Effects of Deposition and Annealing Temperature on the Structure and Optical Band Gap of MoS2 Films
Abstract
1. Introduction
2. Materials and Methods
3. Results and Discussion
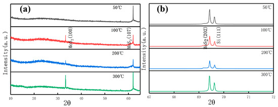
3.1. Structure Analysis of the MoS2 Films
3.2. Optical Band Gap of MoS2 Films
4. Conclusions
Author Contributions
Funding
Conflicts of Interest
References
- Scharf, T.W.; Kotula, P.G.; Prasad, S.V. Friction and wear mechanisms in MoS2/Sb2O3/Au nanocomposite coatings. Acta Mater. 2010, 58, 4100–4109. [Google Scholar] [CrossRef]
- Scharf, T.W.; Rajendran, A.M.; Banerjee, R.K.; Sequeda, F. Growth, structure and friction behavior of titanium doped tungsten disulphide (Ti-WS2) nanocomposite thin films. Thin Solid Film. 2009, 517, 5666–5675. [Google Scholar] [CrossRef]
- Ai, K.; Ruan, C.; Shen, M.; Lu, L. MoS2Nanosheets with Widened Interlayer Spacing for High-Efficiency Removal of Mercury in Aquatic Systems. Adv. Funct. Mater. 2016, 26, 5542–5549. [Google Scholar] [CrossRef]
- Gonzalez, G.A.; Alvarado, M.; Ramos, M.A.; Berhault, G.; Chianelli, R.R. Transition states energies for catalytic hydrodesulfurization reaction in Co9S8/MoS2 theoretical interface using computer-assisted simulations. Comput. Mater. Sci. 2016, 121, 240–247. [Google Scholar] [CrossRef]
- Kaindl, R.; Bayer, B.C.; Resel, R.; Müller, T.; Skakalova, V.; Habler, G.; Abart, R.; Cherevan, A.S.; Eder, D.; Blatter, M.; et al. Growth, structure and stability of sputter-deposited MoS2 thin films. Beilstein J. Nanotechnol. 2017, 8, 1115–1126. [Google Scholar] [CrossRef]
- Tyagi, S.; Kumar, A.; Kumar, M.; Singh, B.P. Large area vertical aligned MoS2 layers toward the application of thin film transistor. Mater. Lett. 2019, 250, 64–67. [Google Scholar] [CrossRef]
- Singh, H.; Mutyala, K.; Evans, R.D.; Doll, G.L. An investigation of material and tribological properties of Sb2O3/Au-doped MoS2 solid lubricant films under sliding and rolling contact in different environments. Surf. Coat. Technol. 2015, 284, 281–289. [Google Scholar] [CrossRef]
- Gong, C.; Xiao, J.; Zhu, L.; Qi, M.; Ma, S. Crystal structure and tribological properties of molybdenum disulfide films prepared by magnetron sputtering technology. Curr. Appl. Phys. 2019, 19, 1318–1324. [Google Scholar] [CrossRef]
- Wang, J.; Deng, S.; Liu, Z.; Liu, Z. The rare two-dimensional materials with Dirac cones. Natl. Sci. Rev. 2015, 2, 22–39. [Google Scholar] [CrossRef]
- Li, Q.; Tang, L.; Zhang, C.; Wang, D.; Chen, Q.-J.; Feng, Y.; Tang, L.; Chen, K.-Q. Seeking the Dirac cones in the MoS2/WSe2 van der Waals heterostructure. Appl. Phys. Lett. 2017, 111, 171602. [Google Scholar] [CrossRef]
- Zhang, Y.; Zhuang, Y.; Liu, L.; Qiu, P.; Su, L.; Teng, X.; Fu, G.; Yu, W. The microstructure evolution during MoS2 films growth and its influence on the MoS2 optical-electrical properties in MoS2/p-Si heterojunction solar cells. Superlattices Microstruct. 2020, 137, 106352. [Google Scholar] [CrossRef]
- Chang, H.Y.; Yang, S.; Lee, J.; Tao, L.; Hwang, W.S.; Jena, D.; Lu, N. Akinwande, High-Performance, Highly Bendable MoS2 Transistors with High-K Dielectrics for Flexible Low-Power Systems. ACS Nano 2013, 7, 5446–5452. [Google Scholar] [CrossRef] [PubMed]
