Dry Electrodes for Surface Electromyography Based on Architectured Titanium Thin Films
Abstract
1. Introduction
2. Materials and Methods
2.1. Preparation and Characterization of the Dry Electrodes
2.2. Signal Acquisition and Processing Using the Dry Electrodes vs. Conventional Ag/AgCl Electrodes
3. Results
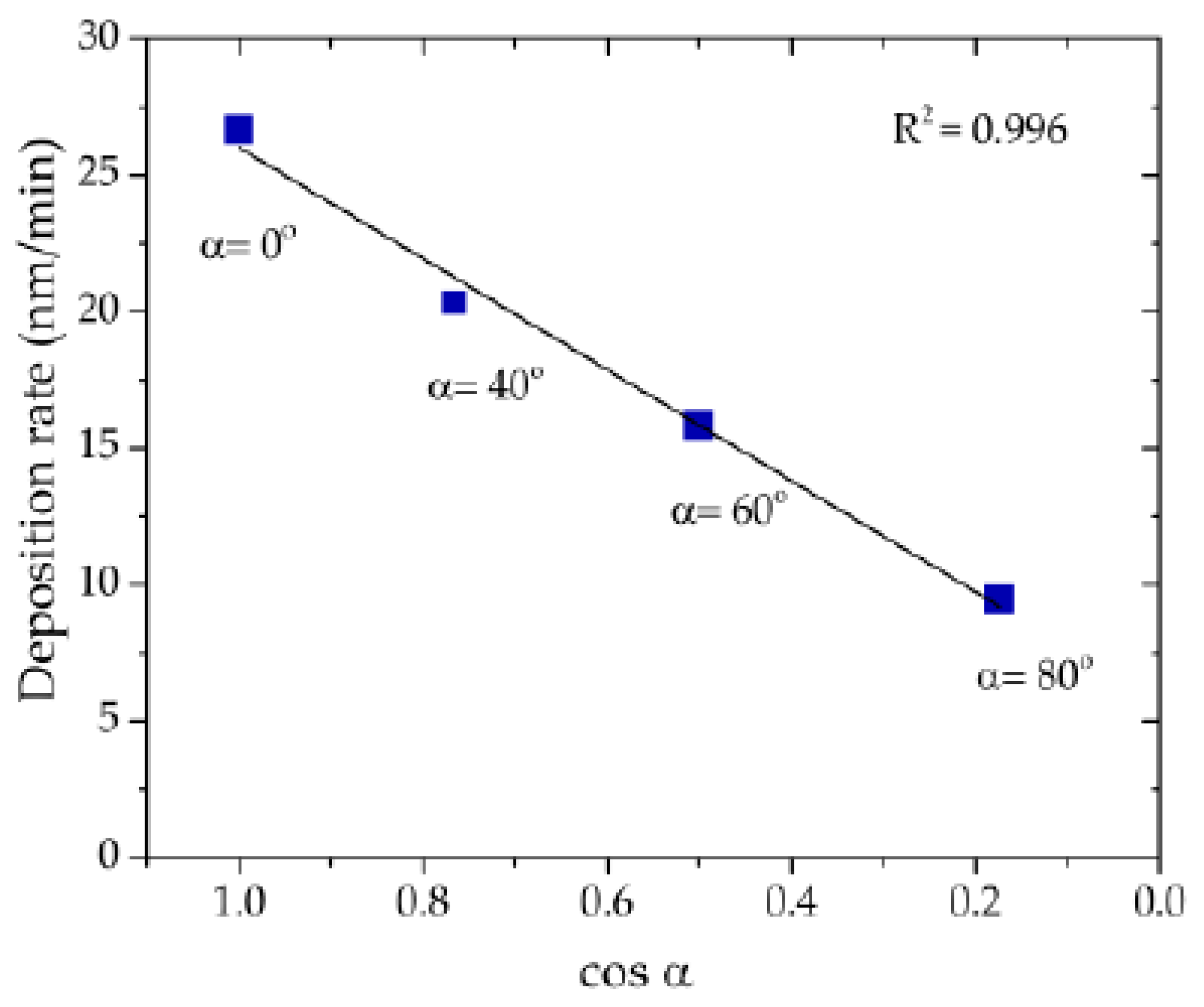
3.1. Morphological, Structural and Electrical Characterization of the Thin Films
3.2. Electrodes’ Characterization
3.2.1. Electrode–Skin Impedance
3.2.2. In-Vivo sEMG Acquisition
4. Discussion
5. Conclusions
Author Contributions
Funding
Conflicts of Interest
References
- Thakor, N. Biopotentials and Electrophysiology Measurements. In Telehealth and Mobile Health; CRC Press: Boca Raton, FL, USA, 2015; pp. 555–574. [Google Scholar]
- Konrad, P. The ABC of EMG: A Practical Introduction to Kinesiological Electromyography; Version 1; Noraxon USA, Inc.: Scottsdale, AZ, USA, 2006; ISBN 0977162214. [Google Scholar]
- Stastny, P.; Gołaś, A.; Blazek, D.; Maszczyk, A.; Wilk, M.; Pietraszewski, P.; Petr, M.; Uhlir, P.; Zając, A. A systematic review of surface electromyography analyses of the bench press movement task. PLoS ONE 2017, 12, e0171632. [Google Scholar] [CrossRef] [PubMed]
- Button, V.L.D.S.N. Electrodes for Biopotential Recording and Tissue Stimulation. In Principles of Measurement and Transduction of Biomedical Variables; Elsevier: London, UK, 2015; pp. 25–76. [Google Scholar]
- Chi, Y.M.; Jung, T.P.; Cauwenberghs, G. Dry-contact and noncontact biopotential electrodes: Methodological review. IEEE Rev. Biomed. Eng. 2010, 3, 106–119. [Google Scholar] [CrossRef] [PubMed]
- De Luca, C.J.; Donald Gilmore, L.; Kuznetsov, M.; Roy, S.H. Filtering the surface EMG signal: Movement artifact and baseline noise contamination. J. Biomech. 2010, 43, 1573–1579. [Google Scholar] [CrossRef] [PubMed]
- Abdoli-Eramaki, M.; Damecour, C.; Christenson, J.; Stevenson, J. The effect of perspiration on the sEMG amplitude and power spectrum. J. Electromyogr. Kinesiol. 2012, 22, 908–913. [Google Scholar] [CrossRef] [PubMed]
- Merletti, R.; Farina, D.; Gazzoni, M.; Merlo, A.; Ossola, P.; Rainoldi, A. Surface Electromyography for Noninvasive Characterization of Muscle. Eura. Medicophys. 2001, 37, 57–68. [Google Scholar] [CrossRef] [PubMed]
- Pedrosa, P.; Fiedler, P.; Lopes, C.; Alves, E.; Barradas, N.P.; Haueisen, J.; Machado, A.V.; Fonseca, C.; Vaz, F. Ag:TiN-Coated Polyurethane for Dry Biopotential Electrodes: From Polymer Plasma Interface Activation to the First EEG Measurements. Plasma Process. Polym. 2016, 13, 341–354. [Google Scholar] [CrossRef]
