Improvement in the Quantification of Foreign Object Defects in Carbon Fiber Laminates Using Immersion Pulse-Echo Ultrasound
Abstract
1. Introduction
2. Materials and Methods
2.1. Foreign Object Fabrication
2.2. Laminate Fabricaton
2.3. Scanning Setup
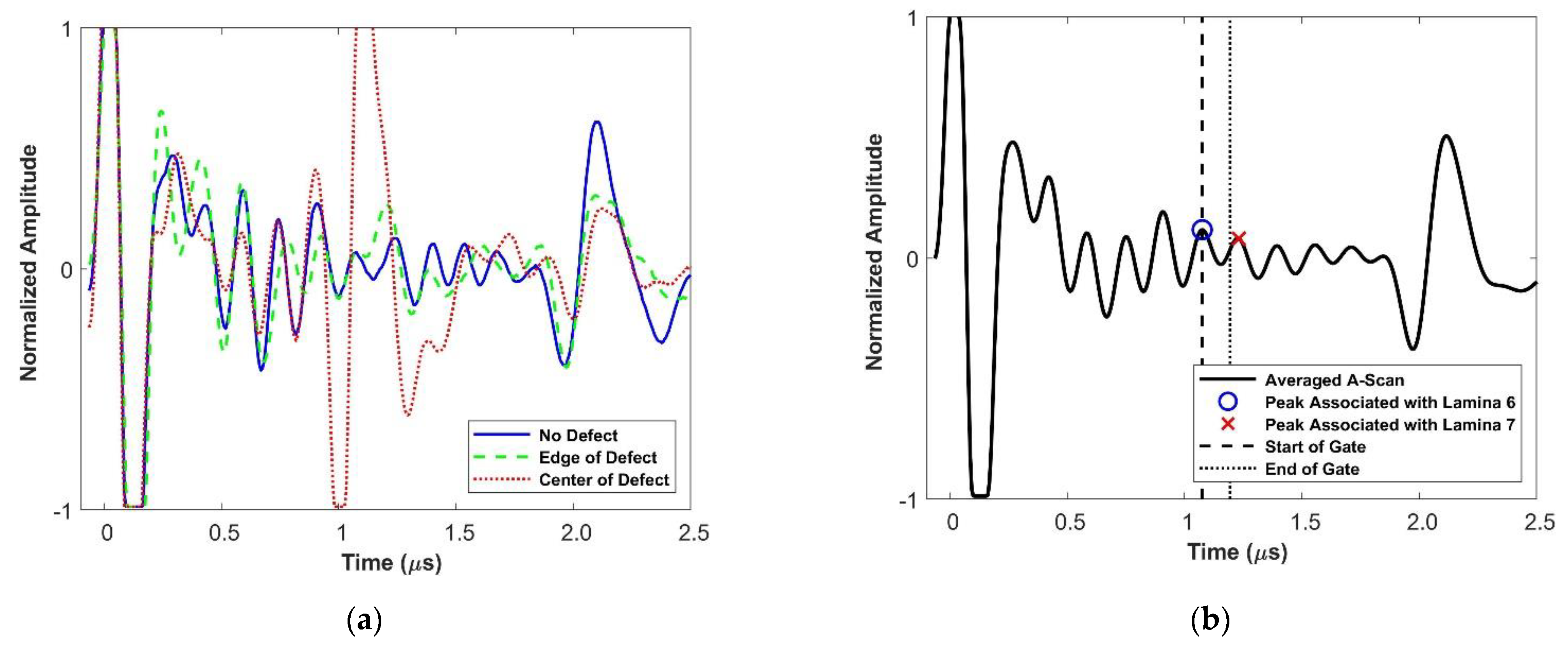
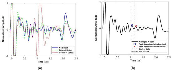
3. Results
3.1. A-Scan Preprocessing Methods
3.2. Enhancement of the Ultrasonic Data
3.3. Use of Gradient for Edge Detection
3.4. Sizing of Foreign Objects
4. Conclusions and Final Remarks
Author Contributions
Funding
Data Availability Statement
Acknowledgments
Conflicts of Interest
References
- Barbero, E.J. Introduction to Composite Materials Design, 3rd ed.; CRC Press: Boca Raton, FL, USA, 2018. [Google Scholar]
- Workman, G.L.; Kishoni, D.; Moore, P.O. Nondestructive Testing Handbook: Ultrasonic Testing, 3rd ed.; American Society of Nondestructive Testing: Columbus, OH, USA, 2007; ISBN 978-1-57117-105-4. [Google Scholar]
- Boeing: 787 By Design: By Design: Advanced Composite Use. Available online: https://www.boeing.com/commercial/787/by-design/#/advanced-composite-use (accessed on 5 December 2020).
