Numerical Simulation of the Whole Thermal Lensing Process with Z-Scan-Based Methods Using Gaussian Beams
Abstract
1. Introduction
2. Theory of the Thermal Effect
3. Results and Discussions
3.1. Intensity Profiles Versus z
3.2. Spatiotemporal Evolution of the Central Output Diffracted Beam
3.3. Results Comparison
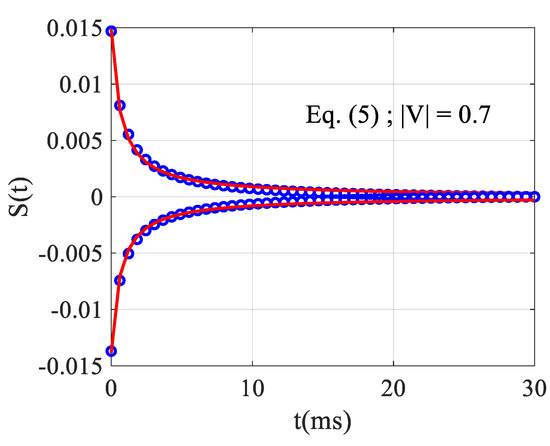
3.4. Simplified Relations Using Z-scan-based Methods
4. Conclusions
Funding
Institutional Review Board Statement
Informed Consent Statement
Data Availability Statement
Conflicts of Interest
References
- Snook, R.D.; Lowe, R.D. Thermal lens spectrometry. A review. Analyst 1995, 120, 2051–2068. [Google Scholar] [CrossRef]
- Swapna, M.N.S.; Raj, V.; Cabrera, H.; Sankararaman, S.I. Thermal Lensing of Multi-walled Carbon Nanotube Solutions as Heat Transfer Nanofluids. ACS Appl. Nano Mater. 2021, 4, 3416–3425. [Google Scholar] [CrossRef]
- Olaizola, A.M. Photothermal mirror Z-scan spectrometry of opaque samples. J. Opt. Soc. Am. B 2019, 36, 2907–2912. [Google Scholar] [CrossRef]
- Andrus, L.; Ben-Yakar, A. Thermal lensing effects and nonlinear refractive indices of fluoride crystals induced by high-power ultrafast lasers. Appl. Opt. 2020, 59, 8806–8813. [Google Scholar] [CrossRef] [PubMed]
- Bautista, J.E.Q.; da Silva-Neto, M.L.; Campos, C.L.A.V.; Maldonado, M.; de Araujo, C.B.; Gomes, A.S.L. Thermal and non-thermal intensity dependent optical nonlinearities in ethanol at 800 nm, 1480 nm, and 1560 nm. J. Opt. Soc. Am. B 2021, 38, 1104. [Google Scholar] [CrossRef]
- Pura, J.L.; Souto, J.; Jiménez, J. Effect of thermal lensing and the micrometric degraded regions on the cata-strophic optical damage process of high-power laser diodes. Opt. Lett. 2020, 45, 1667–1670. [Google Scholar] [CrossRef]
- Pedrosa, T.L.; Estupiñán-López, C.; De Araujo, R.E. Temperature evaluation of colloidal nanoparticles by the thermal lens technique. Opt. Express 2020, 28, 31457–31467. [Google Scholar] [CrossRef]
- McBeath, S.T.; Wilkinson, D.P.; Graham, N.J. Analytical quantification of aqueous permanganate: Direct and indirect spectrophotometric determination for water treatment processes. Chemosphere 2020, 251, 126626. [Google Scholar] [CrossRef]
- Huang, Y.-C.; Chen, T.-H.; Juo, J.-Y.; Chu, S.-W.; Hsieh, C.-L. Quantitative Imaging of Single Light-Absorbing Nanoparticles by Widefield Interferometric Photothermal Microscopy. ACS Photon 2021, 8, 592–602. [Google Scholar] [CrossRef]
- Ba, O.; Chis, M.; Cassagne, C.; Boudebs, G. Phase shift imaging in thin films using CW Z-scan based technique. Phys. B Condens. Matter 2021, 603, 412608. [Google Scholar] [CrossRef]
- Gordon, J.P.; Leite, R.C.C.; Moore, R.S.; Porto, S.P.S.; Whinnery, J.R. Long-Transient Effects in Lasers with Inserted Liquid Samples. J. Appl. Phys. 1965, 36, 3–8. [Google Scholar] [CrossRef]
- Hu, C.; Whinnery, J.R. New Thermooptical Measurement Method and a Comparison with Other Methods. Appl. Opt. 1973, 12, 72–79. [Google Scholar] [CrossRef]
- Whinnery, J.R. Laser measurement of optical absorption in liquids. Accounts Chem. Res. 1974, 7, 225–231. [Google Scholar] [CrossRef]
- Carman, R.L.; Kelley, P.L. Time dependence in the thermal blooming of laser beams. Appl. Phys. Lett. 1968, 12, 241–243. [Google Scholar] [CrossRef]
- Sheldon, S.J.; Knight, L.V.; Thorne, J.M. Laser-induced thermal lens effect: A new theoretical model. Appl. Opt. 1982, 21, 1663–1669. [Google Scholar] [CrossRef]
- Shen, J.; Lowe, R.D.; Snook, R.D. A model for cw laser induced mode-mismatched dual-beam thermal lens spectrometry. Chem. Phys. 1992, 165, 385–396. [Google Scholar] [CrossRef]
