Energy Gaps in BN/GNRs Planar Heterostructure
Abstract
1. Introduction
2. Models and Methods
3. Results and Discussion
3.1. The Band Structure of GNRs and BNNRs
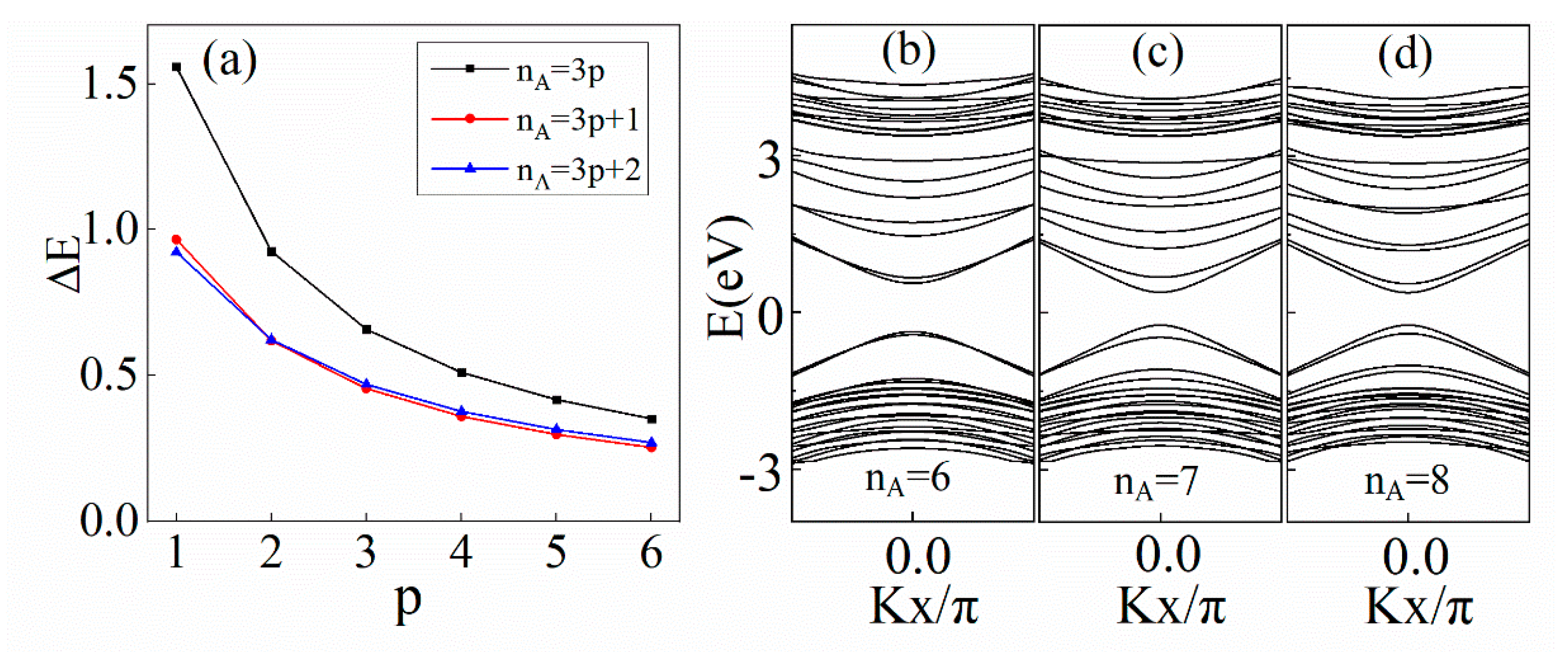
3.2. The Band Structure of BN/GNRs
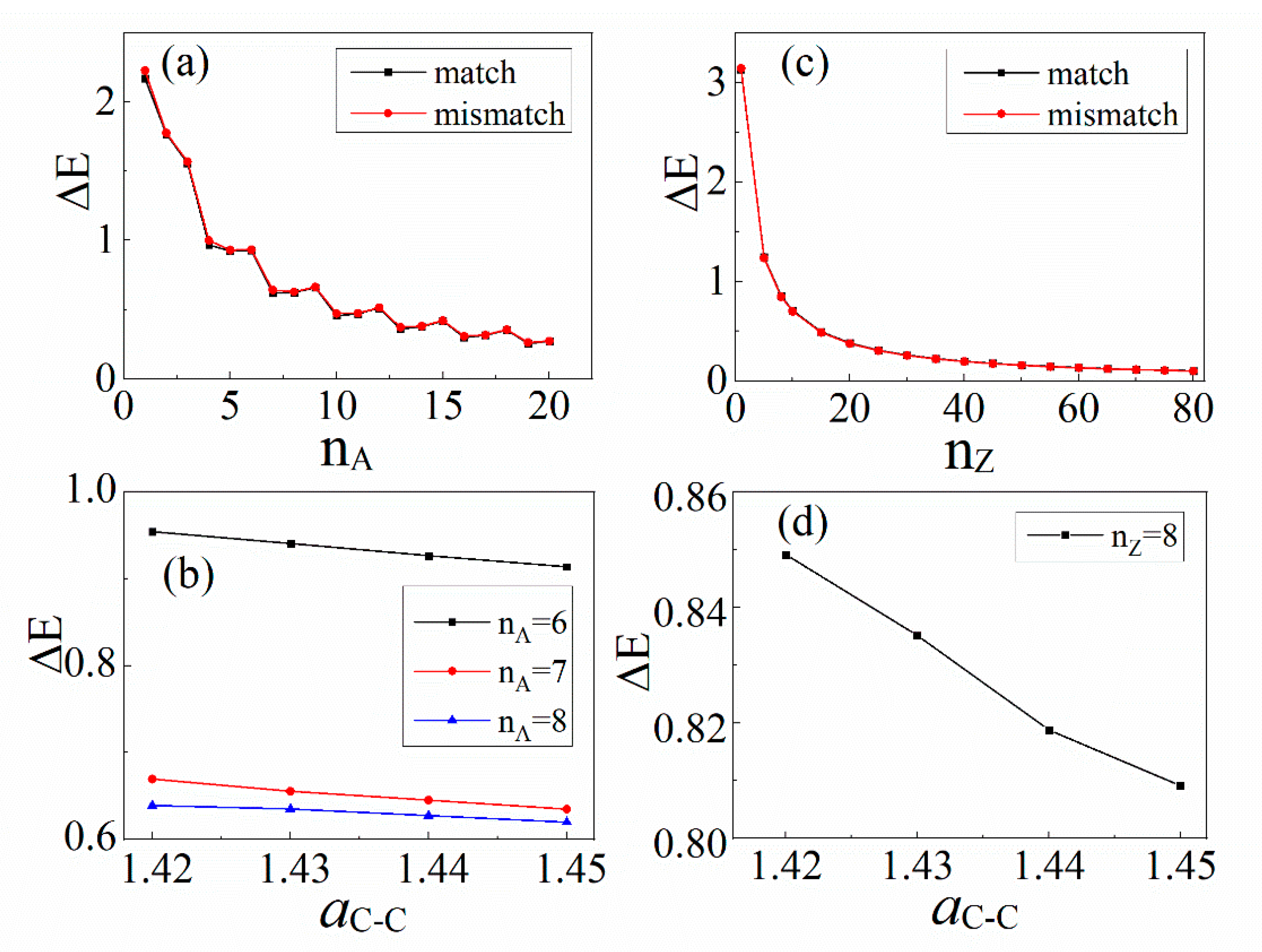
3.3. The Effect of Lattice Mismatch
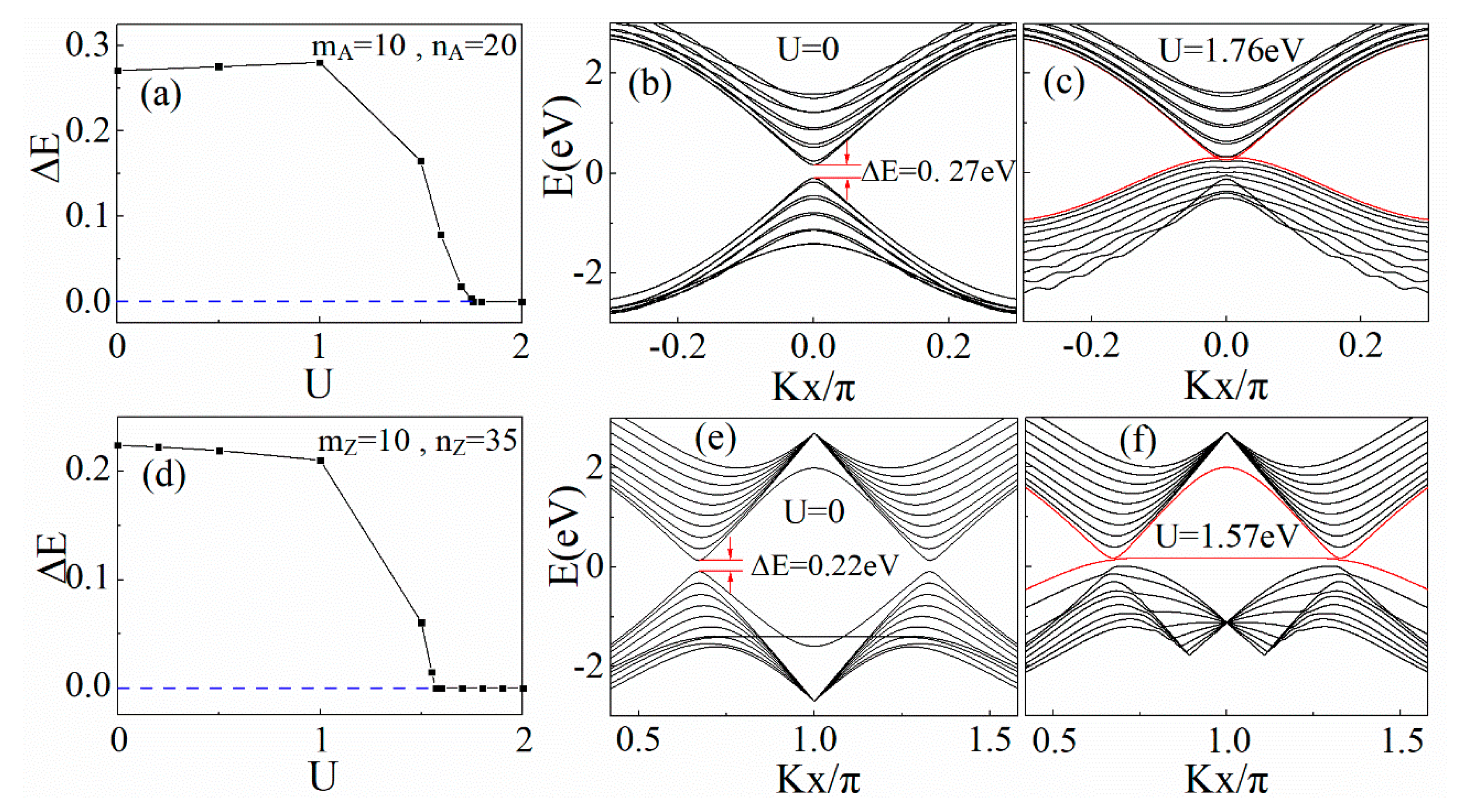
3.4. The Influence of Local Potential
4. Conclusions
Author Contributions
Funding
Institutional Review Board Statement
Informed Consent Statement
Data Availability Statement
Acknowledgments
Conflicts of Interest
References
- Novoselov, K.S.; Geim, A.K.; Morozov, S.V.; Jiang, D.; Zhang, Y.; Dubonos, S.V.; Grigorieva, I.V.; Firsov, A.A. Electric field effect in atomically thin carbon films. Science 2004, 306, 666–669. [Google Scholar] [CrossRef] [PubMed]
- Novoselov, K.S.; Geim, A.K.; Morozov, S.V.; Jiang, D.; Katsnelson, M.I.; Grigorieva, I.V.; Dubonos, S.V.; Firsov, A.A. Two-dimensional gas of massless Dirac fermions in graphene. Nature 2005, 438, 197–200. [Google Scholar] [CrossRef] [PubMed]
- Geim, A.K.; Novoselov, K.S. The rise of graphene. Nat. Mater. 2007, 6, 183–191. [Google Scholar] [CrossRef]
- Das Sarma, S.; Adam, S.; Hwang, E.H.; Rossi, E. Electronic transport in two dimensional graphene. Rev. Mod. Phys. 2011, 83, 407–470. [Google Scholar] [CrossRef]
- Hu, C.; Liu, D.; Xiao, Y.; Dai, L. Functionalization of graphene materials by heteroatom-doping for energy conversion and storage. Prog. Nat. Sci. Mater. Int. 2018, 28, 121–132. [Google Scholar] [CrossRef]