- Wang, J.; Potter, K.; Hazra, K.; Wisnom, M. Experimental Fabrication and Characterization of Out-of-Plane Fiber Waviness in Continuous Fiber-Reinforced Composites. J. Compos. Mater. 2012, 46, 2041–2053. [Google Scholar] [CrossRef]
- Carraro, P.A.; Maragoni, L.; Quaresimin, M. Influence of Manufacturing Induced Defects on Damage Initiation and Propagation in Carbon/Epoxy NCF Laminates. Adv. Manuf. Polym. Compos. Sci. 2015, 1, 44–53. [Google Scholar] [CrossRef]
- Wang, P.; Lei, H.; Zhu, X.; Chen, H.; Wang, C.; Fang, D. Effect of Manufacturing Defect on Mechanical Performance of Plain Weave Carbon/Epoxy Composite Based on 3D Geometrical Reconstruction. Compos. Struct. 2018, 199, 38–52. [Google Scholar] [CrossRef]
- Non-Destructive Testing and Inspection Market Worth $12.6 Billion by 2024. Available online: https://www.ndt.net/search/docs.php3?id=24191 (accessed on 20 August 2020).
- Kostopoulos, V.; Psarras, S.; Loutas, T.; Sotiriadis, G.; Gray, I.; Padiyar, M.J.; Petrunin, I.; Raposo, J.; Fragonara, L.Z.; Tzitzilonis, V.; et al. Autonomous Inspection and Repair of Aircraft Composite Structures. IFAC-PapersOnLine 2018, 51, 554–557. [Google Scholar] [CrossRef]
- Amenabar, I.; Mendikute, A.; López-Arraiza, A.; Lizaranzu, M.; Aurrekoetxea, J. Comparison and Analysis of Non-Destructive Testing Techniques Suitable for Delamination Inspection in Wind Turbine Blades. Compos. Part B Eng. 2011, 42, 1298–1305. [Google Scholar] [CrossRef]
- Poudel, A.; Shrestha, S.S.; Sandhu, J.S.; Chu, T.P.; Pergantis, C.G. Comparison and Analysis of Acoustography with Other NDE Techniques for Foreign Object Inclusion Detection in Graphite Epoxy Composites. Compos. Part B Eng. 2015, 78, 86–94. [Google Scholar] [CrossRef]
- Marani, R.; Palumbo, D.; Renò, V.; Galietti, U.; Stella, E.; D’Orazio, T. Modeling and Classification of Defects in CFRP Laminates by Thermal Non-Destructive Testing. Compos. Part B Eng. 2018, 135, 129–141. [Google Scholar] [CrossRef]
- Wang, J.; Zhang, J.; Chang, T.; Cui, H.-L. A Comparative Study of Non-Destructive Evaluation of Glass Fiber Reinforced Polymer Composites Using Terahertz, X-ray, and Ultrasound Imaging. Int. J. Precis. Eng. Manuf. 2019, 20, 963–972. [Google Scholar] [CrossRef]
- Wang, J.; Zhang, J.; Chang, T.; Liu, L.; Cui, H.-L. Terahertz Nondestructive Imaging for Foreign Object Detection in Glass Fibre-Reinforced Polymer Composite Panels. Infrared Phys. Technol. 2019, 98, 36–44. [Google Scholar] [CrossRef]
- Benammar, A.; Drai, R.; Guessoum, A. Detection of Delamination Defects in CFRP Materials Using Ultrasonic Signal Processing. Ultrasonics 2008, 48, 731–738. [Google Scholar] [CrossRef]
- Poudel, A.; Li, S.; Chu, T.P.; Palmer, D.; Engelbart, R.W. Neural-Fuzzy Approach in Detecting and Classifying Foreign Object Inclusions in CFRP Panel by Using Ultrasonic Testing.
