A Comparison among Different Ways to Investigate Composite Materials with Lock-In Thermography: The Multi-Frequency Approach
Abstract
1. Introduction
2. Theory
3. Materials and Experimental Set-Up
4. Experimental Campaign and Methodology
5. Results
5.1. Preliminary Considerations
5.2. Phase Results
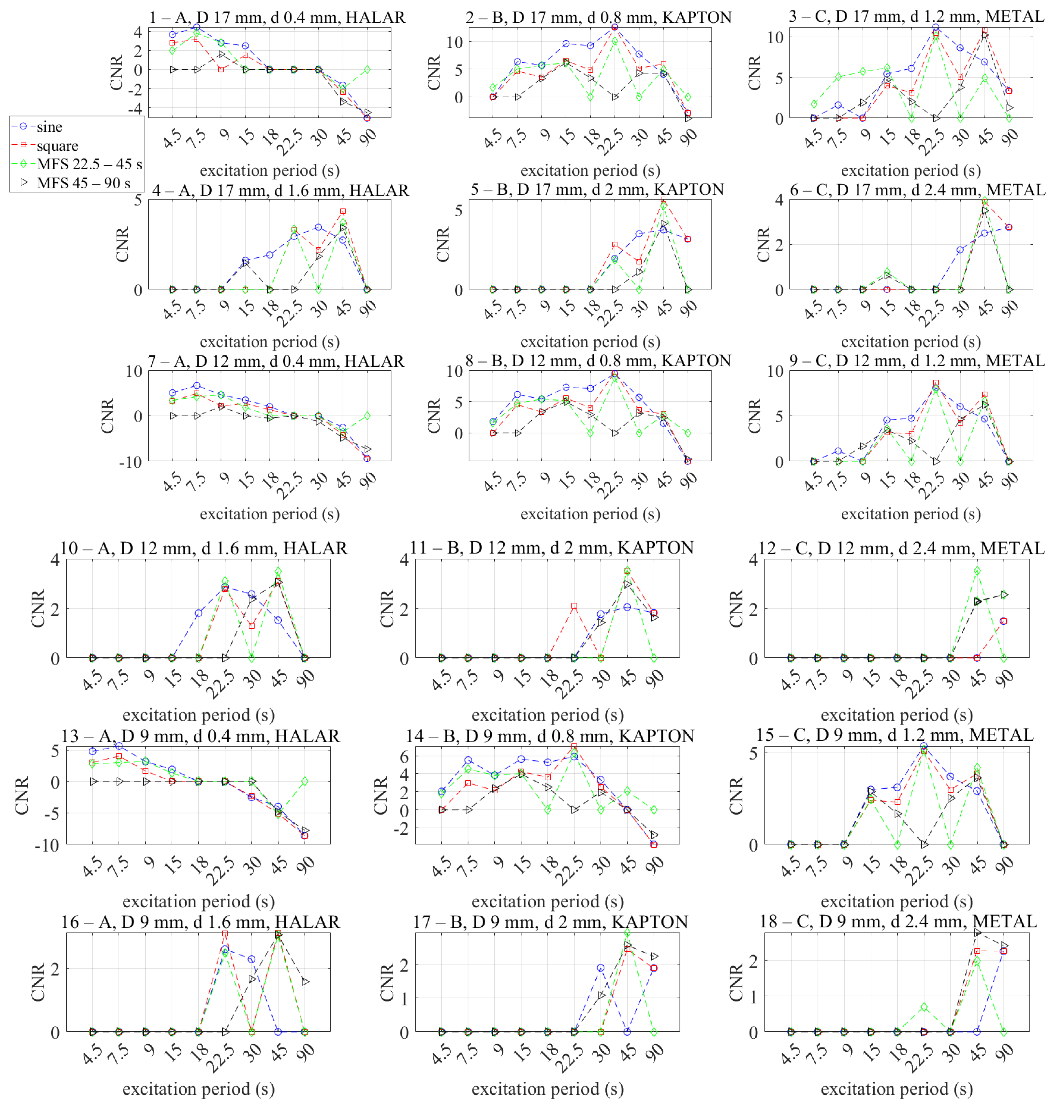
6. Quantitative Analysis and Discussion
6.1. Advantages and Disadvantages of the MFS Approach
6.2. Comparing the Two Different Pairs of Main Excitation Periods 22.5–45 s, 45–90 s in the MFS Approach
6.3. Comparing the Obtained Results in Terms of Excitation Period and Waveforms Defect by Defect
7. Conclusions and Future Works
- -
- The MFS approach allows for investigating six phase maps from a single test with respect to the traditional approaches, sine (one phase map) and square (three phase maps) waves. In turn, it results in a reduced testing time for screening and analysis of several components or large structures.
- -
- Considering the phase data of the main (first) harmonic, the MFS approach provides comparable results in terms of CNR and the number of detected defects in comparison with the traditional approaches.