- Kamedulski, P.; Truszkowski, S.; Lukaszewicz, J.P. Highly Effective Methods of Obtaining N-Doped Graphene by Gamma Irradiation. Materials 2020, 13, 4975. [Google Scholar] [CrossRef] [PubMed]
- Chen, Y.; Xie, B.; Ren, Y.; Yu, M.; Qu, Y.; Xie, T.; Zhang, Y.; Wu, Y. Designed nitrogen doping of few-layer graphene functionalized by selective oxygenic groups. Nanoscale Res. Lett. 2014, 9, 1–8. [Google Scholar] [CrossRef]
- Son, Y.W.; Cohen, M.L.; Louie, S.G. Half-Metallic Graphene Nanoribbons. Nature 2006, 444, 347–349. [Google Scholar] [CrossRef]
- Nakada, K.; Fujita, M.; Dresselhaus, G.; Dresselhaus, M.S. Edge state in graphene ribbons: Nanometer size effect and edge shape dependence. Phys. Rev. B 1997, 54, 17954–17961. [Google Scholar] [CrossRef] [PubMed]
- Son, Y.W.; Cohen, M.L.; Louie, S.G. Energy Gaps in Graphene Nanoribbons. Phys. Rev. Lett. 2006, 97, 216803.1–216803.4. [Google Scholar] [CrossRef]
- Zeng, H.; Zhi, C.; Zhang, Z.; Wei, X.; Wang, X.; Guo, W.; Bando, Y.; Golberg, D. “White Graphenes”: Boron Nitride Nanoribbons via Boron Nitride Nanotube Unwrapping. Nano Lett. 2010, 10, 5049–5055. [Google Scholar] [CrossRef] [PubMed]
- Yankowitz, M.; Xue, J.; Cormode, D.; Sanchez-Yamagishi, J.D.; Watanabe, K.; Taniguchi, T.; Jarillo-Herrero, P.; Jacquod, P.; Leroy, B.J. Emergence of Superlattice Dirac Points in Graphene on Hexagonal Boron Nitride. Nat. Phys. 2012, 8, 382–386. [Google Scholar] [CrossRef]
- Geim, A.K.; Grigorieva, I.V. Van der Waals heterostructures. Nature 2013, 499, 419–425. [Google Scholar] [CrossRef] [PubMed]
