Characterization of GaAs Solar Cells under Supercontinuum Long-Time Illumination
Abstract
1. Introduction
2. Results and Discussion
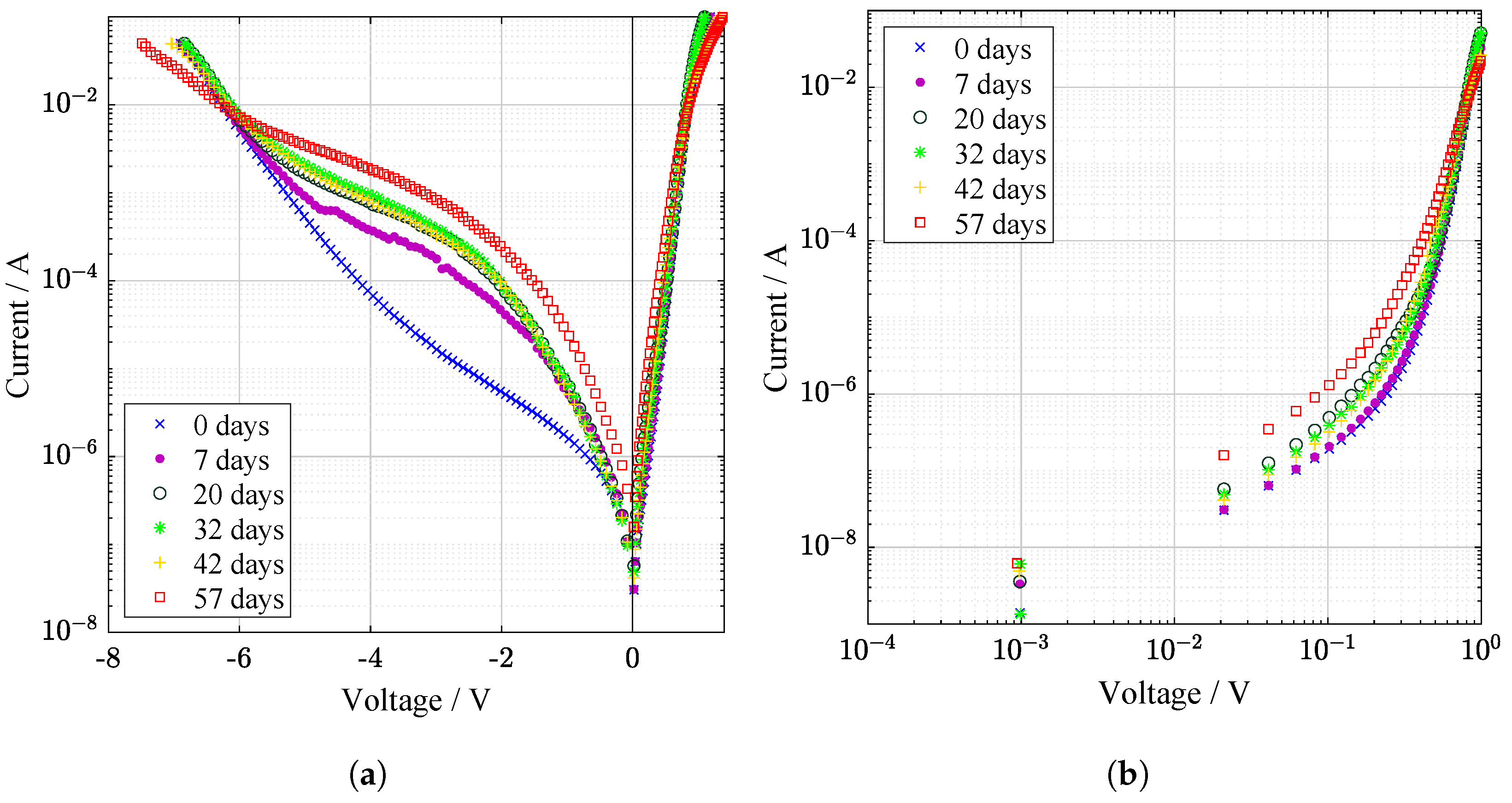
2.1. Electrical Characteristics
2.2. Raman Spectroscopy
2.3. Spectrophotometry
2.4. X-ray Photoelectron Spectroscopy (XPS)
2.5. Secondary Ion Mass Spectroscopy (SIMS)
3. Material and Methods
4. Conclusions
Author Contributions
Funding
Institutional Review Board Statement
Informed Consent Statement
Data Availability Statement
Conflicts of Interest
Sample Availability
Abbreviations
| ARC | Anti-reflection coatings | 
| HCPV | High-concentration photovoltaic | 
| LO | Longitudinal optical | 
| MPP | Maximum power point | 
| NIR | Near-infrared | 
| SIMS | Secondary ion mass spectroscopy | 
| SL | Supercontinuum laser | 
| TO | Transverse optical | 
| UVA | Ultraviolet A | 
| VIS | Visible | 
| XPS | X-ray photoelectron spectroscopy | 
References
- Papež, N.; Sobola, D.; Škvarenina, Ľ.; Škarvada, P.; Hemzal, D.; Tofel, P.; Grmela, L. Degradation analysis of GaAs solar cells at thermal stress. Appl. Surf. Sci. 2018, 461, 212–220. [Google Scholar] [CrossRef]
 - Papež, N.; Škvarenina, Ľ.; Tofel, P.; Sobola, D. Thermal stability of gallium arsenide solar cells. In Photonics, Devices, and Systems VII; Páta, P., Fliegel, K., Eds.; SPIE: Bellingham, WA, USA, 2017; Volume 10603, p. 27. [Google Scholar] [CrossRef]
 - Papež, N.; Gajdoš, A.; Dallaev, R.; Sobola, D.; Sedlák, P.; Motúz, R.; Nebojsa, A.; Grmela, L. Performance analysis of GaAs based solar cells under gamma irradiation. Appl. Surf. Sci. 2020, 510. [Google Scholar] [CrossRef]
 - Ferrando, E.; Brambilla, L.; Caccivio, M.; Zamboni, A.; Campesato, R.; Flores, C.; Gabetta, G.; Strobl, G.; Nell, M.; Gerlach, L. Testing activities and results of GaAs space solar cells and PV assemblies for high temperature and insolation applications. In Proceedings of the 3rd World Conference on Photovoltaic Energy Conversion, Osaka, Japan, 1–18 May 2003; Volume 1, pp. 797–800. [Google Scholar]
 - Ortiz, E.; Algora, C. A high-efficiency LPE GaAs solar cell at concentrations ranging from 2000 to 4000 suns. Prog. Photovoltaics Res. Appl. 2003, 11, 155–163. [Google Scholar] [CrossRef]
 - Papež, N. Structural analysis of GaAs-based PV cells after ionizing irradiation. In Proceedings II of the 26th Conference STUDENT EEICT 2020; Novak, V., Ed.; Brno Univ Technology, FAC Electrical Eng & Communication: Brno, Czech Republic, 2020; pp. 203–208. [Google Scholar]
 - Dennis, T. Full-spectrum optical-beam-induced current for solar cell microscopy and multi-junction characterization. In Proceedings of the Conference Record of the IEEE Photovoltaic Specialists Conference, Tampa Bay, FL, USA, 16–21 June 2013. [Google Scholar] [CrossRef]