- Carter, C.A.; Harris, J.M. Comparison of models describing the thermal lens effect. Appl. Opt. 1984, 23, 476–481. [Google Scholar] [CrossRef]
- Long, M.E.; Swofford, R.L.; Albrecht, A.C. Thermal lens technique: A new method of absorption spectroscopy. Science 1976, 191, 183–185. [Google Scholar] [CrossRef]
- Sheik-Bahae, M.; Said, A.A.; Wei, T.-H.; Hagan, D.; Van Stryland, E.W. Sensitive measurement of optical nonlinearities using a single beam. IEEE J. Quantum Electron. 1990, 26, 760–769. [Google Scholar] [CrossRef]
- Boudebs, G.; Besse, V.; Cassagne, C.; Leblond, H.; de Araújo, C.B. Nonlinear characterization of materials using the D4σ method inside a Z-scan 4f-system. Opt. Lett. 2013, 38, 2206–2208. [Google Scholar] [CrossRef][Green Version]
- Goodman, J.W. Introduction to Fourier Optics, 2nd ed.; Mc Graw Hill: New York, NY, USA, 1996; pp. 57–60. [Google Scholar]
- Fedus, K.; Boudebs, G. Experimental techniques using 4f coherent imaging system for measuring nonlinear refraction. Opt. Commun. 2013, 292, 140–148. [Google Scholar] [CrossRef][Green Version]
- De Araújo, C.B.; Gomes, A.S.L.; Boudebs, G. Techniques for nonlinear optical characterization of materials: A review. Rep. Prog. Phys. 2016, 79, 36401. [Google Scholar] [CrossRef] [PubMed]
- Boudebs, G.; Chis, M.; Monteil, A. Contrast increasing by third-order nonlinear image processing: A numerical study for microscopic rectangular objects. Opt. Commun. 1998, 150, 287–296. [Google Scholar] [CrossRef]
- Marcano, A.; Cabrera, H.; Guerra, M.; Cruz, R.A.; Jacinto, C.; Catunda, T. Optimizing and calibrating a mode-mismatched thermal lens experiment for low absorption measurement. J. Opt. Soc. Am. B 2006, 23, 1408–1413. [Google Scholar] [CrossRef]
- Reyna, A.S.; Boudebs, G.; Malomed, B.A.; de Araújo, C.B. Robust self-trapping of vortex beams in a saturable optical medium. Phys. Rev. A. 2016, 93, 013840. [Google Scholar] [CrossRef]
- Falconieri, M.; Salvetti, G. Simultaneous measurement of pure-optical and thermo-optical nonlinearities induced by high-repetition-rate, femtosecond laser pulses: Application to CS 2. Appl. Phys. A 1999, 69, 133–136. [Google Scholar] [CrossRef]







| Z (mm) | |||||||||
|---|---|---|---|---|---|---|---|---|---|
| 90 | 532 | 1 | 5.2 | 0.5 | 0.3 | 30 | 1.5 | 30 | 4 |
Publisher’s Note: MDPI stays neutral with regard to jurisdictional claims in published maps and institutional affiliations. |
© 2021 by the author. Licensee MDPI, Basel, Switzerland. This article is an open access article distributed under the terms and conditions of the Creative Commons Attribution (CC BY) license (https://creativecommons.org/licenses/by/4.0/).
Share and Cite
Boudebs, G. Numerical Simulation of the Whole Thermal Lensing Process with Z-Scan-Based Methods Using Gaussian Beams. Materials 2021, 14, 5533. https://doi.org/10.3390/ma14195533
Boudebs G. Numerical Simulation of the Whole Thermal Lensing Process with Z-Scan-Based Methods Using Gaussian Beams. Materials. 2021; 14(19):5533. https://doi.org/10.3390/ma14195533
Chicago/Turabian StyleBoudebs, Georges. 2021. "Numerical Simulation of the Whole Thermal Lensing Process with Z-Scan-Based Methods Using Gaussian Beams" Materials 14, no. 19: 5533. https://doi.org/10.3390/ma14195533
APA StyleBoudebs, G. (2021). Numerical Simulation of the Whole Thermal Lensing Process with Z-Scan-Based Methods Using Gaussian Beams. Materials, 14(19), 5533. https://doi.org/10.3390/ma14195533