- -
- CNR values obtained with the MFS decrease as the order of harmonic increases due to a high level of noise of the phase data. Differences with respect to the sine and square approaches begin to be significant, above all, for the fifth harmonic. In this regard, a reduced capability in detecting the smaller and deeper defects has been observed.
Author Contributions
Funding
Institutional Review Board Statement
Informed Consent Statement
Data Availability Statement
Conflicts of Interest
References
- Maldague, X.P. Nondestructive Evaluation of Materials by Infrared Thermography; Springer Science & Business Media: Berlin/Heidelberg, Germany, 2012. [Google Scholar]
- Maierhofer, C.; Myrach, P.; Krankenhagen, R.; Röllig, M.; Steinfurth, H. Detection and characterization of defects in isotropic and anisotropic structures using lockin thermography. J. Imaging 2015, 1, 220–248. [Google Scholar] [CrossRef]
- Maierhofer, C.; Röllig, M.; Krankenhagen, R.; Myrach, P. Comparison of quantitative defect characterization using pulse-phase and lock-in thermography. Appl. Opt. 2016, 55, D76–D86. [Google Scholar] [CrossRef] [PubMed]
- Palumbo, D.; Galietti, U. Damage investigation in composite materials by means of new thermal data processing procedures. Strain 2016, 52, 276–285. [Google Scholar] [CrossRef]
- Pitarresi, G. Thermal NDE of thick GRFP panels by means of a pulse modulated lock-in thermography technique. In Proceedings of the 14th International Conference on Experimental Mechanics, ICEM 2014, Poitiers, France, 4–9 July 2010. [Google Scholar]
- Pitarresi, G. Lock-in signal post-processing techniques in infra-red thermography for materials structural evaluation. Exp. Mech. 2015, 55, 667–680. [Google Scholar] [CrossRef]
- Montanini, R. Quantitative determination of subsurface defects in a reference specimen made of Plexiglas by means of lock-in and pulse phase infrared thermography. Infrared Phys. Technol. 2010, 53, 363–371. [Google Scholar] [CrossRef]
- Mulaveesala, R.; Tuli, S. Theory of frequency modulated thermal wave imaging for nondestructive subsurface defect detection. Appl. Phys. Lett. 2006, 89, 191913. [Google Scholar] [CrossRef]
- Meola, C.; Carlomagno, G.M.; Squillace, A.; Giorleo, G. Non-destructive control of industrial materials by means of lock-in thermography. Meas. Sci. Technol. 2002, 10, 1583–1590. [Google Scholar] [CrossRef]
- Pickering, S.; Almond, D. Matched excitation energy comparison of the pulse and lock-in thermography NDE techniques. NDT E Int. 2008, 41, 501–509. [Google Scholar] [CrossRef]
- Chatterjee, K.; Tuli, S.; Pickering, S.G.; Almond, D.P. A comparison of the pulsed, lock-in and frequency modulated thermography nondestructive evaluation techniques. NDT E Int. 2011, 44, 655–667. [Google Scholar] [CrossRef]
