Resistance to Ultraviolet Aging of Nano-SiO2 and Rubber Powder Compound Modified Asphalt
Abstract
1. Introduction
2. Materials and Methods
2.1. Physical Properties of Raw Materials
2.2. Preparation of Modified Asphalt
2.3. Property Evaluation Tests and Aging Tests
2.4. Evaluation Indexes of UV Aging
3. Results Discussion of Original Asphalt without UV Aging
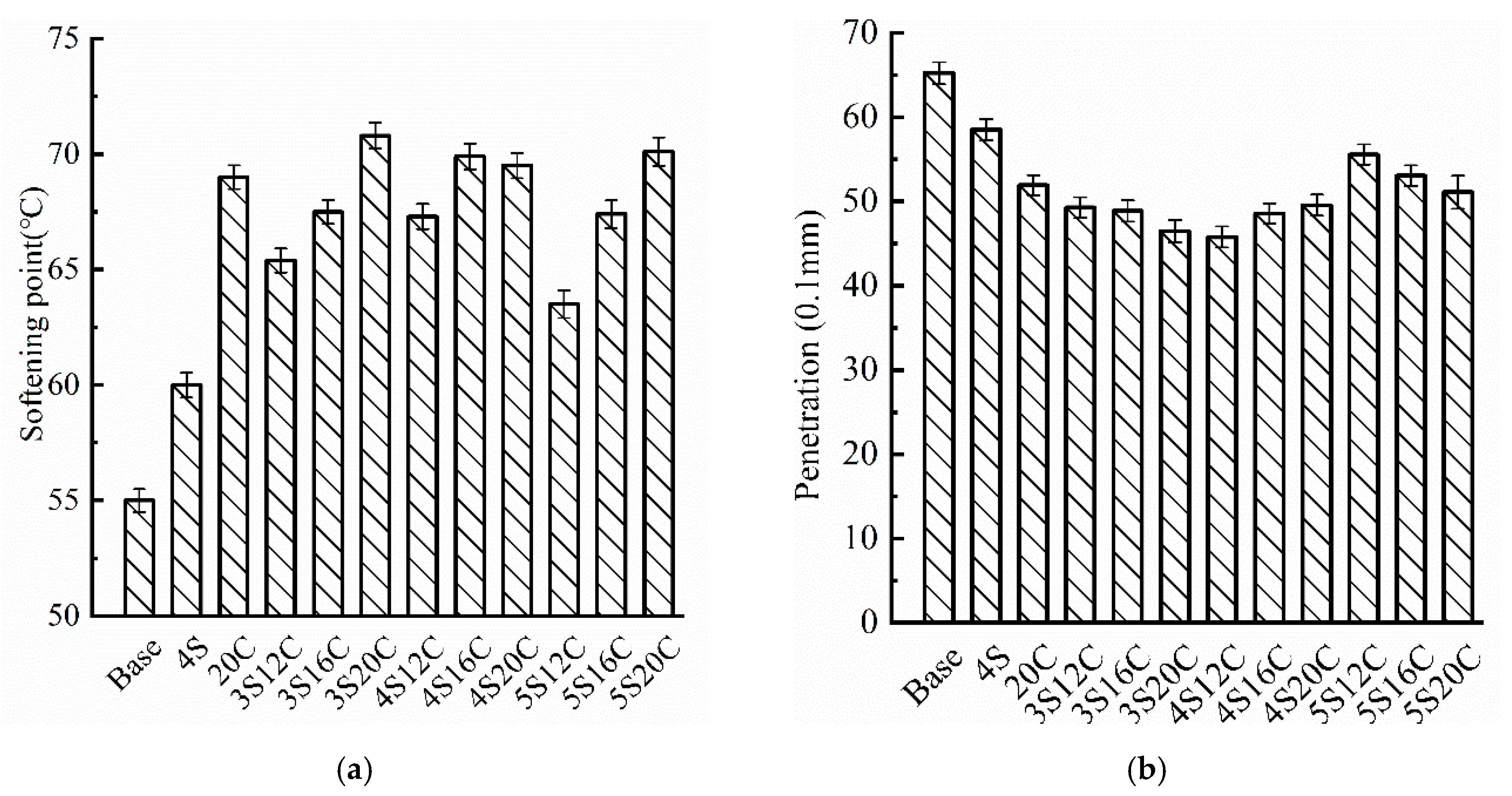