- Liu, Y.; Weiss, N.O.; Duan, X.; Cheng, H.C.; Huang, Y.; Duan, X. Van der Waals Heterostructures and Devices. Nat. Rev. Maters. 2016, 1, 192–200. [Google Scholar] [CrossRef]
- Ajayan, P.; Kim, P.; Banerjee, K. Two-dimensional van der Waals materials. Phys. Today 2016, 69, 38–44. [Google Scholar] [CrossRef]
- Novoselov, K.S.; Mishchenko, A.; Carvalho, A.; Castro Neto, A.H. 2D materials and van der Waals heterostructures. Science 2016, 353, aac9439. [Google Scholar] [CrossRef]
- Xiao, H.P.; He, C.; Zhang, C.; Sun, L.Z.; Peng, X.; Zhang, K.; Zhong, J. Size effect of half-metallic properties of BN/C hybrid nanoribbons. Phys. B-Condens. Matter. 2012, 407, 4770–4772. [Google Scholar] [CrossRef]
- Dutta, S.; Manna, A.K.; Pati, S.K. Intrinsic Half-Metallicity in Modified Graphene Nanoribbons. Phys. Rev. Lett. 2009, 102, 197–200. [Google Scholar] [CrossRef]
- Hamze, M.; Rostam, M. Metallic and semimetallic properties of doped graphene and boron nitride planes. Solid State Commun. 2013, 153, 17–22. [Google Scholar]
- He, J.; Chen, K.Q.; Fan, Z.Q.; Tang, L.M.; Hu, W.P. Transition from insulator to metal induced by hybridized connection of graphene and boron nitride nanoribbons. Appl. Phys. Lett. 2010, 97, 193305.1–193305.3. [Google Scholar] [CrossRef]
- Liu, Y.; Wu, X.; Yu, Z. Half-Metallicity in Hybrid Graphene/Boron Nitride Nanoribbons with Dihydrogenated Edges. J. Phys. Chem. C. Nanomater. Interfaces 2011, 115, 9442–9450. [Google Scholar] [CrossRef]
- Pruneda, J.M. Origin of half-semimetallicity induced at interfaces of C-BN heterostructures. Phys. Rev. B Condens. Matter Mater. Phys. 2010, 81, 161409.1–161409.4. [Google Scholar] [CrossRef]
