Characterization of Crater Area in a Target Penetrated by a Wf/Zr-Based Amorphous Matrix Composite Projectile
Abstract
1. Introduction
2. Materials and Methods
3. Results and Discussion
3.1. Results
3.2. Discussion
4. Conclusions
- It was found that three layers were formed in the lateral direction of the crater, namely, the martensite layer, the deformation strengthening layer, and the original structure layer. Moreover, the martensite layer thickened first and then thinned in the longitudinal direction of the crater.
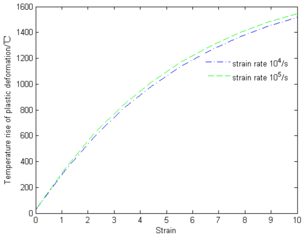
- ASB occurred in the martensite layer in Area 02, thus leading to an oscillation distribution of the hardness of the target around the crater. The theoretical temperature in ASB can reach up to 1520 °C when the strain rate is 105 and the strain is 10, and the high temperature transfers to the target steel around the ASB, which turns into the martensite layer.
- It was proved that the heat and high temperature were generated by the formation of ASB and the martensite layer, and the performance of target steel decreased since it is softened in such a high-temperature range. This phenomenon benefits the armor-piercing performance of Wf/Zr-based amorphous matrix composite projectiles. The armor-piercing performance was shown to be strong in the experiment, indicating that Wf/Zr-based amorphous matrix composite can be used as a new kind of projectile material.
Author Contributions
Funding
Conflicts of Interest
References
- Teresa, F.; Christian, C.R.; Dirk, M. Dynamic perforation of ultra-hard high-strength armor steel: Impact experiments and modeling. Int. J. Impact Eng. 2019, 131, 256–271. [Google Scholar]
- Cai, X.; Zhang, W.; Gao, Y.; Fan, Z. Dynamic mechanical behavior, damage mode and mechanism of multi-scale high energy insensitive particulate reinforced composites of a new type of anti-missile sandwich wall structure. Int. J. Mech. Sci. 2019, 161–162, 105070. [Google Scholar] [CrossRef]
- Kecskes, L.J.; Magness, L.S. Behavior and Performance of Amorphous Metal Alloys and Tungsten Wire-Reinforced Amorphous Alloy Matrix Composites. In Proceedings of the 20th International Symposium on Ballistics, Orlando, FL, USA, 23–27 September 2002; pp. 20, 827. [Google Scholar]
- Gerlach, U. Microstructural analysis of residual projectiles—A new method to explain penetration mechanisms. Metall. Mater. Trans. A 1986, 17, 438. [Google Scholar] [CrossRef]
- Dandliker, R.B.; Connner, R.D.; Johnson, W.L. Melt infiltration casting of bulk metallic-glass matrix composites. J. Mater. Res. 1998, 13, 2896. [Google Scholar] [CrossRef]
- Conner, R.D.; Dandliker, R.B.; Scruggs, V.; Johnson, W.L. Dynamic deformation behavior of tungsten-fiber/metallic-glass matrix compostes. Int. J. Impact Eng. 2000, 24, 435–444. [Google Scholar] [CrossRef]
- Conner, R.D.; Dandliker, R.B.; Johnson, W.L. Mechanical properties of tungsten and steel fiber reinforced Zr41.25Ti13.75Cu12.5Ni10Be22.5 metallic glass matrix composites. Acta. Mater. 1998, 46, 6089–6102. [Google Scholar] [CrossRef]
- Raju, V.R.; Kuhn, U.; Wolff, U. Corrosion behavior of Zr-based bulk glass-forming alloys containing Nb or Ti. Mater. Letters 2002, 57, 174. [Google Scholar] [CrossRef]
- Ma, W.; Kou, H.; Li, J.; Chen, C.S.; Du, S.M.; Zhou, L.; Fu, H.Z. Dynamic mechanical behaviors and fracture characteristic of tungsten fiber reinforced Zr-based metallic glass matrix composites. Chin. J. Nonferrous Metals 2008, 18, 1045–1050. [Google Scholar]
- Cong, M.; Huang, D.; Duan, Z. Microstructure analysis of the target surface and the residual projectile in an experimental penetration of small diameter. Trans. Beijing Inst. Technol. 2002, 22, 594–598. [Google Scholar]
- Wang, M.; Huang, D.; Rong, G.; Liu, Y.; Yang, M.C. Observation and analysis of coronary cracks beneath the crater in armor plate. Acta Armamentarii. 2009, 30, 1580–1583. [Google Scholar]
- Hao, L.; Ghatu, S.; Laszlo, J.; Robert, J. Dowding, Mechanical behavior of tungsten preform reinforced bulk metallic glass composites. Mater. Sci. Eng. A 2005, 403, 134–143. [Google Scholar]
- Owolabi, G.M.; Odeshi, A.G.; Singh, M.N.K.; Bassim, M.N. Dynamic shear band formation in Aluminum 6061-T6 and Aluminum 6061-T6/Al2O3 composites. Mater. Sci. Eng. A 2007, 457, 114. [Google Scholar] [CrossRef]
- Bassim, M.N.; Panic, N. High strain rate effects on the strain of alloy steels. J. Mater. Process. Techol. 1999, 92, 481. [Google Scholar] [CrossRef]