- Ibarra-Castanedo, C.; Piau, J.-M.; Guilbert, S.; Avdelidis, N.P.; Genest, M.; Bendada, A.; Maldague, X.P.V. Comparative study of active thermography techniques for the nondestructive evaluation of honeycomb structures. RNDE 2009, 20, 1–31. [Google Scholar] [CrossRef]
- Palumbo, D. On the thickness quantification of composite materials by using lock-in thermography. Materials 2019, 12, 1185. [Google Scholar] [CrossRef] [PubMed]
- D’Accardi, E.; Palumbo, D.; Galietti, U. A comparison among different way to perform the lock-in multi-frequency test in a in a CFRP composite sample. In Proceedings of the 15th Quantitative InfraRed Thermography Conference, Porto, Portugal, 6–10 July 2020. [Google Scholar] [CrossRef]
- Palumbo, D.; Tamborrino, R.; Galietti, U.; Aversa, P.; Tati, A.; Luprano, V.A.M. Ultrasonic analysis and lock-in thermography for debonding evaluation of composite adhesive joints. NDT E Int. 2015, 78, 1–9. [Google Scholar] [CrossRef]
- D’Accardi, E.; Palano, F.; Tamborrino, R.; Palumbo, D.; Tatì, A.; Terzi, R.; Galietti, U. Pulsed phase thermography approach for the characterization of delaminations in cfrp and comparison to phased array ultrasonic testing. J. Nondestruct. Eval. 2019, 38, 20. [Google Scholar] [CrossRef]
- Müller, J.P.; Dell’Avvocato, G.; Krankenhagen, R. Assessing overload-induced delaminations in glass fiber reinforced polymers by its geometry and thermal resistance. NDT E Int. 2020, 116, 102309. [Google Scholar] [CrossRef]
- Usamentiaga, R.; Venegas, P.; Guerediaga, J.; Vega, L.; Lòpez, I. Feature extraction and analysis for automatic characterization of impact damage in carbon fiber composites using active thermography. NDT E Int. 2013, 54, 123–132. [Google Scholar] [CrossRef]
- Ibarra-Castanedo, C. Quantitative Subsurface Defect Evaluation by Pulsed Phase Thermography: Depth Retrieval with the Phase. Ph.D. Thesis, Université Laval, Québec, QC, Canada, 2005. [Google Scholar]




















| Material | Defect Depth (Starting from the Inspected Side) | Defect Diameter (Starting from the First Row in Figure 1) | |||
|---|---|---|---|---|---|
| Release Film (mm) | Flashbreaker Tape (mm) | ||||
| A–HALAR | 0.4 mm 23 Pl. | 1.6 mm 17 Pl. | 2.8 mm 11 Pl. | 3 | 5 |
| B–KAPTON | 0.8 mm 21 Pl. | 2 mm 15 Pl. | 3.2 mm 9 Pl. | 7 | 9 |
| C–METAL | 1.2 mm 19 Pl. | 2.4 mm 13 Pl. | 3.6 mm 7 Pl. | 9 | 12 |
| 15 | 17 | ||||
| Waveforms | Excitation Periods (s) | Acquisition Duration (s) | Frame Rate (Hz) | Number of Cycles | % Power | Excitation Periods (s—after the Test, Available for the Analyses) |
|---|---|---|---|---|---|---|
| Multi-frequency software (MFS) | 22.5–45 | 135 | 5 Hz | 6–3 | Figure 3a | 4.5, 7.5, 9, 15, 22.5, 45 |
| 45–90 | 270 | 9, 15, 18, 30, 45, 90 | ||||
| Sine | 4.5 | 135 | 5 Hz | 30 | 50 | 4.5 |
| 7.5 | 135 | 18 | 7.5 | |||
| 9 | 270 | 30 | 9 | |||
| 15 | 270 | 18 | 15 | |||
| 18 | 270 | 15 | 18 | |||