- Wang, H.S.; Chen, L.; Elibol, K.; He, L.; Wang, H.; Chen, C.; Jiang, C.; Li, C.; Wu, T.; Cong, C.X.; et al. Towards chirality control of graphene nanoribbons embedded in hexagonal boron nitride. Nat. Mater. 2021, 20, 202–207. [Google Scholar] [CrossRef]
- Chen, L.; Li, H.; Hui, S.W.; Wang, H.; Tang, S.; Cong, C.; Xie, H.; Li, L.; Xia, H.; Li, T.; et al. Oriented Graphene Nanoribbons Embedded in Hexagonal Boron Nitride Trenches. Nat. Commun. 2017, 8, 17954–17961. [Google Scholar] [CrossRef]
- Chen, L.; Wang, H.; Tang, S.; He, L.; Wang, H.S.; Wang, X.; Xie, H.; Wu, T.; Xia, H.; Li, T.; et al. Edge control of graphene domains grown on hexagonal boron nitride. Nanoscale 2017, 9, 11475–11479. [Google Scholar] [CrossRef]
- Slawinska, J.; Zasada, I.; Klusek, Z. Energy gap tuning in graphene on hexagonal boron nitride bilayer system. Phys. Rev. B Condens. Matter 2010, 81, 2149. [Google Scholar] [CrossRef]
- Modarresi, M.; Roknabadi, M.R.; Shahtahmasbi, N. Transport properties of an armchair boron-nitride nanoribbon embedded between two graphene electrodes. Phys. E Low Dimens. Syst. Nanostruct. 2011, 43, 1751–1754. [Google Scholar] [CrossRef]
- Jung, J.; Qiao, Z.; Niu, Q.; Macdonald, A.H. Transport properties of graphene nanoroads in boron nitride sheets. Nano Lett. 2012, 12, 2936–2940. [Google Scholar] [CrossRef] [PubMed][Green Version]
- Ding, Y.; Wang, Y.; Ni, J. Electronic properties of graphene nanoribbons embedded in boron nitride sheets. Appl. Phys. Lett. 2009, 95, 123105.1–123105.3. [Google Scholar] [CrossRef]
