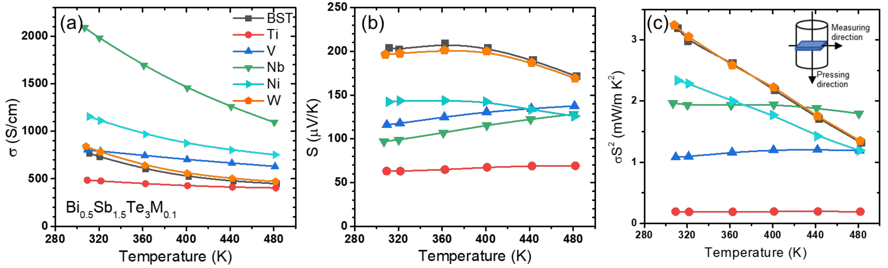
The temperature dependences of σ for Bi0.5Sb1.5Te3(M)0.1 (M = Ti, V, Nb, W, and Ni) are shown in Figure 4a. The σ value of the pristine BST sample was 767 S/cm at room temperature and decreased to 448 S/cm with increasing temperature. For the Bi0.5Sb1.5Te3Ti0.1 and Bi0.5Sb1.5Te3V0.1 samples, which did not form energy barriers at the heterointerfaces (Figure 2), the decreasing slope of σ with increasing temperature was much lower than that of the pristine BST, whereas the σ of Bi0.5Sb1.5Te3Ti0.1 and Bi0.5Sb1.5Te3V0.1 generally decreased and increased, respectively, as compared with that of the pristine BST. Note that these two samples did not form adequate energy barriers for hole carrier filtering (Figure 2); the work function of TiTe2 and VTe2 (4.86 and 4.92 eV, respectively) is much larger than the χ of the BST matrix (4.50 eV). The σ value of Bi0.5Sb1.5Te3Ti0.1 showed a lower σ value of 484 S/cm at room temperature. For the other samples (M = Nb, Ni, and W), the σ values all increased, as compared with that of the pristine sample. The σ values of Bi0.5Sb1.5Te3Nb0.1 and Bi0.5Sb1.5Te3Ni0.1 reached their maxima at 2143 and 1154 S/cm at room temperature, respectively. The σ value of Bi0.5Sb1.5Te3W0.1 was similar to that of the pristine BST at the measured temperatures.
S for the Bi0.5Sb1.5Te3(M)0.1 (M = Ti, V, Nb, W, and Ni) samples is given as a temperature-dependent function in Figure 4b. The S values of all the samples were suppressed as compared with that of the pristine BST. The BST sample had a peak S magnitude of 209 μV/K at 360 K and decreased to 171 μV/K with increasing temperature (at 480 K). At room temperature, S decreased to 194, 142, 117, 99, and 63 μV/K for the W-, Ni-, V-, Nb- and Ti- added samples, respectively.
Figure 4c shows the temperature dependence of S2σ (power factor) for the Bi0.5Sb1.5Te3(M)0.1 (M = Ti, V, Nb, W, and Ni) samples. Bi0.5Sb1.5Te3W0.1 showed very similar power factor values to the pristine BST sample over the entire temperature range. The addition of W did not form the telluride, which generally only affects the electric transport of the BST matrix. Otherwise, the power factors decreased to 2.34, 1.97, 1.08, and 0.19 mW/mK2 for the Ni-, Nb-, V-, and Ti-added samples. With the addition of Ti and V, which did not form energy barriers at the heterointerfaces with metallic TiTe2 and VTe2, σ and S decreased simultaneously, and the power factor was then reduced considerably. With the addition of Ni and Nb, which did form proper energy barriers at the heterointerfaces with metallic NiTe2 and NbTe2, σ increased significantly, whereas S decreased. As a result, the power factors were moderately reduced. For the Nb-added samples, the power factors at high temperatures of 440 and 480 K were higher than that of the pristine BST. For Ni- and Nb-added samples, further experiments with smaller additions of metal (Bi0.5Sb1.5Te3(M)x (M = Ni and Nb, x ≤ 0.01) were conducted to investigate the possible carrier filtering effect [26]. With a small addition of x = 0.01, power factor enhancements were observed with an increase in the effective mass, suggesting that a possible carrier filtering effect occurred.
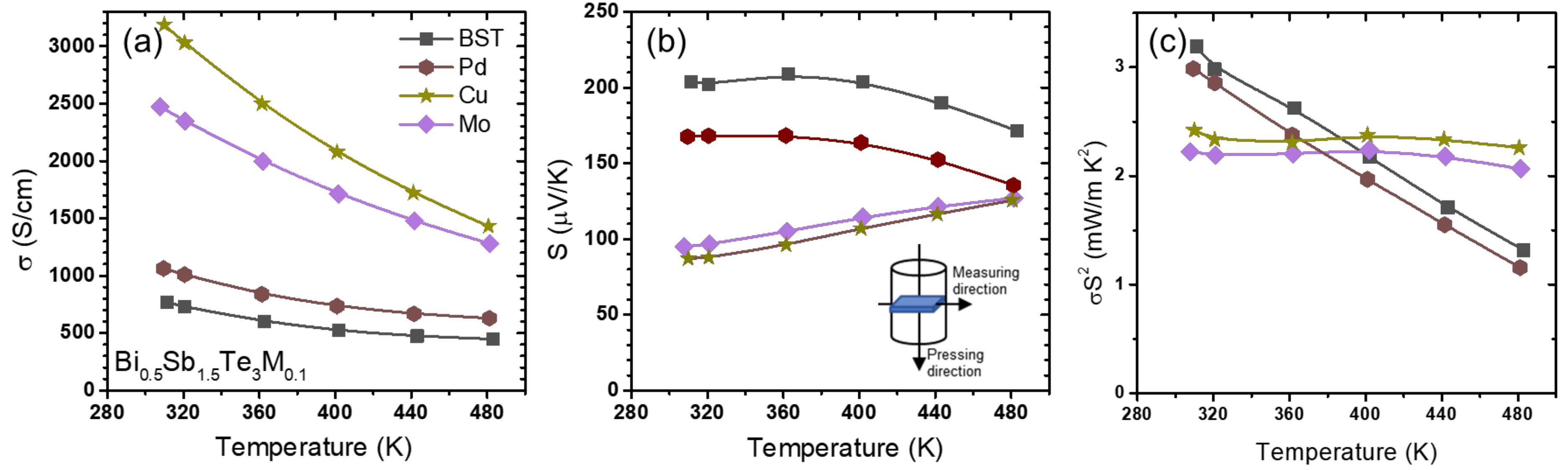
The temperature dependences of σ for the Bi0.5Sb1.5Te3(M)0.1 (M = Mo, Pd, and Cu) samples, which exhibited semiconducting secondary phases, are shown in Figure 5a. Firstly, significant enhancements in the σ values were observed in the Bi0.5Sb1.5Te3(M)0.1 (M = Mo and Cu) samples.
The σ value of the Bi0.5Sb1.5Te3Cu0.1 sample showed a maximum of 3188 S/cm at 300 K, whereas that of the Bi0.5Sb1.5Te3Mo0.1 sample showed a maximum of 2494 S/cm. In the case of the Bi0.5Sb1.5Te3Pd0.1 sample, the maximum σ value was 1063 S/cm.
For Bi0.5Sb1.5Te3(M)0.1 (M = Mo, Pd, and Cu), S is given as a temperature-dependent function in Figure 5b. The S values for Bi0.5Sb1.5Te3 (M)0.1 (M = Mo, Pd, and Cu) were suppressed to 169, 98, and 85 μV/K as compared with 206 μV/K for the pristine BST sample at room temperature.
The temperature dependences of the power factors for the Bi0.5Sb1.5Te3(M)0.1 (M = Mo, Pd, and Cu) samples are shown in Figure 5c. The power factor of Bi0.5Sb1.5Te3Pd0.1 decreased slightly as compared with that of the pristine BST. For the Pd- and Cu-added samples, the power factors decreased further, to 2.42 and 2.23 mW/mK2, respectively, at room temperature, and greater values were observed at higher temperatures above 400 K.