| 22.5 | 135 | 6 | 22.5 | |||
| 30 | 270 | 9 | 30 | |||
| 45 | 270 | 6 | 45 | |||
| 90 | 270 | 3 | 90 | |||
| Square | 22.5 | 135 | 5 Hz | 6 | 50 | 4.5, 7.5, 22.5 |
| 45 | 270 | 6 | 9, 15, 45 | |||
| 90 | 270 | 3 | 18, 30, 90 |
| Thermal Diffusivity CFRP α (mm2/s) | 0.42 | ||||||||
| Depth (mm) | 3.6 | 3.2 | 2.8 | 2.4 | 2.0 | 1.6 | 1.2 | 0.8 | 0.4 |
| Period (s) | 96.9 | 76.6 | 58.6 | 43.1 | 29.9 | 19.1 | 10.8 | 4.8 | 1.2 |
| Waveforms | Excitation Periods (s) | Frame Rate (Hz) | Number of Cycles | % Power | Harmonic Order |
|---|---|---|---|---|---|
| Multi-frequency software (MFS) Sine Square | 22.5 | 5 Hz | 3 | Figure 3 50% for each modulation frequency (period of excitation) | 1st |
| 45 | 1st | ||||
| 90 | 1st | ||||
| 4.5 | 5th (22.5 s) | ||||
| 7.5 | 3rd (22.5 s) | ||||
| 9 | 5th (45 s) | ||||
| 15 | 3rd (45 s) | ||||
| 18 | 5th (90 s) | ||||
| 30 | 3rd (90 s) |
| Sine 22.5 s | Square 22.5 s | Multi-Frequency 22.5 s (22.5–45 s) | ||||||||||
|---|---|---|---|---|---|---|---|---|---|---|---|---|
| Defect | R* | R** | R*** | Probability | R* | R** | R*** | Probability | R* | R** | R*** | Probability |
| 1-A | 0 | 0 | 0 | 0 | 0 | 0 | 0 | 0 | 0 | 0 | 0 | 0 |
| 2-B | 1 | 1 | 1 | 1 | 1 | 1 | 1 | 1 | 1 | 1 | 1 | 1 |
| 3-C | 1 | 1 | 1 | 1 | 1 | 1 | 1 | 1 | 1 | 1 | 1 | 1 |
| 4-A | 1 | 1 | 1 | 1 | 1 | 1 | 1 | 1 | 1 | 1 | 1 | 1 |
| 5-B | 0 | 0 | 1 | 1/3 | 1 | 1 | 1 | 1 | 0 | 0 | 1 | 1/3 |
| 6-C | 0 | 0 | 0 | 0 | 0 | 0 | 0 | 0 | 0 | 0 | 0 | 0 |
| 7-A | 0 | 0 | 0 | 0 | 0 | 0 | 0 | 0 | 0 | 0 | 0 | 0 |
| 8-B | 1 | 1 | 1 | 1 | 1 | 1 | 1 | 1 | 1 | 1 | 1 | 1 |
| 9-C | 1 | 1 | 1 | 1 | 1 | 1 | 1 | 1 | 1 | 1 | 1 | 1 |
| 10-A | 1 | 1 | 1 | 1 | 1 | 1 | 1 | 1 | 1 | 1 | 1 | 1 |
| 11-B | 0 | 0 | 0 | 0 | 0 | 1 | 1 | 2/3 | 0 | 0 | 0 | 0 |
| 12-C | 0 | 0 | 0 | 0 | 0 | 0 | 0 | 0 | 0 | 0 | 0 | 0 |
| 13-A | 0 | 0 | 0 | 0 | 0 | 0 | 0 | 0 | 0 | 0 | 0 | 0 |
| 14-B | 1 | 1 | 1 | 1 | 1 | 1 | 1 | 1 | 1 | 1 | 1 | 1 |
| 15-C | 1 | 1 | 1 | 1 | 1 | 1 | 1 | 1 | 1 | 1 | 1 | 1 |
| 16-A | 1 | 1 | 1 | 1 | 1 | 1 | 1 | 1 | 1 | 1 | 1 | 1 |
| 17-B | 0 | 0 | 0 | 0 | 0 | 0 | 0 | 0 | 0 | 0 | 0 | 0 |
| 18-C | 0 | 0 | 0 | 0 | 0 | 0 | 0 | 0 | 0 | 0 | 1 | 1/3 |
| 19-A | 0 | 0 | 0 | 0 | 0 | 0 | 0 | 0 | 0 | 0 | 0 | 0 |
| 20-B | 1 | 1 | 1 | 1 | 1 | 1 | 1 | 1 | 0 | 1 | 0 | 1/3 |
| 21-C | 1 | 1 | 1 | 1 | 1 | 1 | 1 | 1 | 1 | 1 | 1 | 1 |
| 22-A | 0 | 0 | 0 | 0 | 0 | 0 | 0 | 0 | 0 | 0 | 0 | 0 |
| 23-B | 0 | 0 | 0 | 0 | 0 | 0 | 0 | 0 | 0 | 0 | 0 | 0 |
| 24-C | 0 | 0 | 0 | 0 | 0 | 0 | 0 | 0 | 0 | 0 | 0 | 0 |
| NUM. TOT. | 11 | 11 | 12 | 12 | 12 | 13 | 13 | 13 | 10 | 11 | 12 | 12 |
| Defect Identification and Dimensions (mm) | Excitation Period (s) | ||||||||||||||||||||
|---|---|---|---|---|---|---|---|---|---|---|---|---|---|---|---|---|---|---|---|---|---|
