Effect of Strong Electric Fields on Material Responses: The Bloch Oscillation Resonance in High Field Conductivities
Abstract
1. Introduction
2. Boltzmann Transport Equation for Electrons
3. Numerical Method Based on Modal Discontinuous Galerkin Approach
4. Analytical Solution for the Steady-State BTE
5. Convergence Study and Validation of Numerical Solver
5.1. Convergence Study
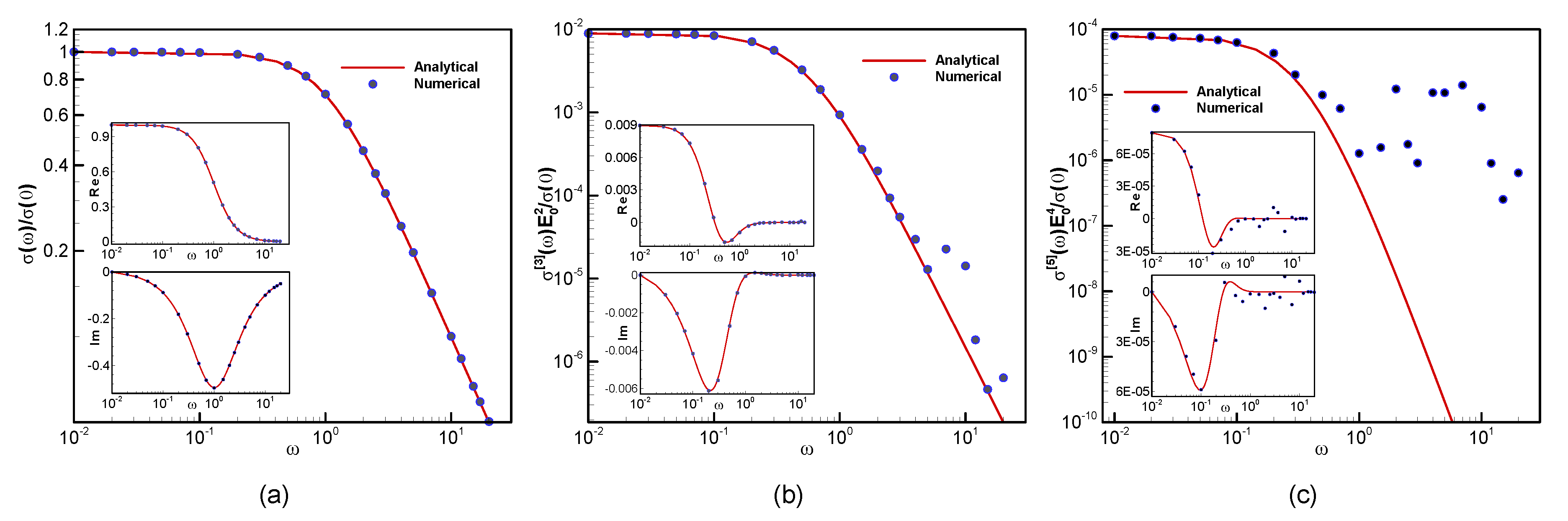
5.2. Validation of Numerical Solver
6. Numerical Results and Discussion
6.1. Time Evolution of BTE Dynamics: Effects of Flow Parameters
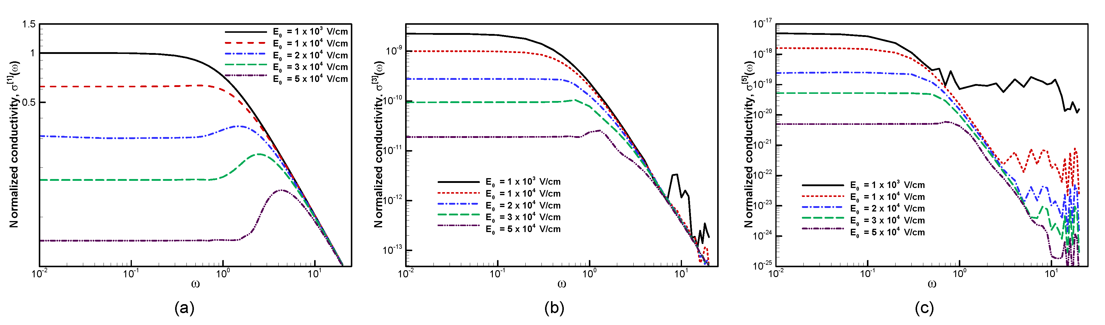
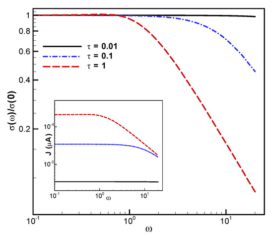
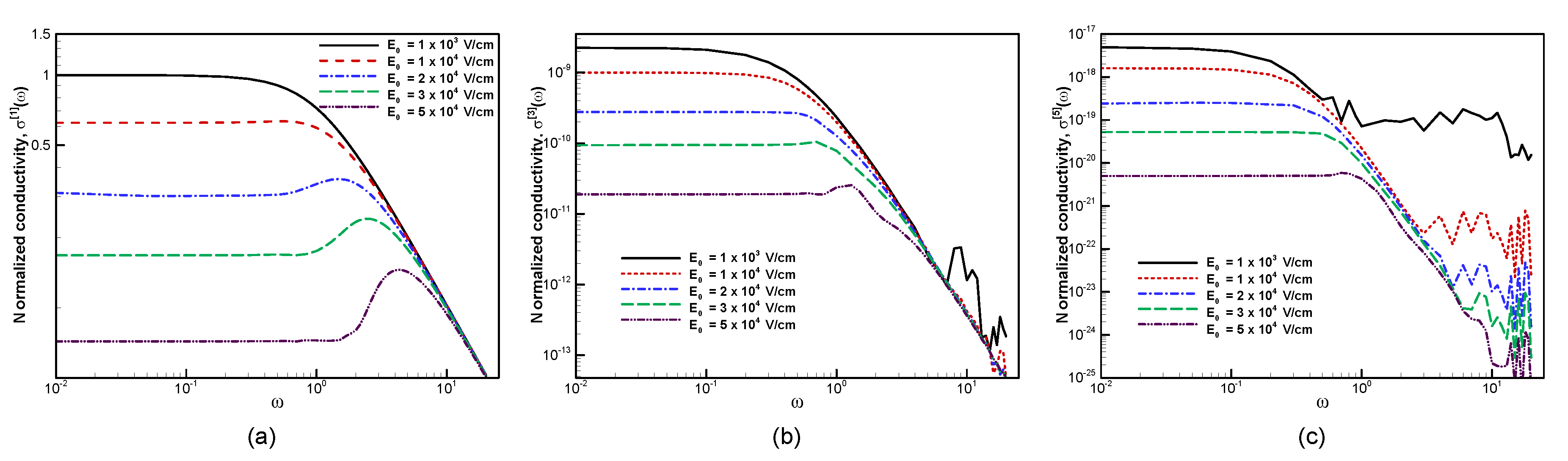
6.2. High Field Current Density and Conductivities: The Bloch Oscillation Resonance
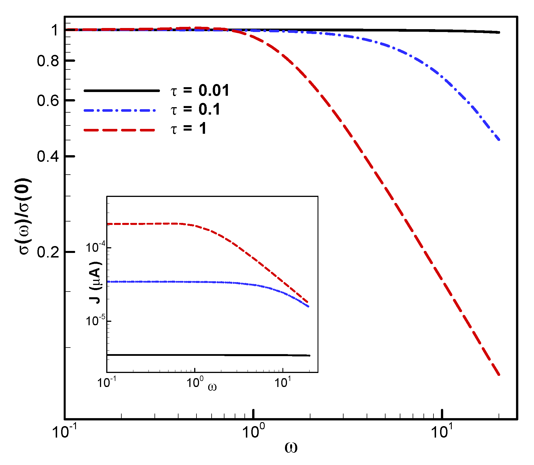
6.2.1. Frequency Dependence: The Bloch Oscillation Resonance
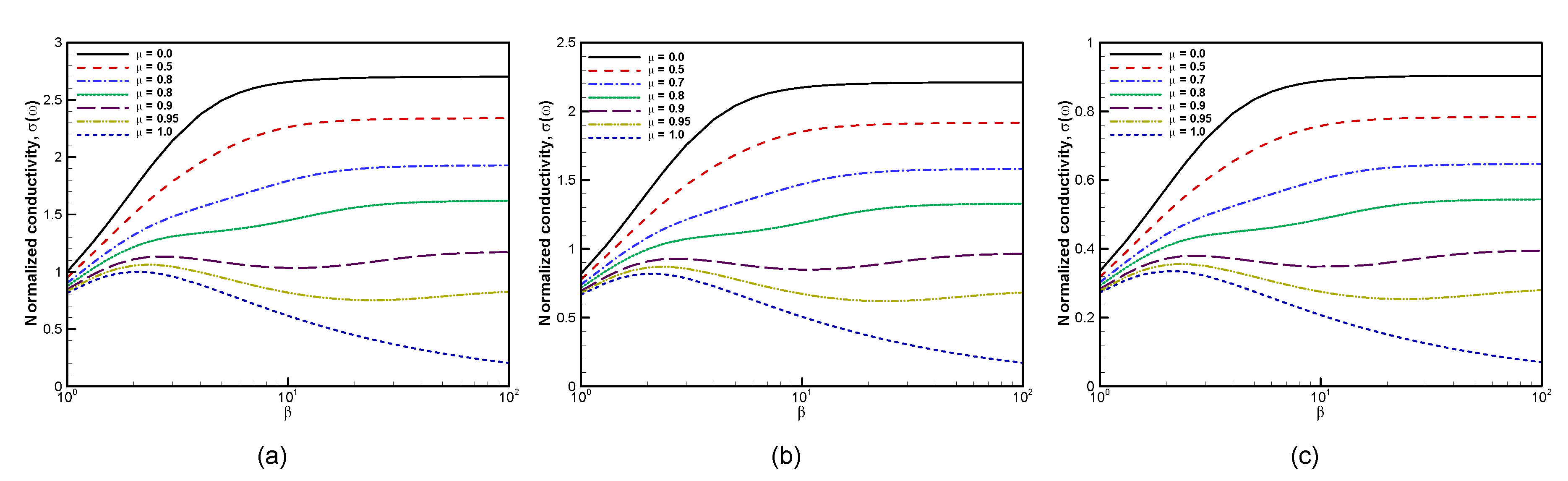
6.2.2. Chemical Potential and Temperature Dependences
7. Concluding Remarks
Author Contributions
Acknowledgments
Conflicts of Interest
References
- Milburn, G.J. The Feynman Processor: An Introduction to Quantum Computation; Allen & Unwin: St. Leonards, NSW, Australia, 1998. [Google Scholar]
- Vasko, F.T.; Raichev, O.E. Quantum Kinetic Theory and Applications: Electrons, Photons, Phonons; Springer Science & Business Media: New York, NY, USA, 2006. [Google Scholar]
- Mukerjee, S.; Oganesyan, V.; Huse, D. Statistical theory of transport by strongly interacting lattice fermions. Phys. Rev. B 2006, 73, 035113. [Google Scholar] [CrossRef]
- Johnston, M.B.; Whittaker, D.M.; Corchia, A.; Davies, A.G.; Linfield, E.H. Simulation of terahertz generation at semiconductor surfaces. Phys. Rev. B 2002, 65, 165301. [Google Scholar] [CrossRef]