3.4. Thermal Conductivity (κtot, κelec, κlatt)

To further investigate the total thermal conductivity (κtot) behavior in Bi0.5Sb1.5Te3(M)0.1 (M = Ti, V, Nb, Mo, W, Ni, Pd, and Cu), we determined the κtot values to be mainly binary parts of thermal conductivity, namely, κele and κlatt. They were calculated using the following equation:
κtot = κele + κlatt
The κele values were calculated using the Wiedemann–Franz equation, as follows:
κele = L × σ × T
where L is the Lorenz number (calculated as L = 1.5 + exp(− S /116)). L and S are treated as units in terms of 10−8 WΩK−2 and μV/K, respectively [27].
The κtot and κlatt values for the Bi0.5Sb1.5Te3(M)0.1 (M = Ti, V, Nb, Ni, and W) samples, as functions of temperature, are shown in Figure 6a,b, respectively. As shown in Equation (1), we computed the κlatt values by subtracting the κele values (which were calculated in advance) from the κtot values. The κlatt values of the standard BST sample were increased from 0.99 to 1.42 W/mK as the measuring temperature increased. For the Bi0.5Sb1.5Te3Ni0.1 sample, κtot and κlatt increased. κlatt was significantly reduced for the V- and Nb-added samples. The addition of W did not form the telluride, which seemed to not affect the thermal conductivity of the BST matrix much.
The κtot and κlatt values, as functions of temperature, for the Bi0.5Sb1.5Te3(M)0.1 (M = Mo, Pd, and Cu) samples are shown in Figure 6c,d. For the Bi0.5Sb1.5Te3Pd0.1 samples, the general behavior of κtot and κlatt with temperature were relatively similar to that of the pristine BST. Bi0.5Sb1.5Te3(M)0.1 (M = Cu and Mo) with higher σ values (Figure 5a) exhibited a much higher κtot and showed a gradual decrease with increasing temperature. The κlatt for Bi0.5Sb1.5Te3(M)0.1 (M = Cu and Mo) was much lower than that of the pristine BST. In all the samples that formed tellurides, except for the Nb- and Pd-added samples, some degrees of reduction in κlatt were shown due to the presence of secondary phases, as observed in Figure 6 [28]. However, adding Nb or Pd, which form NbTe2 and PdTe2, respectively, increased the κlatt, or had little effect. At this stage, these different results cannot be elaborated. Further investigation into the possible carrier filtering effects of smaller amounts of Nb- and Pd-added Bi2Te3-based alloys showed a small degree of reduction in κlatt [26,29].

3.5. Thermoelectric Figure of Merit zT

All the measured values of S, σ, and кtot for all the specimens were used to determine the figure of merit zT. The figure of merit zT values are shown in Figure 7a,b. In Figure 7a, the Ti-added samples, which showed a significantly reduced power factor due to the simultaneous reduction of σ and S, exhibited a considerably reduced zT. For the Ni-added sample, a lower zT was observed under all temperatures, which was mainly due to the increased κtot and κlatt. Therefore, the Bi0.5Sb1.5Te3(M)0.1 (M = Ti and Ni) samples showed a lower zT over the entire temperature range. For the Bi0.5Sb1.5Te3(M)0.1 (M = V and Nb) samples, the zT at low temperatures decreased, whereas that at a high temperature (480 K) exhibited a slightly higher value as compared with the zT values of the pristine BST. The addition of W did not form any chalcogenides, which seemed to affect the thermal conductivity of the BST matrix. It showed an improvement in zT of approximately 5% as compared with that of the pristine BST. In Figure 7b, the Pd-added samples, which showed a moderately decreased power factor with slightly increased κtot and κlatt, exhibited a reduced zT over the entire temperature range. In the range of 300–440 K, the Bi0.5Sb1.5Te3(M)0.1 (M = Mo, and Cu) samples had lower zT values than that of the pristine BST. However, from 440 K to 480 K, the Bi0.5Sb1.5Te3 (M)0.1 (M = Mo, and Cu) samples had slightly higher zT values than that of the pristine BST.