- Kim, S.; Konar, A.; Hwang, W.-S.; Lee, J.H.; Lee, J.; Yang, J.; Jung, C.; Kim, H.; Yoo, J.; Choi, J.Y.; et al. High-mobility and low-power thin-film transistors based on multilayer MoS2 crystals. Nat. Commun. 2012, 3, 1011. [Google Scholar] [CrossRef] [PubMed]
- Zhang, S.; Li, R.; Yao, Z.; Liao, P.; Li, Y.; Tian, H.; Wang, J.; Liu, P.; Guo, J.; Liu, K.; et al. Laser annealing towards high-performance monolayer MoS2 and WSe2 field effect transistors. Nanotechnology 2020, 31, 30LT02. [Google Scholar] [CrossRef]
- Guo, J.; Yang, B.; Zheng, Z.; Jiang, J. Observation of abnormal mobility enhancement in multilayer MoS2 transistor by synergy of ultraviolet illumination and ozone plasma treatment. Phys. E Low-Dimens. Syst. Nanostruct. 2017, 87, 150–154. [Google Scholar] [CrossRef]
- Wang, Y.; Ou, J.Z.; Balendhran, S.; Chrimes, A.F.; Mortazavi, M.; Yao, D.D.; Field, M.R.; Latham, K.; Bansal, V.; Friend, J.R.; et al. Electrochemical Control of Photoluminescence in Two-Dimensional MoS2 Nanoflakes. ACS Nano 2013, 7, 10083–10093. [Google Scholar] [CrossRef]
- Arzate, N.; Mendoza, B.S.; Nava, R.A.V.A. Optical spin injection in MoS2 monolayers. Phys. Rev. B 2016, 93, 115433. [Google Scholar] [CrossRef]
- Ocak, Y.S.; Bozkaplan, C.; Ahmed, H.S.; Tombak, A.; Genisel, M.F.; Asubay, S. Temperature dependent electrical characterization of RF sputtered MoS2/n-Si heterojunction. Optik 2017, 142, 644–650. [Google Scholar] [CrossRef]
- Sun, J.; Li, X.; Guo, W.; Zhao, M.; Fan, X.; Dong, Y.; Xu, C.; Deng, J.; Fu, Y. Synthesis Methods of Two-Dimensional MoS2: A Brief Review. Crystalsvolume 2017, 7, 198. [Google Scholar] [CrossRef]
- Sharma, I.; Batra, Y.; Flauraud, V.; Brugger, J.; Mehta, B.R. Growth of Large-Area 2D MoS2 Arrays at Pre-Defined Locations Using Stencil Mask Lithography. J. Nanosci. Nanotechnol. 2018, 18, 1824–1832. [Google Scholar] [CrossRef]
- Kim, D.; Jo, Y.; Jung, D.H.; Lee, J.S.; Kim, T. Electrical and Optical Characteristics of Two-Dimensional MoS2 Film Grown by Metal-Organic Chemical Vapor Deposition. J. Nanosci. Nanotechnol. 2020, 20, 3563–3567. [Google Scholar] [CrossRef] [PubMed]
- Fan, R.; Mao, J.; Yin, Z.; Jie, J.; Dong, W.; Fang, L.; Zheng, F.; Shen, M. Efficient and Stable Silicon Photocathodes Coated with a Vertically Standing Nano-MoS2 Films for Solar Hydrogen Production. ACS Appl. Mater. Interfaces 2017, 9, 6123–6129. [Google Scholar] [CrossRef] [PubMed]
- Hussain, S.; Shehzad, M.A.; Vikraman, D.; Khan, M.F.; Singh, J.; Choi, D.-C.; Seo, Y.; Eom, J.; Lee, W.-G.; Jung, J. Synthesis and characterization of large-area and continuous MoS2atomic layers by RF magnetron sputtering. Nanoscale 2016, 8, 4340–4347. [Google Scholar] [CrossRef] [PubMed]
- Yu, Y.; Ji, Z.; Zu, S.; Du, B.; Kang, Y.; Li, Z.; Zhou, Z.; Shi, K.; Fang, Z. Ultrafast Plasmonic Hot Electron Transfer in Au Nanoantenna/MoS2Heterostructures. Adv. Funct. Mater. 2016, 26, 6394–6401. [Google Scholar] [CrossRef]
- López, D.E.; Niu, Y.; Yin, J.; Cooke, K.; Rees, N.V.; Palmer, R.E. Enhancement of the Hydrogen Evolution Reaction from Ni-MoS2 Hybrid Nanoclusters. ACS Catal. 2016, 6, 6008–6017. [Google Scholar] [CrossRef]
- Tao, J.; Chai, J.; Lu, X.; Wong, L.M.; Wong, T.I.; Pan, J.; Xiong, Q.; Chi, D.; Wang, S. Growth of wafer-scale MoS2 monolayer by magnetron sputtering. Nanoscale 2015, 7, 2497–2503. [Google Scholar] [CrossRef]