 - Hartl, I.; Li, X.D.; Chudoba, C.; Ghanta, R.K.; Ko, T.H.; Fujimoto, J.G.; Ranka, J.K.; Windeler, R.S. Ultrahigh-resolution optical coherence tomography using continuum generation in an air–silica microstructure optical fiber. Opt. Lett. 2001. [Google Scholar] [CrossRef] [PubMed]
 - Tamura, K.R.; Kubota, H.; Nakazawa, M. Fundamentals of stable continuum generation at high repetition rates. IEEE J. Quantum Electron. 2000. [Google Scholar] [CrossRef]
 - Dunsby, C.; French, P.M. Biophotonics applications of supercontinuum generation. In Supercontinuum Generation in Optical Fibers; Cambridge University Press: Cambridge, UK, 2010. [Google Scholar] [CrossRef]
 - Qi, L.; Xie, Y.; Liu, Y.; Jing, H.; Zhang, R. Thermal-stress distribution and damage characteristics of three-junction GaAs solar cell irradiated by continuous laser beam. Optik 2019. [Google Scholar] [CrossRef]
 - Krauss, K.; Fertig, F.; Menzel, D.; Rein, S. Light-induced Degradation of Silicon Solar Cells with Aluminiumoxide Passivated Rear Side. Energy Procedia 2015. [Google Scholar] [CrossRef]
 - Ponst, D.; Bourgoint, J.C. Irradiation-induced defects in GaAs. J. Phys. Solid State Phys. 1985. [Google Scholar] [CrossRef]
 - Mai, R.; Wu, X.; Jiang, Y.; Meng, Y.; Liu, B.; Hu, X.; Roncali, J.; Zhou, G.; Liu, J.M.; Kempa, K.; et al. An efficient multi-functional material based on polyether-substituted indolocarbazole for perovskite solar cells and solution-processed non-doped OLEDs. J. Mater. Chem. 2019, 7, 1539–1547. [Google Scholar] [CrossRef]
 - Lin, J.Y.; Dissanayake, A.; Jiang, H.X. DX centers in Al0.34Ga0.66As amorphous thin films. Solid State Commun. 1993. [Google Scholar] [CrossRef]
 - Vasan, R.; Makableh, Y.F.; Manasreh, M.O. Comparison of anti-reflective properties of single layer anatase and rutile TiO2 on GaAs based solar cells. Mrs Adv. 2016. [Google Scholar] [CrossRef]
 - Ţa˘lu, Ş. Micro and Nanoscale Characterization of Three Dimensional Surfaces: Basics and Applications; Napoca Star Publishing House: Cluj-Napoca, Romania, 2015. [Google Scholar]
 - Ţa˘lu, Ş.; Papež, N.; Sobola, D.; Achour, A.; Solaymani, S. Micromorphology investigation of GaAs solar cells: Case study on statistical surface roughness parameters. J. Mater. Sci. Mater. Electron. 2017, 28, 15370–15379. [Google Scholar] [CrossRef]
 - Lang, R.; Schön, J.; Lefèvre, J.; Boizot, B.; Dimroth, F.; Lackner, D. Radiation hardness and post irradiation regeneration behavior of GaInAsP solar cells. Sol. Energy Mater. Sol. Cells 2020, 211, 110551. [Google Scholar] [CrossRef]