4. Conclusions

We investigated the in situ phase segregation behavior during melt spinning with various metal elements, including Ti, V, Nb, Mo, W, Ni, Pd, and Cu, in p-type Bi0.5Sb1.5Te3 (BST) thermoelectric alloys. The observed secondary phases were TiTe2, VTe2, NbTe2, MoTe2, W, NiTe2, PdTe2, and Cu4Te3 for various added metal elements (Ti, V, Nb, Mo, W, Ni, Pd, and Cu, respectively). The electrical conductivity, Seebeck coefficient, and thermal conductivity of the BST composite with various secondary phases were measured and compared with those of the pristine BST alloys. The possible band alignments with the secondary phases were introduced, which could be utilized for further investigation of a possible carrier filtering effect when forming nanocomposites.

Author Contributions

Conceptualization, D.H.K. and T.K.; methodology, S.W.L.; formal analysis, D.H.K.; investigation, D.H.K.; data curation, H.-S.K.; writing—original draft preparation, D.H.K. and T.K.; writing—review and editing, W.H.S.; supervision, S.-i.K.; project administration, S.-i.K. All authors have read and agreed to the published version of the manuscript.

Funding

This work was supported by the Samsung Research Funding & Incubation Center of Samsung Electronics under Project Number SRFC-MA1701-05.

Institutional Review Board Statement

Not applicable.

Informed Consent Statement

Not applicable.

Data Availability Statement

Data available on request.

Conflicts of Interest

The authors declare no competing financial interest.