- Wang, L.; Jie, J.; Shao, Z.; Zhang, Q.; Zhang, X.; Wang, Y.; Sun, Z.; Lee, S.-T. MoS2/Si Heterojunction with Vertically Standing Layered Structure for Ultrafast, High-Detectivity, Self-Driven Visible-Near Infrared Photodetectors. Adv. Funct. Mater. 2015, 25, 2910–2919. [Google Scholar] [CrossRef]
- Schultz, D.M.; Yoon, T.P. Solar Synthesis: Prospects in Visible Light Photocatalysis. Science 2014, 343, 1239176. [Google Scholar] [CrossRef]
- Ding, S.-S.; Huang, W.-Q.; Yang, Y.-C.; Zhou, B.-X.; Hu, W.-Y.; Long, M.; Peng, P.; Huang, G.-F. Dual role of monolayer MoS2 in enhanced photocatalytic performance of hybrid MoS2/SnO2 nanocomposite. J. Appl. Phys. 2016, 119, 205704. [Google Scholar] [CrossRef]
- Li, X.; Li, X.; Zang, X.; Zhu, M.; He, Y.; Wang, K.; Xie, D.; Zhu, H. Role of hydrogen in the chemical vapor deposition growth of MoS2 atomic layers. Nanoscale 2015, 7, 8398–8404. [Google Scholar] [CrossRef]
- Qi, M.; Xiao, J.; Gong, C. Thermal annealing effects on the electrophysical characteristics of sputtered MoS2 thin films by Hall effect measurements. Semicond. Sci. Technol. 2019, 34, 045017. [Google Scholar] [CrossRef]
- Jiang, J.; Zheng, Z.; Guo, J. Tuning the hysteresis voltage in 2D multilayer MoS2 FETs. Phys. B Condens. Matter 2016, 498, 76–81. [Google Scholar] [CrossRef]
- Ren, X.; Qi, X.; Shen, Y.; Xiao, S.; Xu, G.; Zhang, Z.; Huang, Z.; Zhong, J. 2D co-catalytic MoS2 nanosheets embedded with 1D TiO2nanoparticles for enhancing photocatalytic activity. J. Phys. D Appl. Phys. 2016, 49, 315304. [Google Scholar] [CrossRef]
- Zhang, X.; Zhang, Y.; Yu, B.-B.; Yin, X.-L.; Jiang, W.-J.; Jiang, Y.; Hu, J.-S.; Wan, L.-J. Physical vapor deposition of amorphous MoS2 nanosheet arrays on carbon cloth for highly reproducible large-area electrocatalysts for the hydrogen evolution reaction. J. Mater. Chem. A 2015, 3, 19277–19281. [Google Scholar] [CrossRef]
- Zhou, L.; Xia, T.; Cao, T.; Wang, L.; Chen, Y.; Li, S.; Wang, R.; Guo, H. Morphology/phase-dependent MoS2 nanostructures for high-efficiency electrochemical activity. J. Alloys Compd. 2020, 818, 152909. [Google Scholar] [CrossRef]
- Kim, H.-S.; Kumar, M.M.D.; Kim, J.; Lim, D. Vertical growth of MoS2 layers by sputtering method for efficient photoelectric application. Sens. Actuators A Phys. 2018, 269, 355–362. [Google Scholar] [CrossRef]
- Hao, S.; Gao, Y.; Yang, B. Controllable growth and electrostatic properties of Bernal stacked bilayer MoS2. J. Appl. Phys. 2016, 120, 124310. [Google Scholar] [CrossRef]
- Li, Z.; Jiang, S.; Huo, Y.; Liu, M.; Yang, C.; Zhang, C.; Liu, X.; Sheng, Y.; Li, C.; Man, B. Controlled-layer and large-area MoS2 films encapsulated Au nanoparticle hybrids for SERS. Opt. Express 2016, 24, 26097–26108. [Google Scholar] [CrossRef]
- Murugesan, D.; Prakash, S.; Ponpandian, N.; Manisankar, P.; Viswanathan, C. Two dimensional α-MoO3 nanosheets decorated carbon cloth electrodes for high-performance supercapacitors. Colloids Surf. A Physicochem. Eng. Asp. 2019, 569, 137–144. [Google Scholar] [CrossRef]
- Kite, S.V.; Chate, P.A.; Garadkar, K.M.; Sathe, D.J. Effect of annealing temperature on properties of molybdenum disulfide thin films. J. Mater. Sci. Mater. Electron. 2017, 28, 16148–16154. [Google Scholar] [CrossRef]
- Hossain, A.; Merzougui, B.A.; Alharbi, F.H.; Tabet, N. Electrochemical deposition of bulk MoS2 thin films for photovoltaic applications. Sol. Energy Mater. Sol. Cells 2018, 186, 165–174. [Google Scholar] [CrossRef]