- Zurek, K.A. The study of adiabatic shear band instability in a pearlitic 4340 steel using a dynamic punch test. Metall. Mater. Trans. A 1994, 25, 2483. [Google Scholar] [CrossRef]
- Meyers, M.A.; Nesterenko, V.F.; Lasaivia, J.C.; Xue, Q. Shear localization in dynamic deformation of materials: microstructural evolution and self-organization. Mat. Sci. Eng. A 2001, 317, 204. [Google Scholar] [CrossRef]
- Zhu, S.; Guo, Y.; Ruan, Q.; Chen, H.; Li, Y. Formation of adiabatic shear band within Ti-6Al-4V: An in-situ study with high-speed photography and temperature measurement. Int. J. Mech. Sci. 2020, 171, 105401. [Google Scholar] [CrossRef]
- Bassim, M.N. Study of the formation of adiabatic shear bands in steels. J. Mater. Process. Techol. 2001, 119, 234–236. [Google Scholar] [CrossRef]
- Couque, H.; Nicolas, G.; Altmayer, C. Relation between shear banding and penetration characteristics of conventional tungsten alloys. Int. J. Impact Eng. 2007, 34, 412–423. [Google Scholar] [CrossRef]
- Kim, D.; Lee, S.; Baek, W.H. Microstructural study of adiabatic shear bands formed by high-speed impact in a tungsten heavy alloy penetrator. Mater. Sci. Eng. A 1988, 249, 197–205. [Google Scholar] [CrossRef]
- Duan, Z.Q.; Li, S.X.; Huang, D.W. Microstructure and adiabatic shear bands formed by ballistic impact in steels and tungsten alloy. Fatigue Fract. Eng. Mater. Struct. 2003, 26, 1119–1126. [Google Scholar] [CrossRef]
- Wittman, C.L.; Meyers, M.A.; Pak, H.R. Observation of an adiabatic shear band in AISI 4340 steel by high-voltage transmission electron microscopy. Metall. Trans. A 1990, 21, 707–716. [Google Scholar] [CrossRef]
- Quinney, H.; Taylor, G.I. The emission of the latent energy due to previous cold working when a metal is heated. Proc. R. Soc. Lond. 1937, A163, 157–181. [Google Scholar]
- Meyers, M.A. Dynamic Behavior of Materials, 1st ed.; Zhang, Q.M.; Liu, Y., Translators; National Defense Industry Press: Beijing, China, 2006; p. 260. (In Chinese) [Google Scholar]
- Johnson, G.R.; Cook, W.H. Fracture characteristics of three metals subjected to various strains, strain rates, temperatures and pressures. Eng. Fract. Mech. 1985, 21, 31–48. [Google Scholar] [CrossRef]
- Lins, J.F.C.; Sandim, H.R.Z.; Kestenbach, H.J.; Raabe, D.; Vecchio, K.S. A microstructure investigation of adiabatic shear bands in an interstitial free steel. Mater. Sci. Eng. A 2007, 457, 205–218. [Google Scholar] [CrossRef]
- Zhao, G. Armour Piercing Engineering Mechanics, 1st ed.; Beijing Arms Industry Press: Beijing, China, 1992; p. 86. (In Chinese) [Google Scholar]






| Condition | Chemical Composition | Original Structure of Material | Characteristic Temperature |
|---|---|---|---|
| Projectile | 80% W 20% Zr41.25Ti13.75Cu12.5Ni10Be22.5 (Volume fraction) | Crystal structure of tungsten fiber + amorphous matrix | Melt temperature of W: 3683 K Melt temperature of Zr41.25Ti13.75Cu12.5Ni10Be22.5: 993 K |
| Target | 0.37–0.44% C, 0.17–0.37% Si, 0.5–0.8% Mn, 0.6–0.9% Cr, 0.15–0.25% Mo, 0.5–0.8% W, ≤0.3% S, 0.25–1.65% Ni (Weight fraction) | Sorbite | Melt temperature: 1793 K |
| A (MPa) | B (MPa) | n | C | m |
|---|---|---|---|---|
| 792 | 510 | 0.26 | 0.0147 | 1.03 |
Publisher’s Note: MDPI stays neutral with regard to jurisdictional claims in published maps and institutional affiliations. |
© 2020 by the authors. Licensee MDPI, Basel, Switzerland. This article is an open access article distributed under the terms and conditions of the Creative Commons Attribution (CC BY) license (http://creativecommons.org/licenses/by/4.0/).
Share and Cite
Ye, X.; Zou, M.; Chen, J. Characterization of Crater Area in a Target Penetrated by a Wf/Zr-Based Amorphous Matrix Composite Projectile. Materials 2020, 13, 5523. https://doi.org/10.3390/ma13235523
Ye X, Zou M, Chen J. Characterization of Crater Area in a Target Penetrated by a Wf/Zr-Based Amorphous Matrix Composite Projectile. Materials. 2020; 13(23):5523. https://doi.org/10.3390/ma13235523
Chicago/Turabian StyleYe, Xianghai, Minming Zou, and Jiankang Chen. 2020. "Characterization of Crater Area in a Target Penetrated by a Wf/Zr-Based Amorphous Matrix Composite Projectile" Materials 13, no. 23: 5523. https://doi.org/10.3390/ma13235523
APA StyleYe, X., Zou, M., & Chen, J. (2020). Characterization of Crater Area in a Target Penetrated by a Wf/Zr-Based Amorphous Matrix Composite Projectile. Materials, 13(23), 5523. https://doi.org/10.3390/ma13235523