References

  1. Snyder, G.J.; Toberer, E.S. Complex thermoelectric materials. Nat. Mater. 2008, 7, 105–114. [Google Scholar] [CrossRef] [PubMed]
  2. Bell, L.E. Cooling, Heating, Generating Power, and Recovering Waste Heat with Thermoelectric Systems. Science 2008, 321, 1457–1461. [Google Scholar] [CrossRef] [Green Version]
  3. Zhang, Q.; Cao, F.; Liu, W.; Lukas, K.; Yu, B.; Chen, S.; Opeil, C.; Broido, D.; Chen, G.; Ren, Z.F. Heavy Doping and Band Engineering by Potassium to Improve the Thermoelectric Figure of Merit in p-Type PbTe, PbSe, and PbTe1–ySey. J. Am. Chem. Soc. 2012, 134, 10031–10038. [Google Scholar] [CrossRef] [PubMed] [Green Version]
  4. Liu, W.; Hu, J.; Zhang, S.; Deng, M.; Han, C.G.; Liu, Y. New trends, strategies and opportunities in thermoelectric materials: A perspective. Mater. Today Phys. 2017, 1, 50–60. [Google Scholar] [CrossRef]
  5. Tan, G.; Shi, F.; Hao, S.; Zhao, L.D.; Chi, H.; Zhang, X.; Uher, C.; Wolverton, C.; Dravid, V.P.; Kanatzidis, M.G. Non- equilibrium processing leads to record high thermoelectric figure of merit in PbTe-SrTe. Nat. Commun. 2016, 7, 12167. [Google Scholar] [CrossRef]
  6. Kim, H.S.; Lee, K.H.; Yoo, J.Y.; Shin, W.H.; Roh, J.W.; Hwang, J.Y.; Kim, S.W.; Kim, S.I. Suppression of bipolar conduction via bandgap engineering for enhanced thermoelectric performance of p-type Bi0.4Sb1.6Te3 alloys. J. Alloy. Compd. 2018, 741, 869–874. [Google Scholar] [CrossRef]
  7. Lee, K.-H.; Hwang, S.; Ryu, B.; Ahn, K.; Roh, J.; Yang, D.; Lee, S.-M.; Kim, H.; Kim, S.-I. Enhancement of the Thermoelectric Performance of Bi0.4Sb1.6Te3 Alloys by In and Ga Doping. J. Electron. Mater. 2012, 42, 1617–1621. [Google Scholar] [CrossRef]
  8. Choi, J.; Lee, J.Y.; Lee, S.-S.; Park, C.R.; Kim, H. High-Performance Thermoelectric Paper Based on Double Carrier-Filtering Processes at Nanowire Heterojunctions. Adv. Energy Mater. 2016, 6, 1502181. [Google Scholar] [CrossRef]
  9. Lee, K.-H.; Kim, H.-S.; Kim, S.-I.; Lee, E.-S.; Lee, S.-M.; Rhyee, J.-S.; Jung, J.-Y.; Kim, I.-H.; Wang, Y.; Koumoto, K. Enhancement of Thermoelectric Figure of Merit for Bi0.5Sb1.5Te3 by Metal Nanoparticle Decoration. J. Electron. Mater. 2012, 41, 1165–1169. [Google Scholar] [CrossRef]
  10. Lan, Y.; Minnich, A.J.; Chen, G.; Ren, Z. Enhancement of thermoelectric figure-of-merit by a bulk nanostructuring approach. Adv. Funct. Mater. 2010, 20, 357–376. [Google Scholar] [CrossRef]
  11. Liu, Y.; Wang, W.; Yang, J.; Li, S. Recent Advances of Layered Thermoelectric Materials. Adv. Sustain. Syst. 2018, 2, 180046. [Google Scholar]
  12. Eivari, H.A.; Sohbatzadeh, Z.; Mele, P.; Assadi, M.H.N. Low thermal conductivity: Fundamentals and theoretical aspects in thermoelectric applications. Mater. Energy Today 2021, 21, 100744. [Google Scholar] [CrossRef]
  13. Loffe, A.F.; Stil’bans, L.S.; Iordanishvili, E.K.; Stavitskaya, T.S.; Gelbtuch, A.; Vineyard, G. Semiconductor Thermoelements and Thermoelectric Cooling. Phys. Today 1957. [Google Scholar]
  14. Gayner, C.; Amouyal, T. Energy Filtering of Charge Carriers: Current Trends, Challenges, and Prospects for Thermoelectric Materials (Progress Report). Adv. Func. Mat. 2020, 30, 1901789. [Google Scholar] [CrossRef]