- Battiato, M.; Carva, K.; Oppeneer, P.M. Superdiffusive spin transport as a mechanism of ultrafast demagnetization. Phys. Rev. Lett. 2010, 105, 027203. [Google Scholar] [CrossRef] [PubMed]
- Battiato, M.; Maldonado, P.; Oppeneer, P.M. Treating the effect of interface reflections on superdiffusive spin transport in multilayer samples. J. Appl. Phys. 2014, 115, 172611. [Google Scholar] [CrossRef]
- Battiato, M.; Held, K. Ultrafast and gigantic spin injection in semiconductors. Phys. Rev. Lett. 2016, 116, 196601. [Google Scholar] [CrossRef] [PubMed]
- Battiato, M.; Aguilera, I.; Sánchez-Barriga, J. Generalized GW+ Boltzmann Approach for the Description of Ultrafast Electron Dynamics in Topological Insulators. Materials 2017, 10, 810. [Google Scholar] [CrossRef]
- Nenno, D.M.; Rethfeld, B.; Schneider, H.C. Particle-in-cell simulation of ultrafast hot-carrier transport in Fe/Au heterostructures. Phys. Rev. B 2018, 98, 224416. [Google Scholar] [CrossRef]
- Mueller, B.Y.; Rethfeld, B. Thermodynamic μ T model of ultrafast magnetization dynamics. Phys. Rev. B 2014, 90, 144420. [Google Scholar] [CrossRef]
- Rethfeld, B.; Kaiser, A.; Vicanek, M.; Simon, G. Ultrafast dynamics of nonequilibrium electrons in metals under femtosecond laser irradiation. Phys. Rev. B 2002, 65, 214303. [Google Scholar] [CrossRef]
- Walowski, J.; Münzenberg, M. Perspective: Ultrafast magnetism and THz spintronics. J. Appl. Phys. 2016, 120, 140901. [Google Scholar] [CrossRef]
- Cockburn, B.; Karniadakis, G.E.; Shu, C.-W. (Eds.) The development of discontinuous Galerkin methods. In Discontinuous Galerkin Methods. Theory, Computation and Applications, Lecture Notes in Computational Science and Engineering; Springer: Berlin/Heidelberg, Germany, 2000; pp. 3–50. [Google Scholar]