- Hasiotis, T.; Badogiannis, E.; Tsouvalis, N.G. Application of Ultrasonic C-Scan Techniques for Tracing Defects in Laminated Composite Materials. SV-JME 2011, 2011, 192–203. [Google Scholar] [CrossRef]
- Li, S.; Poudel, A.; Chu, T.P. An Image Enhancement Technique for Ultrasonic NDE of CFRP Panels. In Proceedings of the ASNT Research Symposium & Spring Conference, Dallas, TX, USA, 19–22 March 2012; p. 7. [Google Scholar]
- Wronkowicz-Katunin, A.; Mihaylov, G.; Dragan, K.; Timofiejczuk, A. Uncertainty Estimation for Ultrasonic Inspection of Composite Aerial Structures. J. Nondestruct. Eval. 2019, 38, 82. [Google Scholar] [CrossRef]
- Poudel, A.; Kanneganti, R.; Li, S.; Gupta, L.; Chu, T.P. Classification of Ultrasonic Echo Signals to Detect Embedded Defects in Carbon Fibre Reinforced Plastic Laminates. Int. J. Microstruct. Mater. Prop. 2015, 10, 216. [Google Scholar] [CrossRef]
- Barry, T.; Kesharaju, M.; Nagarajah, C.; Palanisamy, S. Defect Characterisation in Laminar Composite Structures Using Ultrasonic Techniques and Artificial Neural Networks. J. Compos. Mater. 2016, 50, 861–871. [Google Scholar] [CrossRef]
- Mohammadkhani, R.; Zanotti Fragonara, L.; Padiyar, M.J.; Petrunin, I.; Raposo, J.; Tsourdos, A.; Gray, I. Improving Depth Resolution of Ultrasonic Phased Array Imaging to Inspect Aerospace Composite Structures. Sensors 2020, 20, 559. [Google Scholar] [CrossRef] [PubMed]
- Ma, M.; Cao, H.; Jiang, M.; Sun, L.; Zhang, L.; Zhang, F.; Sui, Q.; Tian, A.; Liang, J.; Jia, L. High Precision Detection Method for Delamination Defects in Carbon Fiber Composite Laminates Based on Ultrasonic Technique and Signal Correlation Algorithm. Materials 2020, 13, 3840. [Google Scholar] [CrossRef] [PubMed]
- Basics of Dimension Inspection. Learn About Machine Vision. Machine Vision Basics. Available online: https://www.keyence.com/ss/products/vision/visionbasics/basic/size/ (accessed on 6 January 2021).
- Schmerr, L.W., Jr. Fundamentals of Ultrasonic Nondestructive Evaluation, 2nd ed.; Springer Science+Business Media: New York, NY, USA, 2016; ISBN 978-3-319-30461-8. [Google Scholar]
- O’Brien, W.D. Single-Element Transducers. Radio Graph. 1993, 13, 947–957. [Google Scholar] [CrossRef]
- Kachanov, V.K.; Kartashev, V.G.; Popko, V.P. Application of Signal Processing Methods to Ultrasonic Non-Destructive Testing of Articles with High Structural Noise. Nondestruct. Test. Eval. 2001, 17, 15–40. [Google Scholar] [CrossRef]
- Nelson, L.J.; Smith, R.A.; Mienczakowski, M. Ply-Orientation Measurements in Composites Using Structure-Tensor Analysis of Volumetric Ultrasonic Data. Compos. Part A Appl. Sci. Manuf. 2018, 104, 108–119. [Google Scholar] [CrossRef]
- Blandford, B.M.; Jack, D.A. High Resolution Depth and Area Measurements of Low Velocity Impact Damage in Carbon Fiber Laminates via an Ultrasonic Technique. Compos. Part B Eng. 2020, 188, 107843. [Google Scholar] [CrossRef]
- Weisstein, E.W. Normal Distribution. Available online: https://mathworld.wolfram.com/NormalDistribution.html (accessed on 16 February 2021).
- 1-D Interpolation (FFT Method)—MATLAB Interpft. Available online: https://www.mathworks.com/help/matlab/ref/interpft.html (accessed on 8 January 2021).
- Fraser, D. Interpolation by the FFT Revisited-an Experimental Investigation. IEEE Trans. Acoust. Speech Signal Process. 1989, 37, 665–675. [Google Scholar] [CrossRef]
- Mlsna, P.A.; Rodríguez, J.J. Gradient and Laplacian Edge Detection. In The Essential Guide to Image Processing; Academic Press: Cambridge, MA, USA, 2009. [Google Scholar]
- Chapra, S.C. Applied Numerical Methods with MATLAB for Engineers and Scientists, 3rd ed.; McGraw-Hill: New York, NY, USA, 2012; ISBN 978-0-07-340110-2. [Google Scholar]