  15. Dou, Y.C.; Qin, X.Y.; Li, D.; Li, L.L.; Zou, T.H.; Wang, Q.Q. Enhanced thermopower and thermoelectric performance through energy filtering of carriers in (Bi2Te3)0.2(Sb2Te3)0.8 bulk alloy embedded with amorphous SiO2 nanoparticles. Int. J. Appl. Phys. 2013, 114, 044906. [Google Scholar] [CrossRef]
  16. Zhang, Z.; Wu, Y.; Zhang, H.; Zeng, Z.; Hu, Z. Enhancement of Seebeck coefficient in Sb-rich Sb2Te3 thin film. J. Mater. Sci. Mater. Electron. 2015, 26, 1619–1624. [Google Scholar] [CrossRef]
  17. Fan, S.; Zhao, J.; Guo, J.; Yan, Q.; Ma, J.; Hng, H.H. p-type Bi0.4Sb1.6Te3 nanocomposites with enhanced figure of merit. Appl. Phys. Lett. 2010, 96, 182104. [Google Scholar] [CrossRef]
  18. Jiang, Z.; Ming, H.; Qin, X.; Feng, D.; Zhang, J.; Song, C.; Li, D.; Xin, H.; Li, J.; He, J. Achieving High Thermoelectric Performance in p-Type BST/PbSe Nanocomposites through the Scattering Engineering Strategy. ACS Appl. Mater. Interfaces 2020, 12, 46181–46189. [Google Scholar] [CrossRef] [PubMed]
  19. Zhang, C.; Gong, C.; Nie, Y.; Min, K.-A.; Liang, C.; Oh, Y.J.; Zhang, H.; Wang, W.; Hong, S.; Colombo, L.; et al. Systematic study of electronic structure and band alignment of monolayer transition metal dichalcogenides in Van der Waals heterostructures. 2D Mater. 2016, 4, 015026. [Google Scholar] [CrossRef]
  20. Davisson, C.; Germer, L.H. The Thermionic Work Function of Tungsten. Phys. Rev. 1922, 20, 300–330. [Google Scholar] [CrossRef]
  21. Lebègue, S.; Björkman, T.; Klintenberg, M.; Nieminen, R.M.; Eriksson, O. Two-Dimensional Materials from Data Filtering and Ab Initio Calculations. Phys. Rev. X 2013, 3, 031002. [Google Scholar]
  22. Aftab, S.; Iqbal, M.W.; Afzal, A.M.; Khan, M.F.; Hussain, G.; Waheed, H.S.; Kamran, M.A. Formation of an MoTe2 based Schottky junction employing ultra-low and high resistive metal contacts. RSC Adv. 2019, 9, 10017–10023. [Google Scholar] [CrossRef] [Green Version]
  23. Qu, Y.; Kwok, C.T.; Shao, Y.; Shi, X.; Kawazoe, Y.; Pan, H. Pentagonal transition-metal (group X) chalcogenide monolayers: Intrinsic semiconductors for photocatalysis. Int. J. Hydrog. Energy 2021, 46, 9371–9379. [Google Scholar] [CrossRef]
  24. Jiajun, L. First-Principles Study on Si24 and 2D Material Heterostructures for Solar Cell Applications. Ph.D. Thesis, National University of Singapore, Singapore, 2017. [Google Scholar]
  25. Kim, S.I.; Kim, S.W.; Roh, J.W.; Ahn, K.; Yeon, D.H.; Lee, K.H. Experimental evidence of enhancement of thermoelectric properties in tellurium nanoparticle-embedded bismuth antimony telluride. J. Mater. Res. 2012, 27, 2449–2456. [Google Scholar] [CrossRef]
  26. Kim, H.-S.; Kim, T.; An, J.; Kim, D.; Jeon, J.H.; Kim, S.-I. Segregation of NiTe2 and NbTe2 in p-Type Thermoelectric Bi0.5Sb1.5Te3 Alloys for Carrier Energy Filtering Effect by.Melt Spinning. Appl. Sci. 2021, 11, 910. [Google Scholar] [CrossRef]
  27. Kim, H.-S.; Gibbs, Z.M.; Tang, Y.; Wang, H.; Snyder, G.J. Characterization of Lorenz number with Seebeck coefficient measurement. APL Mater. 2015, 3, 041506. [Google Scholar] [CrossRef] [Green Version]