| D. EX. | d. | Material | Sine 4.5 s | Square 4.5 s (22.5 s)—5th | MFS 4.5 s (22.5–45 s)—5th | Sine 7.5 s | Square 7.5 s (22.5 s)—3rd | MFS 7.5 s (22.5–45 s)—3rd | Sine 22.5 s | Square 22.5 s | MFS 22.5 s (22.5–45 s) | ||||||||||
| P | CNR (m. v.) | P | CNR (m. v.) | P | CNR (m. v.) | P | CNR (m. v.) | P | CNR (m. v.) | P | CNR (m. v.) | P | CNR (m. v.) | P | CNR (m. v.) | P | CNR (m. v.) | ||||
| 1-A | 17 | 0.4 | HALAR | 1 | 3.66 | 1 | 2.80 | 1/3 | 1.96 | 1 | 4.45 | 1 | 3.18 | 1 | 3.82 | ||||||
| 2-B | 17 | 0.8 | KAPTON | 1/3 | 1.71 | 1 | 6.39 | 1 | 4.66 | 1 | 5.05 | 1 | 12.64 | 1 | 12.55 | 1 | 10.09 | ||||
| 3-C | 17 | 1.2 | METAL | 1/3 | 1.61 | 1/3 | 1.30 | 1 | 11.18 | 1 | 10.38 | 1 | 11.43 | ||||||||
| 4-A | 17 | 1.6 | HALAR | 1 | 2.92 | 1 | 3.29 | 1 | 3.33 | ||||||||||||
| 5-B | 17 | 2 | KAPTON | 1/3 | 1.95 | 1 | 2.82 | 1/3 | 1.86 | ||||||||||||
| 6-C | 17 | 2.4 | METAL | ||||||||||||||||||
| 7-A | 12 | 0.4 | HALAR | 1 | 5.07 | 1 | 3.27 | 1 | 3.37 | 1 | 6.66 | 1 | 4.92 | 1 | 4.21 | ||||||
| 8-B | 12 | 0.8 | KAPTON | 2/3 | 1.81 | 1/3 | 1.61 | 1 | 6.14 | 1 | 4.51 | 1 | 4.69 | 1 | 9.45 | 1 | 9.69 | 1 | 8.83 | ||
| 9-C | 12 | 1.2 | METAL | 1/3 | 1.14 | 1 | 8.08 | 1 | 8.67 | 1 | 7.97 | ||||||||||
| 10-A | 12 | 1.6 | HALAR | 1 | 2.86 | 1 | 2.77 | 1 | 3.10 | ||||||||||||
| 11-B | 12 | 2 | KAPTON | 2/3 | 2.09 | ||||||||||||||||
| 12-C | 12 | 2.4 | METAL | ||||||||||||||||||
| 13-A | 9 | 0.4 | HALAR | 1 | 4.81 | 1 | 3.02 | 2/3 | 2.79 | 1 | 5.65 | 1 | 4.05 | 1 | 3.01 | ||||||
| 14-B | 9 | 0.8 | KAPTON | 2/3 | 2.05 | 1/3 | 1.77 | 1 | 5.52 | 1 | 2.98 | 1 | 4.51 | 1 | 5.91 | 1 | 7.09 | 1 | 6.31 | ||
| 15-C | 9 | 1.2 | METAL | 1 | 5.34 | 1 | 5.07 | 1 | 5.13 | ||||||||||||
| 16-A | 9 | 1.6 | HALAR | 1 | 2.61 | 1 | 3.10 | 1 | 2.48 | ||||||||||||
| 17-B | 9 | 2 | KAPTON | ||||||||||||||||||
| 18-C | 9 | 2.4 | METAL | 1/3 | 0.7 | ||||||||||||||||
| 19-A | 5 | 0.4 | HALAR | 1 | 2.40 | 1 | 2.72 | 2/3 | 2.12 | ||||||||||||
| 20-B | 5 | 0.8 | KAPTON | 1/3 | 1.79 | 1/3 | 1.50 | 1/3 | 1.76 | 1 | 2.72 | 1 | 2.77 | 1/3 | 2.01 | ||||||
| 21-C | 5 | 1.2 | METAL | 1 | 2.67 | 1 | 2.71 | 1 | 2.96 | ||||||||||||
| 22-A | 5 | 1.6 | HALAR | ||||||||||||||||||
| 23-B | 5 | 2 | KAPTON | ||||||||||||||||||
| 24-C | 5 | 2.4 | METAL | ||||||||||||||||||
| NUM. TOT. | 6 | 3 | 6 | 10 | 7 | 8 | 12 | 13 | 12 | ||||||||||||
| D. EX. | d. | MATERIAL | SINE 9 s | SQUARE 9 s (45 s)—5th | MFS 9 s (22.5–45 s)—5th | SINE 15 s | SQUARE 15 s (45 s)—3rd | MFS 15 s (22.5–45 s)—3rd | SINE 45 s | SQUARE 45 s | MFS 45 s (22.5–45 s) | ||||||||||
| P | CNR (m. v.) | P | CNR (m. v.) | P | CNR (m. v.) | P | CNR (m. v.) | P | CNR (m. v.) | P | CNR (m. v.) | P | CNR (m. v.) | P | CNR (m. v.) | P | CNR (m. v.) | ||||
| 1-A | 17 | 0.4 | HALAR | 1 | 2.81 | 2/3 | 1.92 | 1 | 2.47 | 1/3 | 1.51 | 1/3 | −1.63 | 2/3 | −2.35 | 2/3 | −2.01 | ||||
| 2-B | 17 | 0.8 | KAPTON | 1 | 5.71 | 1 | 3.57 | 2/3 | 2.55 | 1 | 9.64 | 1 | 6.55 | 1 | 6.15 | 1 | 4.10 | 1 | 5.96 | 1 | 4.92 |