- Eda, G.; Yamaguchi, H.; Voiry, D.; Fujita, T.; Chen, M.; Chhowalla, M. Photoluminescence from Chemically Exfoliated MoS2. Nano Lett. 2011, 11, 5111–5116. [Google Scholar] [CrossRef] [PubMed]
- Lianren, H.; Yumei, R.; Hongxia, Y.; Qun, X. Fabrication of 3D Hierarchical MoS2/Polyaniline and MoS2/C Architectures for Lithium-Ion Battery Applications. ACS Appl. Mater. Interfaces 2014, 6, 14644–14652. [Google Scholar]
- Heo, S.N.; Ishiguro, Y.; Hayakawa, R.; Chikyow, T.; Wakayama, Y. Perspective: Highly ordered MoS2 thin films grown by multi-step chemical vapor deposition process. APL Mater. 2016, 4, 030901. [Google Scholar] [CrossRef]
- Shimizu, J.; Ohashi, T.; Matsuura, K.; Muneta, I.; Kakushima, K.; Tsutsui, K.; Wakabayashi, H. High-mobility and low-carrier-density sputtered MoS2film formed by introducing residual sulfur during low-temperature in 3%-H2annealing for three-dimensional ICs. Jpn. J. Appl. Phys. 2017, 56, 04CP06. [Google Scholar] [CrossRef]
- Hao, S.; Yang, B.; Yuan, J.; Gao, Y. Substrate induced anomalous electrostatic and photoluminescence propeties of monolayer MoS2 edges. Solid State Commun. 2017, 249, 1–6. [Google Scholar] [CrossRef]
- Singh, R.; Shweta, T. Structural and optical properties of few-layer MoS2 thin films grown on various substrates using RF sputtering process. J. Mater. Sci. Mater. Electron. 2019, 30, 7665–7680. [Google Scholar] [CrossRef]
- Benavente, E.; Ana, M.A.S.; Mendiza’bal, F.; Gonza´lez, G. Intercalation chemistry of molybdenum disulfide. Coord. Chem. Rev. 2002, 224, 87–109. [Google Scholar] [CrossRef]
- Coulter, J.; Birnie, D.P. Assessing Tauc Plot Slope Quantification: ZnO Thin Films as a Model System. Phys. Status Solidi 2018, 255, 1700393. [Google Scholar] [CrossRef]
- Xiao, J.; Qi, M.; Cheng, Y.; Jiang, A.; Zeng, Y.; Ma, J. Influences of nitrogen partial pressure on the optical properties of copper nitride films. RSC Adv. 2016, 6, 40895–40899. [Google Scholar] [CrossRef]








Publisher’s Note: MDPI stays neutral with regard to jurisdictional claims in published maps and institutional affiliations. |
© 2020 by the authors. Licensee MDPI, Basel, Switzerland. This article is an open access article distributed under the terms and conditions of the Creative Commons Attribution (CC BY) license (http://creativecommons.org/licenses/by/4.0/).
Share and Cite
Chen, G.; Lu, B.; Cui, X.; Xiao, J. Effects of Deposition and Annealing Temperature on the Structure and Optical Band Gap of MoS2 Films. Materials 2020, 13, 5515. https://doi.org/10.3390/ma13235515
Chen G, Lu B, Cui X, Xiao J. Effects of Deposition and Annealing Temperature on the Structure and Optical Band Gap of MoS2 Films. Materials. 2020; 13(23):5515. https://doi.org/10.3390/ma13235515
Chicago/Turabian StyleChen, Gongying, Benchu Lu, Xinyu Cui, and Jianrong Xiao. 2020. "Effects of Deposition and Annealing Temperature on the Structure and Optical Band Gap of MoS2 Films" Materials 13, no. 23: 5515. https://doi.org/10.3390/ma13235515
APA StyleChen, G., Lu, B., Cui, X., & Xiao, J. (2020). Effects of Deposition and Annealing Temperature on the Structure and Optical Band Gap of MoS2 Films. Materials, 13(23), 5515. https://doi.org/10.3390/ma13235515