- Huang, B.; Lee, H.; Gu, B.L.; Liu, F.; Duan, W. Edge stability of boron nitride nanoribbons and its application in designing hybrid BNC structures. Nano Res. 2012, 5, 62–72. [Google Scholar] [CrossRef]
- Topsakal, M.; Aktuerk, E.; Ciraci, S. First-principles study of two- and one-dimensional honeycomb structures of boron nitride. Phys. Rev. B 2009, 79, 115442.1–115442.11. [Google Scholar] [CrossRef]
- Carlos, L.; Marcio, C.; Leonor, C.; Andrea, L. Interface effects in hybrid hBN-graphene nanoribbons. Sci. Rep. 2019, 9, 3508. [Google Scholar]






| 2.7 | 2.8 | 2.6 | 2.89 | 3.34 | −1.4 |
Publisher’s Note: MDPI stays neutral with regard to jurisdictional claims in published maps and institutional affiliations. |
© 2021 by the authors. Licensee MDPI, Basel, Switzerland. This article is an open access article distributed under the terms and conditions of the Creative Commons Attribution (CC BY) license (https://creativecommons.org/licenses/by/4.0/).
Share and Cite
Guan, J.; Xu, L. Energy Gaps in BN/GNRs Planar Heterostructure. Materials 2021, 14, 5079. https://doi.org/10.3390/ma14175079
Guan J, Xu L. Energy Gaps in BN/GNRs Planar Heterostructure. Materials. 2021; 14(17):5079. https://doi.org/10.3390/ma14175079
Chicago/Turabian StyleGuan, Jinyue, and Lei Xu. 2021. "Energy Gaps in BN/GNRs Planar Heterostructure" Materials 14, no. 17: 5079. https://doi.org/10.3390/ma14175079
APA StyleGuan, J., & Xu, L. (2021). Energy Gaps in BN/GNRs Planar Heterostructure. Materials, 14(17), 5079. https://doi.org/10.3390/ma14175079