- McAdams, E. Bioelectrodes. In Encyclopedia of Medical Devices and Instrumentation; John Wiley and Sons Inc.: Hoboken, NJ, USA, 2006; ISBN 0471732877. [Google Scholar]
- Searle, A.; Kirkup, L. A direct comparison of wet, dry and insulating bioelectric recording electrodes. Physiol. Meas. 2000, 21, 271–283. [Google Scholar] [CrossRef]
- Zhou, W.; Song, R.; Pan, X.; Peng, Y.; Qi, X.; Peng, J.; Hui, K.S.; Hui, K.N. Fabrication and impedance measurement of novel metal dry bioelectrode. Sens. Actuators A Phys. 2013, 201, 127–133. [Google Scholar] [CrossRef]
- Taheri, B.A.; Knight, R.T.; Smith, R.L. A dry electrode for EEG recording. Electroencephalogr. Clin. Neurophysiol. 1994, 90, 376–383. [Google Scholar] [CrossRef]
- Fonseca, C.; Silva Cunha, J.P.; Martins, R.E.; Ferreira, V.M.; Marques De Sá, J.P.; Barbosa, M.A.; Martins Da Silva, A. A novel dry active electrode for EEG recording. IEEE Trans. Biomed. Eng. 2007, 54, 162–165. [Google Scholar] [CrossRef]
- Mañanas, M.A.; Romero, S.; Topor, Z.L.; Bruce, E.N.; Houtz, P.; Caminal, P. Cardiac interference in myographic signals from different respiratory muscles and levels of activity. Annu. Int. Conf. IEEE Eng. Med. Biol. 2001, 2, 1115–1118. [Google Scholar]
- Pylatiuk, C.; Müller-Riederer, M.; Kargov, A.; Schulz, S.; Schill, O.; Reischl, M.; Bretthauer, G. Comparison of surface EMG monitoring electrodes for long-term use in rehabilitation device control. In Proceedings of the 2009 IEEE International Conference on Rehabilitation Robotics, ICORR, Kyoto, Japan, 23–26 June 2009; pp. 300–304. [Google Scholar]
- Jung, H.C.; Moon, J.H.; Baek, D.H.; Lee, J.H.; Choi, Y.Y.; Hong, J.S.; Lee, S.H. CNT/PDMS composite flexible dry electrodesfor long-term ECG monitoring. IEEE Trans. Biomed. Eng. 2012, 59, 1472–1479. [Google Scholar] [CrossRef] [PubMed]
- Alves, P.; Pinto, S.; De Sousa, H.C.; Gil, M.H. Surface modification of a thermoplastic polyurethane by low-pressure plasma treatment to improve hydrophilicity. J. Appl. Polym. Sci. 2011, 122, 2302–2308. [Google Scholar] [CrossRef]
- Peng, H.L.; Liu, J.Q.; Dong, Y.Z.; Yang, B.; Chen, X.; Yang, C.S. Parylene-based flexible dry electrode for bioptential recording. Sens. Actuators B Chem. 2016, 231, 1–11. [Google Scholar] [CrossRef]
- Rahimi, A.; Mashak, A. Review on rubbers in medicine: Natural, silicone and polyurethane rubbers. Plast. Rubber Compos. 2013. [Google Scholar] [CrossRef]