 - Hussin, M.Z.; Omar, A.M.; Shaari, S.; Sin, N.D. Review of state-of-the-art: Inverter-to-array power ratio for thin—Film sizing technique. Renew. Sustain. Energy Rev. 2017, 74, 265–277. [Google Scholar] [CrossRef]
 - Wagner, J.; Geppert, T.; Köhler, K.; Ganser, P.; Herres, N. N-induced vibrational modes in GaAsN and GaInAsN studied by resonant Raman scattering. J. Appl. Phys. 2001. [Google Scholar] [CrossRef]
 - Shang, A.; Li, X. Photovoltaic Devices: Opto-Electro-Thermal Physics and Modeling. Adv. Mater. 2017, 29, 1603492. [Google Scholar] [CrossRef] [PubMed]
 - Lee, T.; Rho, H.; Song, J.D.; Choi, W.J. Raman scattering from GaAs/AlGaAs multiple quantum well structures grown by two-step molecular beam epitaxy. Curr. Appl. Phys. 2017, 17, 398–402. [Google Scholar] [CrossRef]
 - Phong Pham, D.; Kim, T.; Lee, S.; Yi, J. Reduction in GaAs interfacial defects via structural phase variation of hydrogenated silicon films. Infrared Phys. Technol. 2020, 111, 103534. [Google Scholar] [CrossRef]
 - Espinosa-Vega, L.I.; Eugenio-Lopez, E.; Gutierrez-Hernandez, J.M.; Gorbatchev, A.Y.; Shimomura, S.; Mendez-Garcia, V.H. Strain and anisotropy effects studied in InAs/GaAs(2 2 1) quantum dashes by Raman spectroscopy. J. Cryst. Growth 2017, 477, 212–216. [Google Scholar] [CrossRef]
 - Strömberg, A.; Omanakuttan, G.; Liu, Y.; Mu, T.; Xu, Z.; Lourdudoss, S.; Sun, Y.T. Heteroepitaxy of GaAsP and GaP on GaAs and Si by low pressure hydride vapor phase epitaxy. J. Cryst. Growth 2020, 540, 125623. [Google Scholar] [CrossRef]
 - Dallaeva, D.S.; Bilalov, B.A.; Gitikchiev, M.A.; Kardashova, G.D.; Safaraliev, G.K.; Tománek, P.; Škarvada, P.; Smith, S. Structural properties of Al2O3/AlN thin film prepared by magnetron sputtering of Al in HF-activated nitrogen plasma. Thin Solid Film. 2012. [Google Scholar] [CrossRef]
 - Song, T.; Liu, Q.; Liu, J.; Yang, W.; Chen, R.; Jing, X.; Takahashi, K.; Wang, J. Fabrication of super slippery sheet-layered and porous anodic aluminium oxide surfaces and its anticorrosion property. Appl. Surf. Sci. 2015. [Google Scholar] [CrossRef]
 - Škarvada, P.; Tománek, P.; Koktavý, P.; Macků, R.; Šicner, J.; Vondra, M.; Dallaeva, D.; Smith, S.; Grmela, L. A variety of microstructural defects in crystalline silicon solar cells. Appl. Surf. Sci. 2014. [Google Scholar] [CrossRef]
 - Chou, Y.C.; Leung, D.; Lai, R.; Grundbacher, R.; Liu, P.H.; Biedenbender, M.; Kan, Q.; Eng, D.; Wojtowicz, M.; Oki, A. On the investigation of gate metal interdiffusion in GaAs HEMTs. In Proceedings of the 25th Annual Technical Digest 2003, IEEE Gallium Arsenide Integrated Circuit (GaAs IC) Symposium, San Diego, CA, USA, 9–12 November 2003. [Google Scholar] [CrossRef]
