Magnetic Properties of Novel Layered Disulfides CuCr0.99Ln0.01S2 (Ln = La…Lu)
Abstract
1. Introduction
2. Experimental
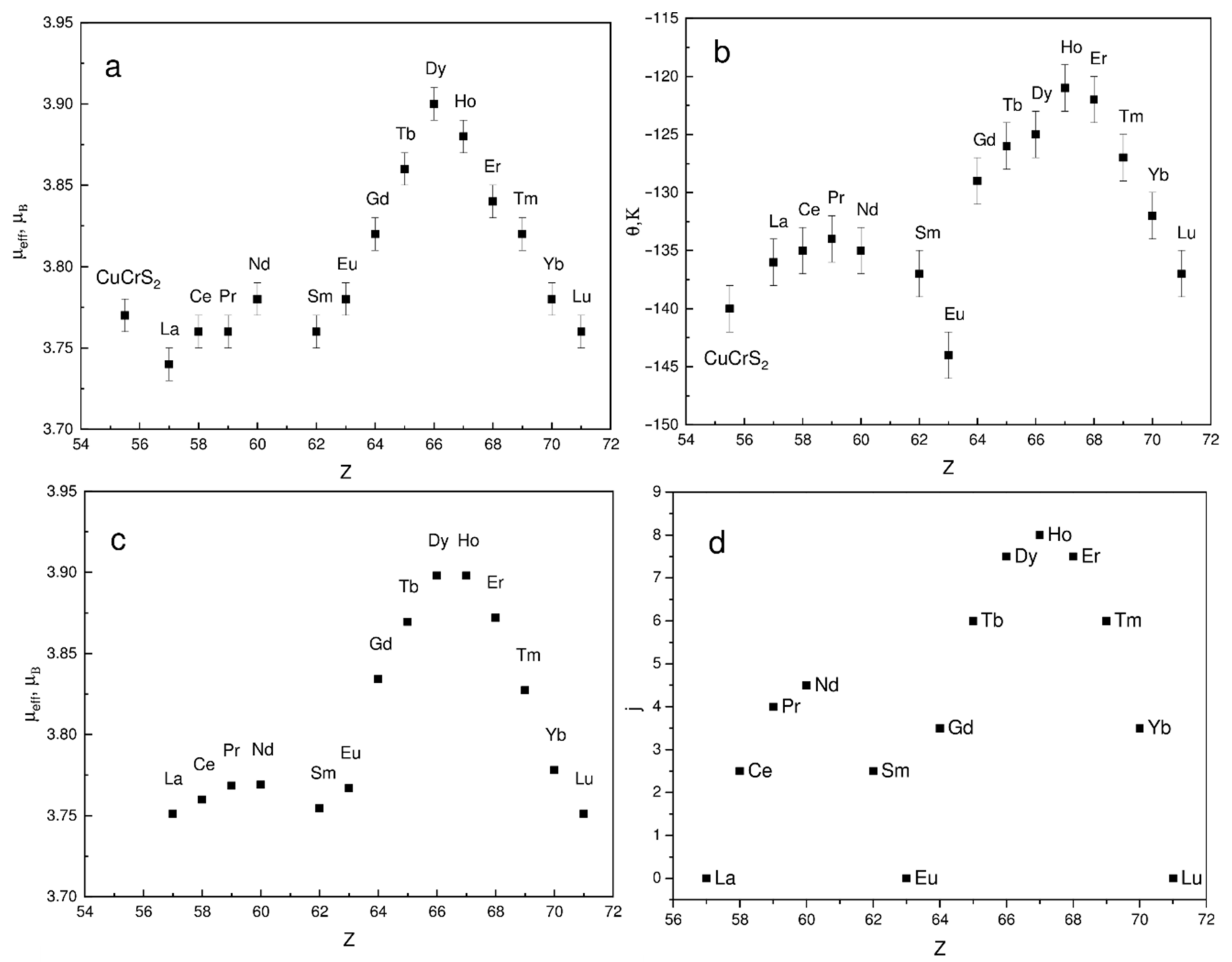
3. Results and Discussion
4. Conclusions
Supplementary Materials
Author Contributions
Funding
Institutional Review Board Statement
Informed Consent Statement
Data Availability Statement
Acknowledgments
Conflicts of Interest
References
- Engelsman, F.M.R.; Wiegers, G.A.; Jellinek, F.; Van Laar, B. Crystal structures and magnetic structures of some metal(I) chromium(III) sulfides and selenides. J. Solid State Chem. 1973, 6, 574–582. [Google Scholar] [CrossRef]
- Bongers, P.F.; Van Bruggen, C.F.; Koopstra, J.; Omloo, W.P.F.A.M.; Wiegers, G.A.; Jellinek, F. Structures and magnetic properties of some metal (I) chromium (III) sulfides and selenides. J. Phys. Chem. Solids 1968, 29, 977–984. [Google Scholar] [CrossRef]
- Korotaev, E.V.; Syrokvashin, M.M.; Filatova, I.Y.; Sotnikov, A.V. Effect of the Order-Disorder Transition on the Electronic Structure and Physical Properties of Layered CuCrS2. Materials 2021, 14, 2729. [Google Scholar] [CrossRef]
- Rasch, J.C.E.; Boehm, M.; Ritter, C.; Mutka, H.; Schefer, J.; Keller, L.; Abramova, G.M.; Cervellino, A.; Löffler, J.F. Magnetoelastic coupling in the triangular lattice antiferromagnet CuCrS2. Appl. Phys. Lett. 2009, 80, 104431. [Google Scholar]
- Karmakar, A.; Dey, K.; Chatterjee, S.; Majumdar, S.; Giri, S. Spin correlated dielectric memory and rejuvenation in multiferroic CuCrS2. Appl. Phys. Lett. 2014, 104, 052906. [Google Scholar] [CrossRef]
- Almukhametov, R.F.; Yakshibayev, R.A.; Gabitov, E.V.; Abdullin, A.R.; Kutusheva, R.M. Structural properties and ionic conductivities of CuCr1–xVxS2 solid solutions. Phys. Status Solidi 2003, 236, 29–33. [Google Scholar] [CrossRef]
- Korotaev, E.V.; Syrokvashin, M.M.; Filatova, I.Y.; Pelmenev, K.G.; Zvereva, V.V.; Peregudova, N.N. Seebeck Coefficient of Cation-Substituted Disulfides CuCr1−xFexS2 and Cu1−xFexCrS2. J. Electron. Mater. 2018, 47, 3392–3397. [Google Scholar] [CrossRef]