- Lopes, C.; Fonseca, P.; Matamá, T.; Gomes, A.; Louro, C.; Paiva, S.; Vaz, F. Protective Ag:TiO2 thin films for pressure sensors in orthopedic prosthesis: The importance of composition, structural and morphological features on the biological response of the coatings. J. Mater. Sci. Mater. Med. 2014, 25, 2069–2081. [Google Scholar] [CrossRef]
- Haueisen, J.; Fiedler, P.; Griebel, S.; Zentner, L.; Fonseca, C.; Vaz, F.; Zanow, F. Dry electrodes for electroencephalography: Novel titanium based electrodes. In Proceedings of the 20th IMEKO World Congress 2012, Busan, Korea, 9–14 September 2012; Volume 2, pp. 1297–1299. [Google Scholar]
- Fonseca, C.; Vaz, F.; Barbosa, M.A. Electrochemical behaviour of titanium coated stainless steel by r.f. sputtering in synthetic sweat solutions for electrode applications. Corros. Sci. 2004, 46, 3005–3018. [Google Scholar] [CrossRef]
- Apreutesei, M.; Lopes, C.; Borges, J.; Vaz, F.; Macedo, F. Modulated IR radiometry for determining thermal properties and basic characteristics of titanium thin films. J. Vac. Sci. Technol. A Vac. Surfaces Film. 2014, 32, 041511. [Google Scholar] [CrossRef]
- Pedrosa, P.; Ferreira, A.; Cote, J.M.; Martin, N.; Yazdi, M.A.P.; Billard, A.; Lanceros-Mendez, S.; Vaz, F. Influence of the sputtering pressure on the morphological features and electrical resistivity anisotropy of nanostructured titanium films. Appl. Surf. Sci. 2017, 420, 681–690. [Google Scholar] [CrossRef]
- Martin, N.; Robbie, K.; Carpentier, L. Architecture of Thin Solid Films by the GLAD Technique; John Wiley and Sons Inc.: Hoboken, NJ, USA, 2013; ISBN 9781848211513. [Google Scholar]
- Rodrigues, M.S.; Borges, J.; Proença, M.; Pedrosa, P.; MARTIN, N.; Romanyuk, K.; Kholkin, A.L.; Vaz, F. Nanoplasmonic response of porous Au-TiO2 thin films prepared by oblique angle deposition. Nanotechnology 2019, 30, 225701. [Google Scholar] [CrossRef]
- Proença, M.; Borges, J.; Rodrigues, M.S.; Meira, D.I.; Sampaio, P.; Dias, J.P.; Pedrosa, P.; Martin, N.; Bundaleski, N.; Teodoro, O.M.N.D.; et al. Nanocomposite thin films based on Au-Ag nanoparticles embedded in a CuO matrix for localized surface plasmon resonance sensing. Appl. Surf. Sci. 2019, 484, 152–168. [Google Scholar] [CrossRef]
- Borges, J.; Martin, N.; Barradas, N.P.; Alves, E.; Eyidi, D.; Beaufort, M.F.; Riviere, J.P.; Vaz, F.; Marques, L. Electrical properties of AlNxOythin films prepared by reactive magnetron sputtering. Thin Solid Films 2012, 520, 6709–6717. [Google Scholar] [CrossRef]
- Riu, P.J. Electrical Bioimpedance Methods: Applications to Medicine and Biotechnology; Annals of the New York Academy of Sciences; New York Academy of Sciences: New York, NY, USA, 1999; ISBN 1573311901. [Google Scholar]