| 3-C | 17 | 1.2 | METAL | 2/3 | 1.79 | 1 | 5.44 | 1 | 4.01 | 1 | 4.11 | 1 | 6.90 | 1 | 10.77 | 1 | 8.85 | ||||
| 4-A | 17 | 1.6 | HALAR | 1/3 | 1.61 | 1 | 2.73 | 1 | 4.32 | 1 | 3.69 | ||||||||||
| 5-B | 17 | 2 | KAPTON | 1 | 3.75 | 1 | 5.69 | 1 | 5.26 | ||||||||||||
| 6-C | 17 | 2.4 | METAL | 1/3 | 0.77 | 1 | 2.49 | 1 | 3.88 | 1 | 3.93 | ||||||||||
| 7-A | 12 | 0.4 | HALAR | 1 | 4.61 | 2/3 | 2.16 | 1 | 3.47 | 1 | 2.72 | 1/3 | 1.82 | 2/3 | −2.53 | 1 | −4.17 | 1 | −3.56 | ||
| 8-B | 12 | 0.8 | KAPTON | 1 | 5.41 | 1 | 3.33 | 1 | 3.16 | 1 | 7.29 | 1 | 5.55 | 1 | 5.13 | 1/3 | 1.54 | 1 | 3.00 | 1 | 2.83 |
| 9-C | 12 | 1.2 | METAL | 1/3 | 1.06 | 1 | 4.54 | 1 | 3.16 | 1 | 3.58 | 1 | 4.66 | 1 | 7.34 | 1 | 6.64 | ||||
| 10-A | 12 | 1.6 | HALAR | 1/3 | 1.52 | 1 | 3.10 | 1 | 3.50 | ||||||||||||
| 11-B | 12 | 2 | KAPTON | 2/3 | 2.05 | 1 | 3.52 | 1 | 3.53 | ||||||||||||
| 12-C | 12 | 2.4 | METAL | 1 | 2.26 | ||||||||||||||||
| 13-A | 9 | 0.4 | HALAR | 1 | 3.18 | 1/3 | 1.66 | 1/3 | 1.92 | 1/3 | 1.34 | 1 | −3.97 | 1 | −5.07 | 1 | −5.26 | ||||
| 14-B | 9 | 0.8 | KAPTON | 1 | 3.83 | 2/3 | 2.14 | 1 | 2.68 | 1 | 5.63 | 1 | 4.23 | 1 | 4.02 | 1/3 | 2.10 | ||||
| 15-C | 9 | 1.2 | METAL | 1 | 2.98 | 2/3 | 2.39 | 2/3 | 2.43 | 1 | 2.90 | 1 | 3.83 | 1 | 4.16 | ||||||
| 16-A | 9 | 1.6 | HALAR | 1 | 3.13 | 1 | 3.05 | ||||||||||||||
| 17-B | 9 | 2 | KAPTON | 2/3 | 2.45 | 1 | 2.94 | ||||||||||||||
| 18-C | 9 | 2.4 | METAL | 2/3 | 2.27 | 1/3 | 1.99 | ||||||||||||||
| 19-A | 5 | 0.4 | HALAR | 1/3 | 1.71 | 1 | −3.00 | 1 | −3.53 | 1 | −3.80 | ||||||||||
| 20-B | 5 | 0.8 | KAPTON | 2/3 | 1.99 | 1/3 | 1.45 | ||||||||||||||
| 21-C | 5 | 1.2 | METAL | 1/3 | 1.33 | 2/3 | 2.16 | 1 | 2.67 | ||||||||||||
| 22-A | 5 | 1.6 | HALAR | ||||||||||||||||||
| 23-B | 5 | 2 | KAPTON | ||||||||||||||||||
| 24-C | 5 | 2.4 | METAL | 1/3 | 1.49 | ||||||||||||||||
| NUM. TOT. | 7 | 5 | 6 | 11 | 8 | 11 | 14 | 18 | 21 | ||||||||||||
| D. EX. | d. | MATERIAL | SINE 9 s | SQUARE 9 s (45 s)—5th | MFS 9 s (45–90 s)—5th | SINE 15 s | SQUARE 15 s (45 s)—3rd | MFS 15 (45–90 s)—3rd | SINE 45 s | SQUARE 45 s | MFS 45 s (45–90 s) | ||||||||||
| P | CNR (m. v.) | P | CNR (m. v.) | P | CNR (m. v.) | P | CNR (m. v.) | P | CNR (m. v.) | P | CNR (m. v.) | P | CNR (m. v.) | P | CNR (m. v.) | P | CNR (m. v.) | ||||
| 1-A | 17 | 0.4 | HALAR | 1 | 2.81 | 1/3 | 1.59 | 1 | 2.47 | 1/3 | 1.51 | 1/3 | −1.63 | 2/3 | −2.35 | 1 | −3.33 | ||||
| 2-B | 17 | 0.8 | KAPTON | 1 | 5.71 | 1 | 3.57 | 1 | 3.36 | 1 | 9.64 | 1 | 6.55 | 1 | 6.18 | 1 | 4.10 | 1 | 5.96 | 1 | 4.29 |
| 3-C | 17 | 1.2 | METAL | 1/3 | 1.89 | 1 | 5.44 | 1 | 4.01 | 1 | 4.72 | 1 | 6.90 | 1 | 10.77 | 1 | 10.20 | ||||
| 4-A | 17 | 1.6 | HALAR | 1/3 | 1.61 | 1/3 | 1.47 | 1 | 2.73 | 1 | 4.32 | 1 | 3.41 | ||||||||
| 5-B | 17 | 2 | KAPTON | 1 | 3.75 | 1 | 5.69 | 1 | 4.13 | ||||||||||||