  28. Lee, K.H.; Kim, Y.-M.; Park, C.O.; Shin, W.H.; Kim, S.W.; Kim, H.-S.; Kim, S.-I. Cumulative defect structures for experimentally attainable low thermal conductivity in thermoelectric (Bi,Sb)2Te3 alloys. Mater. Energy Today 2021, 21, 100795. [Google Scholar] [CrossRef]
  29. Kim, D.H.; Kim, H.-S.; Hong, S.; Lee, J.H.; Han, J.G.; Cho, H.S.; Lee, S.W.; Kim, S.-I. Investigation of PdTe2 Phase Segregation on Thermoelectric Properties of n-Type Bi2Te2.7Se0.3 Fabricated by Melt-Spinning Technique for Possible Carrier Filtering Effect. Electron. Mater. Lett. 2021, 17, 436–442. [Google Scholar] [CrossRef]
Figure 1. XRD patterns of Bi0.5Sb1.5Te3M0.1 (M = Ti, V, Nb, Mo, W, Ni, Pd and Cu).
Figure 1. XRD patterns of Bi0.5Sb1.5Te3M0.1 (M = Ti, V, Nb, Mo, W, Ni, Pd and Cu).
Materials 14 07567 g001
Figure 2. Band alignments at heterointerfaces between Bi0.5Sb1.5Te3 and secondary phases (NbTe2, NiTe2, W, TiTe2, and VTe2).
Figure 2. Band alignments at heterointerfaces between Bi0.5Sb1.5Te3 and secondary phases (NbTe2, NiTe2, W, TiTe2, and VTe2).
Materials 14 07567 g002
Figure 3. Band alignments in a Bi0.5Sb1.5Te3M heterojunction (M = semiconductor).
Figure 3. Band alignments in a Bi0.5Sb1.5Te3M heterojunction (M = semiconductor).
Materials 14 07567 g003
Figure 4. Temperature dependences of the (a) electrical conductivity, (b) Seebeck coefficient, and (c) power factor in Bi0.5Sb1.5Te3M0.1 (M = Ti, V, Nb, Mo and W).
Figure 4. Temperature dependences of the (a) electrical conductivity, (b) Seebeck coefficient, and (c) power factor in Bi0.5Sb1.5Te3M0.1 (M = Ti, V, Nb, Mo and W).
Materials 14 07567 g004
Figure 5. Temperature dependences of the (a) electrical conductivity, (b) Seebeck coefficient, and (c) power factor in Bi0.5Sb1.5Te3M0.1 (M = Ni, Pd and Cu).
Figure 5. Temperature dependences of the (a) electrical conductivity, (b) Seebeck coefficient, and (c) power factor in Bi0.5Sb1.5Te3M0.1 (M = Ni, Pd and Cu).
Materials 14 07567 g005
Figure 6. (a) κtot and (b) κlatt as a function of temperature for Bi0.5Sb1.5Te3M0.1 (M = Ti, V, Nb, Ni and W); (c) κtot and (d) κlatt as a function of temperature for Bi0.5Sb1.5Te3M0.1 (M = Ni, Pd and Cu).
Figure 6. (a) κtot and (b) κlatt as a function of temperature for Bi0.5Sb1.5Te3M0.1 (M = Ti, V, Nb, Ni and W); (c) κtot and (d) κlatt as a function of temperature for Bi0.5Sb1.5Te3M0.1 (M = Ni, Pd and Cu).
Materials 14 07567 g006
Figure 7. Figure of merit zT of (a) Bi0.5Sb1.5Te3M0.1 (M = Ti, V, Nb, Mo and W) and (b) Bi0.5Sb1.5Te3M0.1 (M = Ni, Pd and Cu).
Figure 7. Figure of merit zT of (a) Bi0.5Sb1.5Te3M0.1 (M = Ti, V, Nb, Mo and W) and (b) Bi0.5Sb1.5Te3M0.1 (M = Ni, Pd and Cu).
Materials 14 07567 g007
Table 1. Work functions or band gap (Eg) and electron affinity (χ) of the precipitates.
Table 1. Work functions or band gap (Eg) and electron affinity (χ) of the precipitates.
PropertiesPhasesWork Function or Eg and χ (eV)Reference
-Bi0.5Sb1.5Te3Eg = 0.2
χ = 4.50
MetallicTiTe24.86[19]
VTe24.92
NbTe24.62
W4.5[20]
NiTe24.44[21,22]
Semi-conductingMoTe2Eg = 0.8
χ = 4.29
[22]
PdTe2Eg = 0.12
χ = 4.36
[23,24]
Cu4Te3unknown-
Publisher’s Note: MDPI stays neutral with regard to jurisdictional claims in published maps and institutional affiliations.