- Fiedler, P.; Muhle, R.; Griebel, S.; Pedrosa, P.; Fonseca, C.; Vaz, F.; Zanow, F.; Haueisen, J. Contact Pressure and Flexibility of Multipin Dry EEG Electrodes. IEEE Trans. Neural Syst. Rehabil. Eng. 2018, 26, 750–757. [Google Scholar] [CrossRef] [PubMed]
- Wunder, S.; Hunold, A.; Fiedler, P.; Schlegelmilch, F.; Schellhorn, K.; Haueisen, J. Novel bifunctional cap for simultaneous electroencephalography and transcranial electrical stimulation. Sci. Rep. 2018, 8, 1–11. [Google Scholar] [CrossRef] [PubMed]
- Semmlow, J.L.; Griffel, B. Biosignal and Biomedical Image Processing; Marcel Dekker Inc.: New York, NY, USA, 2014; ISBN 0-8247-4803-4. [Google Scholar]
- Roman-Liu, D.; Konarska, M. Characteristics of power spectrum density function of EMG during muscle contraction below 30%MVC. J. Electromyogr. Kinesiol. 2009, 19, 864–874. [Google Scholar] [CrossRef]
- Li, X.; Shin, H.; Zhou, P.; Niu, X.; Liu, J.; Rymer, W.Z. Power spectral analysis of surface electromyography (EMG) at matched contraction levels of the first dorsal interosseous muscle in stroke survivors. Clin. Neurophysiol. 2014, 125, 988–994. [Google Scholar] [CrossRef]
- Hunold, A.; Funke, M.E.; Eichardt, R.; Stenroos, M.; Haueisen, J. EEG and MEG: Sensitivity to epileptic spike activity as function of source orientation and depth. Physiol. Meas. 2016, 37, 1146–1162. [Google Scholar] [CrossRef]
- Graichen, U.; Eichardt, R.; Fiedler, P.; Strohmeier, D.; Zanow, F.; Haueisen, J. SPHARA—A generalized spatial fourier analysis for multi-sensor systems with non-uniformly arranged sensors: Application to EEG. PLoS ONE 2015, 10, e0121741. [Google Scholar] [CrossRef]
- Chowdhury, R.; Reaz, M.; Ali, M.; Bakar, A.; Chellappan, K.; Chang, T. Surface Electromyography Signal Processing and Classification Techniques. Sensors 2013, 13, 12431–12466. [Google Scholar] [CrossRef]
- Barranco, A.; Borras, A.; Gonzalez-Elipe, A.R.; Palmero, A. Perspectives on oblique angle deposition of thin films: From fundamentals to devices. Prog. Mater. Sci. 2016, 76, 59–153. [Google Scholar] [CrossRef]
- Rouquerol, J.; Avnir, D.; Fairbridge, C.W.; Everett, D.H.; Haynes, J.M.; Pernicone, N.; Ramsay, J.D.F.; Sing, K.S.W.; Unger, K.K. Recommendations for the characterization of porous solids (Technical Report). Pure Appl. Chem. 1994, 66, 1739–1758. [Google Scholar] [CrossRef]
- Martin, N.; Besnard, A.; Sthal, F.; Vaz, F.; Nouveau, C. The contribution of grain boundary barriers to the electrical conductivity of titanium oxide thin films. Appl. Phys. Lett. 2008, 93, 064102. [Google Scholar] [CrossRef]