| 6-C | 17 | 2.4 | METAL | 1/3 | 0.61 | 1 | 2.49 | 1 | 3.88 | 1 | 3.49 | ||||||||||
| 7-A | 12 | 0.4 | HALAR | 1 | 4.61 | 2/3 | 2.16 | 2/3 | 2.02 | 1 | 3.47 | 1 | 2.72 | 2/3 | −2.53 | 1 | −4.17 | 1 | −4.81 | ||
| 8-B | 12 | 0.8 | KAPTON | 1 | 5.41 | 1 | 3.33 | 1 | 3.39 | 1 | 7.29 | 1 | 5.55 | 1 | 4.95 | 1/3 | 1.54 | 1 | 3.00 | 2/3 | 2.44 |
| 9-C | 12 | 1.2 | METAL | 1/3 | 1.67 | 1 | 4.54 | 1 | 3.16 | 1 | 3.45 | 1 | 4.66 | 1 | 7.34 | 1 | 6.20 | ||||
| 10-A | 12 | 1.6 | HALAR | 1/3 | 1.52 | 1 | 3.10 | 1 | 3.06 | ||||||||||||
| 11-B | 12 | 2 | KAPTON | 2/3 | 2.05 | 1 | 3.52 | 1 | 2.97 | ||||||||||||
| 12-C | 12 | 2.4 | METAL | 2/3 | 2.28 | ||||||||||||||||
| 13-A | 9 | 0.4 | HALAR | 1 | 3.18 | 1/3 | 1.66 | 1/3 | 1.92 | 1 | −3.97 | 1 | −5.07 | 1 | −4.79 | ||||||
| 14-B | 9 | 0.8 | KAPTON | 1 | 3.83 | 2/3 | 2.14 | 1 | 2.36 | 1 | 5.63 | 1 | 4.23 | 1 | 3.95 | ||||||
| 15-C | 9 | 1.2 | METAL | 1 | 2.98 | 2/3 | 2.39 | 1 | 2.85 | 1 | 2.90 | 1 | 3.83 | 1 | 3.62 | ||||||
| 16-A | 9 | 1.6 | HALAR | 1 | 3.13 | 1 | 3.06 | ||||||||||||||
| 17-B | 9 | 2 | KAPTON | 2/3 | 2.45 | 2/3 | 2.57 | ||||||||||||||
| 18-C | 9 | 2.4 | METAL | 2/3 | 2.27 | 2/3 | 2.78 | ||||||||||||||
| 19-A | 5 | 0.4 | HALAR | 1/3 | 1.71 | 1 | −3.00 | 1 | −3.53 | 1 | −3.99 | ||||||||||
| 20-B | 5 | 0.8 | KAPTON | 2/3 | 1.99 | ||||||||||||||||
| 21-C | 5 | 1.2 | METAL | 2/3 | 2.16 | 2/3 | 2.47 | ||||||||||||||
| 22-A | 5 | 1.6 | HALAR | 1/3 | 1.57 | ||||||||||||||||
| 23-B | 5 | 2 | KAPTON | 1/3 | 1.59 | 2/3 | 2.83 | ||||||||||||||
| 24-C | 5 | 2.4 | METAL | ||||||||||||||||||
| NUM. TOT. | 5 | 5 | 7 | 11 | 8 | 9 | 14 | 18 | 20 | ||||||||||||
| D. EX. | d. | MATERIAL | SINE 18 s | SQUARE 18 s (90 s)—5th | MFS 18 s (45–90 s)5th | SINE 30 s | SQUARE 30 s—3rd | MFS 30 s (45–90 s)—3rd | SINE 90 s | SQUARE 90 s | MFS 90 s (45–90 s) | ||||||||||
| P | CNR (m. v.) | P | CNR (m. v.) | P | CNR (m. v.) | P | CNR (m. v.) | P | CNR (m. v.) | P | CNR (m. v.) | P | CNR (m. v.) | P | CNR (m. v.) | P | CNR (m. v.) | ||||
| 1-A | 17 | 0.4 | HALAR | 1 | −6.44 | 1 | −5.07 | 1 | −4.51 | ||||||||||||
| 2-B | 17 | 0.8 | KAPTON | 1 | 9.26 | 1 | 4.86 | 2/3 | 3.44 | 1 | 7.76 | 1 | 5.18 | 1 | 4.29 | 1 | −3.27 | 2/3 | −2.90 | 2/3 | −3.84 |
| 3-C | 17 | 1.2 | METAL | 1 | 6.10 | 1 | 3.10 | 2/3 | 2.04 | 1 | 8.63 | 1 | 4.98 | 1 | 3.74 | 1 | 3.28 | 1 | 3.36 | 1/3 | 1.30 |
| 4-A | 17 | 1.6 | HALAR | 2/3 | 1.90 | 1 | 3.44 | 2/3 | 2.18 | 1/3 | 1.81 | 1/3 | 1.78 | ||||||||
| 5-B | 17 | 2 | KAPTON | 1 | 3.50 | 1/3 | 1.75 | 1/3 | 1.09 | 1 | 3.73 | 1 | 3.16 | ||||||||
| 6-C | 17 | 2.4 | METAL | 1/3 | 1.75 | 1 | 3.49 | 1 | 2.74 | ||||||||||||
| 7-A | 12 | 0.4 | HALAR | 2/3 | 2.02 | 1/3 | 1.33 | 1/3 | −0.53 | 1/3 | −1.23 | 1 | −8.25 | 1 | −9.37 | 1 | −7.30 | ||||
| 8-B | 12 | 0.8 | KAPTON | 1 | 7.10 | 1 | 4.01 | 1 | 2.90 | 1 | 5.69 | 1 | 3.65 | 2/3 | 3.15 | 1 | −3.51 | 1 | −4.54 | 1 | −4.22 |