- Karniadakis, G.; Sherwin, S. Spectral/hp Element Methods for Computational Fluid Dynamics; Oxford University Press: New York, NY, USA, 2013. [Google Scholar]
- Cockburn, B.; Shu, C.-W. Runge-Kutta discontinuous Galerkin methods for convection-dominated problems. J. Sci. Comput. 2001, 16, 173–261. [Google Scholar] [CrossRef]
- Bassi, F.; Rebay, S. A high-order accurate discontinuous finite element method for the numerical solution of the compressible Navier–Stokes equations. J. Comput. Phys. 1997, 131, 267–279. [Google Scholar] [CrossRef]
- Raj, L.P.; Singh, S.; Karchani, A.; Myong, R.S. A super-parallel mixed explicit discontinuous Galerkin method for the second-order Boltzmann-based constitutive models of rarefied and microscale gases. Comput. Fluids 2017, 157, 146–163. [Google Scholar] [CrossRef]
- Singh, S.; Myong, R.S. Three-dimensional discontinuous Galerkin method for the second-order Boltzmann-Curtiss constitutive model in continuum-rarefied gas flows. AIP Conf. Proc. 2019, 2132, 060013. [Google Scholar]
- Ziman, J.M. Electrons and Phonons: The Theory of Transport Phenomena in Solids; Oxford University Press: New York, NY, USA, 2001. [Google Scholar]
- Wais, M.; Eckstein, M.; Fischer, R.; Werner, P.; Battiato, M.; Held, K. Quantum Boltzmann equation for strongly correlated systems: Comparison to dynamical mean field theory. Phys. Rev. B 2018, 98, 134312. [Google Scholar] [CrossRef]
- Xiao, D.; Chang, M.-C.; Niu, Q. Berry phase effects on electronic properties. Rev. Mod. Phys. 2010, 82, 1959. [Google Scholar] [CrossRef]
- Lax, P.D. Weak solutions of nonlinear hyperbolic equations and their numerical computation. Commun. Pure Appl. Math. 1954, 7, 159–193. [Google Scholar] [CrossRef]
- Hoffman, J.D.; Frankel, S. Numerical Methods for Engineers and Scientists; CRC Press: Boca Raton, FL, USA, 2018. [Google Scholar]