- Hinrichs, H.; Scholz, M.; Baum, A.K.; Kam, J.W.Y.; Knight, R.T.; Heinze, H.-J. Comparison between a wireless dry electrode EEG system with a conventional wired wet electrode EEG system for clinical applications. Sci. Rep. 2020, 10, 5218. [Google Scholar] [CrossRef] [PubMed]
- Merletti, R.; Botter, A.; Troiano, A.; Merlo, E.; Minetto, M.A. Technology and instrumentation for detection and conditioning of the surface electromyographic signal: State of the art. Clin. Biomech. 2009, 24, 122–134. [Google Scholar] [CrossRef] [PubMed]
- Nazmi, N.; Abdul Rahman, M.; Yamamoto, S.-I.; Ahmad, S.; Zamzuri, H.; Mazlan, S. A Review of Classification Techniques of EMG Signals during Isotonic and Isometric Contractions. Sensors 2016, 16, 1304. [Google Scholar] [CrossRef]
- Welch, P.D. The Use of Fast Fourier Transform for the Estimation of Power Spectra: A Method Based on Time Averaging Over Short, Modified Periodograms. IEEE Trans. Audio Electroacoust. 1967, 15, 70–73. [Google Scholar] [CrossRef]










| Reference | Electrode Base | Ti Thin Film |
|---|---|---|
| Ag/AgCl | Conventional Ag/AgCl | --- |
| SS00 | Stainless Steel | 0° |
| SS60 | Stainless Steel | 60° zigzag |
| PU00 | Thermoplastic Polyurethane | 0° |
| PU60 | Thermoplastic Polyurethane | 60° zigzag |
© 2020 by the authors. Licensee MDPI, Basel, Switzerland. This article is an open access article distributed under the terms and conditions of the Creative Commons Attribution (CC BY) license (http://creativecommons.org/licenses/by/4.0/).
Share and Cite
S. Rodrigues, M.; Fiedler, P.; Küchler, N.; P. Domingues, R.; Lopes, C.; Borges, J.; Haueisen, J.; Vaz, F. Dry Electrodes for Surface Electromyography Based on Architectured Titanium Thin Films. Materials 2020, 13, 2135. https://doi.org/10.3390/ma13092135
S. Rodrigues M, Fiedler P, Küchler N, P. Domingues R, Lopes C, Borges J, Haueisen J, Vaz F. Dry Electrodes for Surface Electromyography Based on Architectured Titanium Thin Films. Materials. 2020; 13(9):2135. https://doi.org/10.3390/ma13092135
Chicago/Turabian StyleS. Rodrigues, Marco, Patrique Fiedler, Nora Küchler, Rui P. Domingues, Cláudia Lopes, Joel Borges, Jens Haueisen, and Filipe Vaz. 2020. "Dry Electrodes for Surface Electromyography Based on Architectured Titanium Thin Films" Materials 13, no. 9: 2135. https://doi.org/10.3390/ma13092135
APA StyleS. Rodrigues, M., Fiedler, P., Küchler, N., P. Domingues, R., Lopes, C., Borges, J., Haueisen, J., & Vaz, F. (2020). Dry Electrodes for Surface Electromyography Based on Architectured Titanium Thin Films. Materials, 13(9), 2135. https://doi.org/10.3390/ma13092135