 - Berechman, R.A.; Revzin, B.; Shapira, Y. Correlating gate sinking and electrical performance of pseudomorphic high electron mobility transistors. Microelectron. Reliab. 2007. [Google Scholar] [CrossRef]
 - Ţălu, Ş; Sobola, D.; Papež, N.; Dallaev, R.; Sedlák, P. Efficient Processing of Data Acquired Using Microscopy Techniques. Destech Trans. Soc. Sci. Educ. Hum. Sci. 2018. [Google Scholar] [CrossRef]
 - Kaur, G.; Mitra, A.; Yadav, K.L. Pulsed laser deposited Al-doped ZnO thin films for optical applications. Prog. Nat. Sci. Mater. Int. 2015, 25, 12–21. [Google Scholar] [CrossRef]
 - Papež, N.; Gajdoš, A.; Sobola, D.; Dallaev, R.; Macků, R.; Škarvada, P.; Grmela, L. Effect of gamma radiation on properties and performance of GaAs based solar cells. Appl. Surf. Sci. 2020, 527. [Google Scholar] [CrossRef]
 













| Days | / mV | / mA | / mV | / mA | / mW | FF / – | 
|---|---|---|---|---|---|---|
| 0 | 832.4 | 8.701 | 660.6 | 8.965 | 5.262 | 0.727 | 
| 7 | 817.5 | 8.661 | 650.7 | 7.803 | 5.078 | 0.717 | 
| 20 | 810.7 | 8.851 | 595.6 | 7.560 | 4.503 | 0.628 | 
| 32 | 813.9 | 8.440 | 545.5 | 7.031 | 3.836 | 0.558 | 
| 42 | 787.7 | 8.513 | 580.5 | 7.432 | 4.315 | 0.643 | 
| 57 | 750.5 | 8.687 | 520.5 | 7.277 | 3.787 | 0.581 | 
Publisher’s Note: MDPI stays neutral with regard to jurisdictional claims in published maps and institutional affiliations.  | 
© 2021 by the authors. Licensee MDPI, Basel, Switzerland. This article is an open access article distributed under the terms and conditions of the Creative Commons Attribution (CC BY) license (http://creativecommons.org/licenses/by/4.0/).
Share and Cite
Papež, N.; Dallaev, R.; Kaspar, P.; Sobola, D.; Škarvada, P.; Ţălu, Ş.; Ramazanov, S.; Nebojsa, A. Characterization of GaAs Solar Cells under Supercontinuum Long-Time Illumination. Materials 2021, 14, 461. https://doi.org/10.3390/ma14020461
Papež N, Dallaev R, Kaspar P, Sobola D, Škarvada P, Ţălu Ş, Ramazanov S, Nebojsa A. Characterization of GaAs Solar Cells under Supercontinuum Long-Time Illumination. Materials. 2021; 14(2):461. https://doi.org/10.3390/ma14020461
Chicago/Turabian StylePapež, Nikola, Rashid Dallaev, Pavel Kaspar, Dinara Sobola, Pavel Škarvada, Ştefan Ţălu, Shikhgasan Ramazanov, and Alois Nebojsa. 2021. "Characterization of GaAs Solar Cells under Supercontinuum Long-Time Illumination" Materials 14, no. 2: 461. https://doi.org/10.3390/ma14020461
APA StylePapež, N., Dallaev, R., Kaspar, P., Sobola, D., Škarvada, P., Ţălu, Ş., Ramazanov, S., & Nebojsa, A. (2021). Characterization of GaAs Solar Cells under Supercontinuum Long-Time Illumination. Materials, 14(2), 461. https://doi.org/10.3390/ma14020461
        