- Korotaev, E.V.; Syrokvashin, M.M.; Filatova, I.Y.; Trubina, S.V.; Nikolenko, A.D.; Ivlyushkin, D.V.; Zavertkin, P.S.; Sotnikov, A.V.; Kriventsov, V.V. XANES investigation of novel lanthanide-doped CuCr0.99Ln0.01S2 (Ln = La, Ce) solid solutions. Appl. Phys. A 2020, 126, 537. [Google Scholar] [CrossRef]
- Hansen, A.-L.; Dankwort, T.; Groß, H.; Etter, M.; König, J.; Duppel, V.; Kienle, L.; Bensch, W. Structural properties of the thermoelectric material CuCrS2 and of deintercalated CuxCrS2 on different length scales: X-ray diffraction, pair distribution function and transmission electron microscopy studies. J. Mater. Chem. C 2017, 5, 9331–9338. [Google Scholar] [CrossRef]
- Al’mukhametov, R.F.; Yakshibaev, R.A.; Gabitov, É.V.; Abdullin, A.R. Investigation of superionic phase transition in the CuCr1-xVxS2 system by X-ray diffraction and magnetic methods. Phys. Solid State 2000, 42, 1508–1511. [Google Scholar] [CrossRef]
- Tsujii, N.; Kitazawa, H.; Kido, G. Insulator to metal transition induced by substitution in the nearly two-dimensional compound CuCr1-xVxS2. Phys. Status Solidi Curr. Top. Solid State Phys. 2006, 3, 2775–2778. [Google Scholar]
- Al’mukhametov, R.F.; Yakshibaev, R.A.; Gabitov, E.V.; Abdullin, A.R. Synthesis and X-ray diffraction study of CuCr1-xVxS2. Inorg. Mater. 2000, 36, 437–440. [Google Scholar] [CrossRef]
- Wu, D.; Huang, S.; Feng, D.; Li, B.; Chen, Y.; Zhang, J.; He, J. Revisiting AgCrSe2 as a promising thermoelectric material. Phys. Chem. Chem. Phys. 2016, 18, 23872–23878. [Google Scholar] [CrossRef]
- Bhattacharya, S.; Basu, R.; Bhatt, R.; Pitale, S.; Singh, A.; Aswal, D.K.; Gupta, S.K.; Navaneethan, M.; Hayakawa, Y. CuCrSe2: A high performance phonon glass and electron crystal thermoelectric material. J. Mater. Chem. A 2013, 1, 11289–11294. [Google Scholar] [CrossRef]
- Guy, D.R.P.; Marseglia, E.A.; Guy, S.C. Electron Spin Resonance in CuCrS2 and CuCrSe2 Single Crystals. Mol. Cryst. Liq. Cryst. 1985, 121, 165–168. [Google Scholar] [CrossRef]