| 9-C | 12 | 1.2 | METAL | 1 | 4.73 | 1 | 3.04 | 2/3 | 2.24 | 1 | 6.01 | 1 | 4.24 | 1 | 4.62 | ||||||
| 10-A | 12 | 1.6 | HALAR | 1/3 | 1.80 | 1 | 2.57 | 1/3 | 1.28 | 2/3 | 2.38 | ||||||||||
| 11-B | 12 | 2 | KAPTON | 1/3 | 1.77 | 1/3 | 1.43 | 1/3 | 1.76 | 1/3 | 1.82 | 1/3 | 1.64 | ||||||||
| 12-C | 12 | 2.4 | METAL | 2/3 | 2.39 | 1/3 | 1.49 | 1 | 2.55 | ||||||||||||
| 13-A | 9 | 0.4 | HALAR | 1 | −2.51 | 1 | −2.36 | 1 | −9.09 | 1 | −8.62 | 1 | −7.76 | ||||||||
| 14-B | 9 | 0.8 | KAPTON | 1 | 5.27 | 1 | 3.63 | 2/3 | 2.51 | 1 | 3.33 | 1 | 2.55 | 1/3 | 1.96 | 1 | −3.30 | 1 | −3.84 | 1 | −2.77 |
| 15-C | 9 | 1.2 | METAL | 1 | 3.10 | 1 | 2.30 | 1/3 | 1.67 | 1 | 3.68 | 1 | 2.97 | 2/3 | 2.50 | ||||||
| 16-A | 9 | 1.6 | HALAR | 2/3 | 2.29 | 1/3 | 1.67 | 1/3 | 1.59 | ||||||||||||
| 17-B | 9 | 2 | KAPTON | 1/3 | 1.90 | 1/3 | 1.08 | 1/3 | 2.04 | 1/3 | 1.89 | 2/3 | 2.23 | ||||||||
| 18-C | 9 | 2.4 | METAL | 2/3 | 2.43 | 2/3 | 2.25 | 2/3 | 2.41 | ||||||||||||
| 19-A | 5 | 0.4 | HALAR | 1/3 | −1.23 | 2/3 | −2.11 | 1/3 | −1.16 | 1 | −5.89 | 1 | −5.57 | 1 | −4.11 | ||||||
| 20-B | 5 | 0.8 | KAPTON | 2/3 | 1.54 | 1/3 | 1.73 | 1/3 | 1.66 | ||||||||||||
| 21-C | 5 | 1.2 | METAL | 1/3 | 1.86 | 2/3 | 2.23 | ||||||||||||||
| 22-A | 5 | 1.6 | HALAR | ||||||||||||||||||
| 23-B | 5 | 2 | KAPTON | 1/3 | 0.74 | 1/3 | 1.34 | ||||||||||||||
| 24-C | 5 | 2.4 | METAL | ||||||||||||||||||
| NUM. TOT. | 10 | 9 | 8 | 17 | 12 | 14 | 15 | 14 | 13 | ||||||||||||
Publisher’s Note: MDPI stays neutral with regard to jurisdictional claims in published maps and institutional affiliations. |
© 2021 by the authors. Licensee MDPI, Basel, Switzerland. This article is an open access article distributed under the terms and conditions of the Creative Commons Attribution (CC BY) license (https://creativecommons.org/licenses/by/4.0/).
Share and Cite
D’Accardi, E.; Palumbo, D.; Galietti, U. A Comparison among Different Ways to Investigate Composite Materials with Lock-In Thermography: The Multi-Frequency Approach. Materials 2021, 14, 2525. https://doi.org/10.3390/ma14102525
D’Accardi E, Palumbo D, Galietti U. A Comparison among Different Ways to Investigate Composite Materials with Lock-In Thermography: The Multi-Frequency Approach. Materials. 2021; 14(10):2525. https://doi.org/10.3390/ma14102525
Chicago/Turabian StyleD’Accardi, Ester, Davide Palumbo, and Umberto Galietti. 2021. "A Comparison among Different Ways to Investigate Composite Materials with Lock-In Thermography: The Multi-Frequency Approach" Materials 14, no. 10: 2525. https://doi.org/10.3390/ma14102525
APA StyleD’Accardi, E., Palumbo, D., & Galietti, U. (2021). A Comparison among Different Ways to Investigate Composite Materials with Lock-In Thermography: The Multi-Frequency Approach. Materials, 14(10), 2525. https://doi.org/10.3390/ma14102525