- Gottlieb, S.; Shu, C.-W.; Tadmor, E. Strong stability-preserving high-order time discretization methods. SIAM Rev. 2001, 43, 89–112. [Google Scholar] [CrossRef]
- Shu, C.-W.; Osher, S. Efficient implementation of essentially non-oscillatory shock-capturing schemes. J. Comput. Phys. 1988, 77, 439–471. [Google Scholar] [CrossRef]








| l | DOF | Error | Order | Error | Order | |
|---|---|---|---|---|---|---|
| 1 | 40 | − | − | |||
| 80 | ||||||
| 160 | ||||||
| 320 | ||||||
| 2 | 60 | − | − | |||
| 120 | ||||||
| 240 | ||||||
| 480 | ||||||
| 3 | 80 | − | − | |||
| 160 | ||||||
| 320 | ||||||
| 640 | ||||||
| 4 | 100 | − | − | |||
| 200 | ||||||
| 400 | ||||||
| 800 |
© 2020 by the authors. Licensee MDPI, Basel, Switzerland. This article is an open access article distributed under the terms and conditions of the Creative Commons Attribution (CC BY) license (http://creativecommons.org/licenses/by/4.0/).
Share and Cite
Singh, S.; Battiato, M. Effect of Strong Electric Fields on Material Responses: The Bloch Oscillation Resonance in High Field Conductivities. Materials 2020, 13, 1070. https://doi.org/10.3390/ma13051070
Singh S, Battiato M. Effect of Strong Electric Fields on Material Responses: The Bloch Oscillation Resonance in High Field Conductivities. Materials. 2020; 13(5):1070. https://doi.org/10.3390/ma13051070
Chicago/Turabian StyleSingh, Satyvir, and Marco Battiato. 2020. "Effect of Strong Electric Fields on Material Responses: The Bloch Oscillation Resonance in High Field Conductivities" Materials 13, no. 5: 1070. https://doi.org/10.3390/ma13051070
APA StyleSingh, S., & Battiato, M. (2020). Effect of Strong Electric Fields on Material Responses: The Bloch Oscillation Resonance in High Field Conductivities. Materials, 13(5), 1070. https://doi.org/10.3390/ma13051070