- Akmanova, G.R.; Davletshina, A.D. Ionic conductivity and diffusion in superionic conductors CuCrS2-AgCrS2. Lett. Mater. 2013, 3, 76–78. [Google Scholar] [CrossRef][Green Version]
- Abramova, G.M.; Petrakovskii, G.A. Metal-insulator transition, magnetoresistance, and magnetic properties of 3d-sulfides (Review). Low Temp. Phys. 2006, 32, 725–734. [Google Scholar] [CrossRef]
- Tsujii, N.; Kitazawa, H. Substitution effect on the two-dimensional triangular-lattice system CuCrS2. J. Phys. Condens. Matter 2007, 19, 145245. [Google Scholar] [CrossRef]
- Al’mukhametov, R.F.; Yakshibaev, R.A.; Gabitov, É.V. Magnetic and transport properties of CuCr1−xVxS2 compounds. Phys. Solid State 1999, 41, 1327–1328. [Google Scholar] [CrossRef]
- Vasilyeva, I.G. Chemical aspect of the structural disorder in CuCrS2 and CuCr1–xVxS2 solid solutions. J. Struct. Chem. 2017, 58, 1009–1017. [Google Scholar] [CrossRef]
- Korotaev, E.V.; Syrokvashin, M.M.; Filatova, I.Y.; Zvereva, V.V. Vanadium doped layered copper-chromium sulfides: The correlation between the magnetic properties and XES data. Vacuum 2020, 179, 109390. [Google Scholar] [CrossRef]
- Zhang, J.Y.; Zhu, J.H.; You, L.; Guo, K.; Li, Z.L.; Lin, W.G.; Huang, J.; Luo, J. Enhanced and stabilized n-type thermoelectric performance in α-CuAgSe by Ni doping. Mater. Today Phys. 2019, 10, 100095. [Google Scholar] [CrossRef]
- Tewari, G.C.; Tripathi, T.S.; Rastogi, A.K. Thermoelectric properties of layer-antiferromagnet CuCrS2. J. Electron. Mater. 2010, 39, 1133–1139. [Google Scholar] [CrossRef]
- Abramova, G.M.; Petrakovskǐ, G.A.; Vorotynov, A.M.; Velikanov, D.A.; Kiselev, N.I.; Bovina, A.F.; Szymczak, R.; Al’mukhametov, R.F. Phase transitions and colossal magnetoresistance in CuVxCr1−xS2 layered disulfides. JETP Lett. 2006, 83, 118–121. [Google Scholar] [CrossRef]
- Inorganic Crystal Structure Database, Version 2.1.0. Leibniz Institute for Information Infrastructure, FIZ Karlsruhe, Eggenstein- Leopoldshafen, Germany, (n.d.). Available online: https://icsd.products.fiz-karlsruhe.de/ (accessed on 17 August 2021).