Share and Cite

MDPI and ACS Style

Kim, D.H.; Kim, T.; Lee, S.W.; Kim, H.-S.; Shin, W.H.; Kim, S.-i. Investigation of Phase Segregation in p-Type Bi0.5Sb1.5Te3 Thermoelectric Alloys by In Situ Melt Spinning to Determine Possible Carrier Filtering Effect. Materials 2021, 14, 7567. https://doi.org/10.3390/ma14247567

AMA Style

Kim DH, Kim T, Lee SW, Kim H-S, Shin WH, Kim S-i. Investigation of Phase Segregation in p-Type Bi0.5Sb1.5Te3 Thermoelectric Alloys by In Situ Melt Spinning to Determine Possible Carrier Filtering Effect. Materials. 2021; 14(24):7567. https://doi.org/10.3390/ma14247567

Chicago/Turabian Style

Kim, Dong Ho, TaeWan Kim, Se Woong Lee, Hyun-Sik Kim, Weon Ho Shin, and Sang-il Kim. 2021. "Investigation of Phase Segregation in p-Type Bi0.5Sb1.5Te3 Thermoelectric Alloys by In Situ Melt Spinning to Determine Possible Carrier Filtering Effect" Materials 14, no. 24: 7567. https://doi.org/10.3390/ma14247567

APA Style

Kim, D. H., Kim, T., Lee, S. W., Kim, H.-S., Shin, W. H., & Kim, S.-i. (2021). Investigation of Phase Segregation in p-Type Bi0.5Sb1.5Te3 Thermoelectric Alloys by In Situ Melt Spinning to Determine Possible Carrier Filtering Effect. Materials, 14(24), 7567. https://doi.org/10.3390/ma14247567

Note that from the first issue of 2016, this journal uses article numbers instead of page numbers. See further details here.

Article Metrics

Back to TopTop