- Zhao, J.; Gaydecki, P.A.; Burdekin, F.M. Investigation of Block Filtering and Deconvolution for the Improvement of Lateral Resolution and Flaw Sizing Accuracy in Ultrasonic Testing. Ultrasonics 1995, 33, 187–194. [Google Scholar] [CrossRef]
- Halmshaw, R. Introduction to the Non-Destructive Testing of Welded Joints, 2nd ed.; Abington: Cambridge, UK, 1996; ISBN 978-1-85573-314-5. [Google Scholar]
- Felice, M.V.; Fan, Z. Sizing of Flaws Using Ultrasonic Bulk Wave Testing: A Review. Ultrasonics 2018, 88, 26–42. [Google Scholar] [CrossRef]











| Foreign Object | Magnification | Diameter (mm) | AREA (mm2) |
|---|---|---|---|
| A1 | 12 | 12.67 | 126.08 |
| A2 | 12 | 12.55 | 123.70 |
| A3 | 12 | 12.55 | 123.70 |
| B1 | 25 | 6.08 | 29.03 |
| B2 | 25 | 6.18 | 30.00 |
| B3 | 25 | 6.10 | 29.22 |
| C1 | 50 | 3.10 | 7.55 |
| C2 | 50 | 3.13 | 7.69 |
| C3 | 50 | 3.09 | 7.50 |
| D1 | 120 | 1.52 | 1.81 |
| D2 | 120 | 1.61 | 2.04 |
| D3 | 120 | 1.52 | 1.81 |
| Filtering Technique | Traced Area (mm2) | Absolute Error (%) | Effective Diameter (mm) | Absolute Difference (mm) | Absolute Difference (in) |
|---|---|---|---|---|---|
| None | 35.24 | 17 | 6.70 | 0.52 | 0.020 |
| Gaussian Only | 35.22 | 17 | 6.70 | 0.52 | 0.020 |
| Interpolation Only | 34.46 | 15 | 6.62 | 0.44 | 0.017 |
| Both Filters | 32.21 | 7 | 6.40 | 0.22 | 0.009 |
| Foreign Object | Traced Area (mm2) | Absolute Error (%) | Equivalent Diameter (mm) | Absolute Difference (mm) | Absolute Difference (in) |
|---|---|---|---|---|---|
| A1 | 132.51 | 5.1 | 12.99 | 0.32 | 0.013 |
| A2 | 127.75 | 3.3 | 12.75 | 0.20 | 0.008 |
| A3 | 124.73 | 0.8 | 12.60 | 0.05 | 0.002 |
| B1 | 30.81 | 6.1 | 6.26 | 0.18 | 0.007 |
| B2 | 30.49 | 1.6 | 6.23 | 0.05 | 0.002 |
| B3 | 28.43 | 2.7 | 6.02 | 0.08 | 0.003 |
| C1 | 8.41 | 11.5 | 3.27 | 0.17 | 0.007 |
| C2 | 7.78 | 1.2 | 3.15 | 0.02 | 0.001 |
| C3 | 7.53 | 0.4 | 3.10 | 0.01 | 0.000 |
| D1 | 1.82 | 0.1 | 1.52 | 0.00 | 0.000 |
| D2 | 1.87 | 8.1 | 1.54 | 0.07 | 0.003 |
| D3 | 1.48 | 18.5 | 1.37 | 0.15 | 0.006 |
| Average | - | 4.9 | - | 0.11 | 0.004 |
| Laminar Interface | Average Absolute Difference of Diameter (mm) | Average Absolute Difference of Diameter (in) |
|---|---|---|
| 3|4 | 0.17 | 0.007 |
| 6|7 | 0.08 | 0.003 |
| 9|10 | 0.07 | 0.003 |
| Method | Absolute Difference of Characteristic Length (mm) | Expected Average Error Percentage 6 mm Diameter Inclusion (%) |
|---|---|---|
| 6 dB drop with Filtering | = 0.22 | 7 |
| Wavelet Algorithm [21] | = 0.52 † | 17 |
| Signal Correlation [22] | = 0.29 †† | 9 |
| MGT | = 0.10 | 3 * |
Publisher’s Note: MDPI stays neutral with regard to jurisdictional claims in published maps and institutional affiliations. |
© 2021 by the authors. Licensee MDPI, Basel, Switzerland. This article is an open access article distributed under the terms and conditions of the Creative Commons Attribution (CC BY) license (https://creativecommons.org/licenses/by/4.0/).
Share and Cite
Blackman, N.J.; Jack, D.A.; Blandford, B.M. Improvement in the Quantification of Foreign Object Defects in Carbon Fiber Laminates Using Immersion Pulse-Echo Ultrasound. Materials 2021, 14, 2919. https://doi.org/10.3390/ma14112919
Blackman NJ, Jack DA, Blandford BM. Improvement in the Quantification of Foreign Object Defects in Carbon Fiber Laminates Using Immersion Pulse-Echo Ultrasound. Materials. 2021; 14(11):2919. https://doi.org/10.3390/ma14112919
Chicago/Turabian StyleBlackman, Nathaniel J., David A. Jack, and Benjamin M. Blandford. 2021. "Improvement in the Quantification of Foreign Object Defects in Carbon Fiber Laminates Using Immersion Pulse-Echo Ultrasound" Materials 14, no. 11: 2919. https://doi.org/10.3390/ma14112919
APA StyleBlackman, N. J., Jack, D. A., & Blandford, B. M. (2021). Improvement in the Quantification of Foreign Object Defects in Carbon Fiber Laminates Using Immersion Pulse-Echo Ultrasound. Materials, 14(11), 2919. https://doi.org/10.3390/ma14112919