- Vassilieva, I.G.; Kardash, T.Y.; Malakhov, V.V. Phase transformations of CuCrS2: Structural and chemical study. J. Struct. Chem. 2009, 50, 288–295. [Google Scholar] [CrossRef]
- Selwood, P. Magnetochemistry, 2nd ed.; Interscience Publishers: New York, NY, USA, 1956. [Google Scholar]
- Le Nagard, N.; Collin, G.; Gorochov, O. Etude structurale et proprietes physiques de CuCrS2. Mater. Res. Bull. 1979, 14, 1411–1417. [Google Scholar] [CrossRef]
- Moeller, T. The Chemistry of the Lanthanides; Elsevier: Amsterdam, The Netherlands, 1973. [Google Scholar]
- Korotaev, E.V.; Syrokvashin, M.M.; Filatova, I.Y.; Trubina, S.V.; Nikolenko, A.D.; Ivlyushkin, D.V.; Zavertkin, P.S.; Kriventsov, V.V. The conduction band of the lanthanide doped chromium disulfides CuCr0.99Ln0.01S2 (Ln=La, Ce, Gd): XANES investigations. In Proceedings of the AIP Conference, Novosibirsk, Russian, 13–16 July 2020; Volume 2299, p. 080004. [Google Scholar]
- Adachi, H.; Ino, H. A ferromagnet having no net magnetic moment. Nature 1999, 401, 148–150. [Google Scholar] [CrossRef]
- Murphy, D.W.; Chen, H.S.; Tell, B. Superionic Conduction in AgCrS2 and AgCrSe2. J. Electrochem. Soc. 1977, 124, 1268–1271. [Google Scholar] [CrossRef]
- Korotaev, E.V.; Syrokvashin, M.M.; Peregudova, N.N.; Kanazhevskii, V.V.; Mazalov, L.N.; Sokolov, V.V. Effects of the nearest-neighbor environment of copper atoms on the XANES spectra of layered chromium-copper disulfides. J. Struct. Chem. 2015, 56, 596–600. [Google Scholar] [CrossRef]
- Korotaev, E.V.; Kanazhevskiy, V.V.; Peregudova, N.N.; Syrokvashin, M.M.; Mazalov, L.N.; Sokolov, V.V.; Filatova, I.Y.; Pichugin, A.Y. Xanes of X-ray absorbtion K edges of chromium dichalcogenides CuCr1-x M′xS2 and MCrX2. J. Struct. Chem. 2016, 57, 1355–1361. [Google Scholar] [CrossRef]





Publisher’s Note: MDPI stays neutral with regard to jurisdictional claims in published maps and institutional affiliations. |
© 2021 by the authors. Licensee MDPI, Basel, Switzerland. This article is an open access article distributed under the terms and conditions of the Creative Commons Attribution (CC BY) license (https://creativecommons.org/licenses/by/4.0/).
Share and Cite
Korotaev, E.V.; Syrokvashin, M.M.; Filatova, I.Y.; Zvereva, V.V. Magnetic Properties of Novel Layered Disulfides CuCr0.99Ln0.01S2 (Ln = La…Lu). Materials 2021, 14, 5101. https://doi.org/10.3390/ma14175101
Korotaev EV, Syrokvashin MM, Filatova IY, Zvereva VV. Magnetic Properties of Novel Layered Disulfides CuCr0.99Ln0.01S2 (Ln = La…Lu). Materials. 2021; 14(17):5101. https://doi.org/10.3390/ma14175101
Chicago/Turabian StyleKorotaev, Evgeniy V., Mikhail M. Syrokvashin, Irina Yu. Filatova, and Valentina V. Zvereva. 2021. "Magnetic Properties of Novel Layered Disulfides CuCr0.99Ln0.01S2 (Ln = La…Lu)" Materials 14, no. 17: 5101. https://doi.org/10.3390/ma14175101
APA StyleKorotaev, E. V., Syrokvashin, M. M., Filatova, I. Y., & Zvereva, V. V. (2021). Magnetic Properties of Novel Layered Disulfides CuCr0.99Ln0.01S2 (Ln = La…Lu). Materials, 14(17), 5101. https://doi.org/10.3390/ma14175101