3.1. Fundamental Properties
3.2. Rheological Properties
3.2.1. Brookfield Viscosity Test
3.2.2. Dynamic Shear Rheometer Test
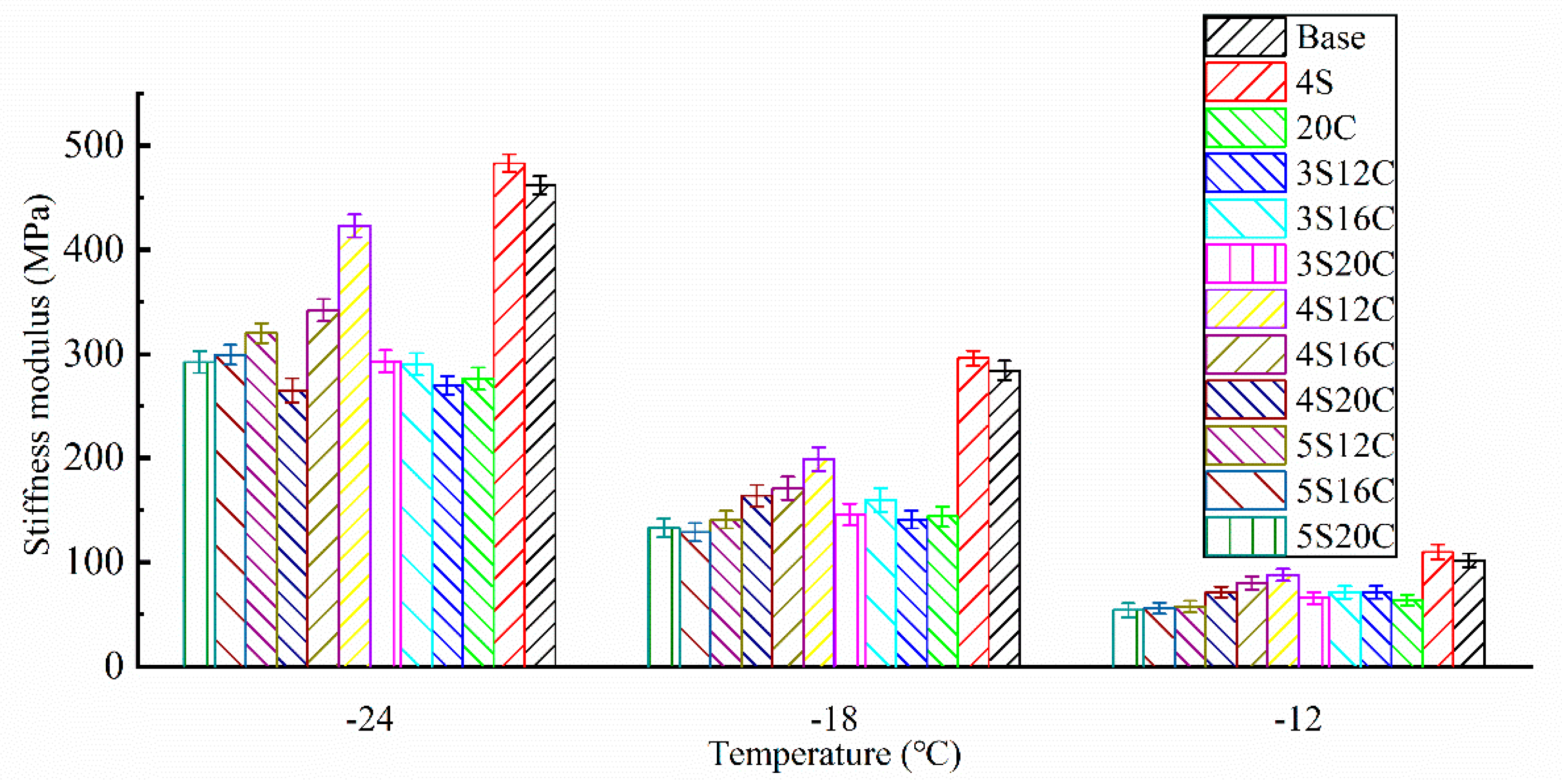
3.2.3. Bending Beam Rheometer Test
4. Result Discussion of UV Aging Asphalt
4.1. Evaluation Indexes of Basic Properties
4.2. Evaluation Indexes of Rheological Properties
4.2.1. Brookfield Viscosity Aging Index
4.2.2. Complex Modulus Aging Index
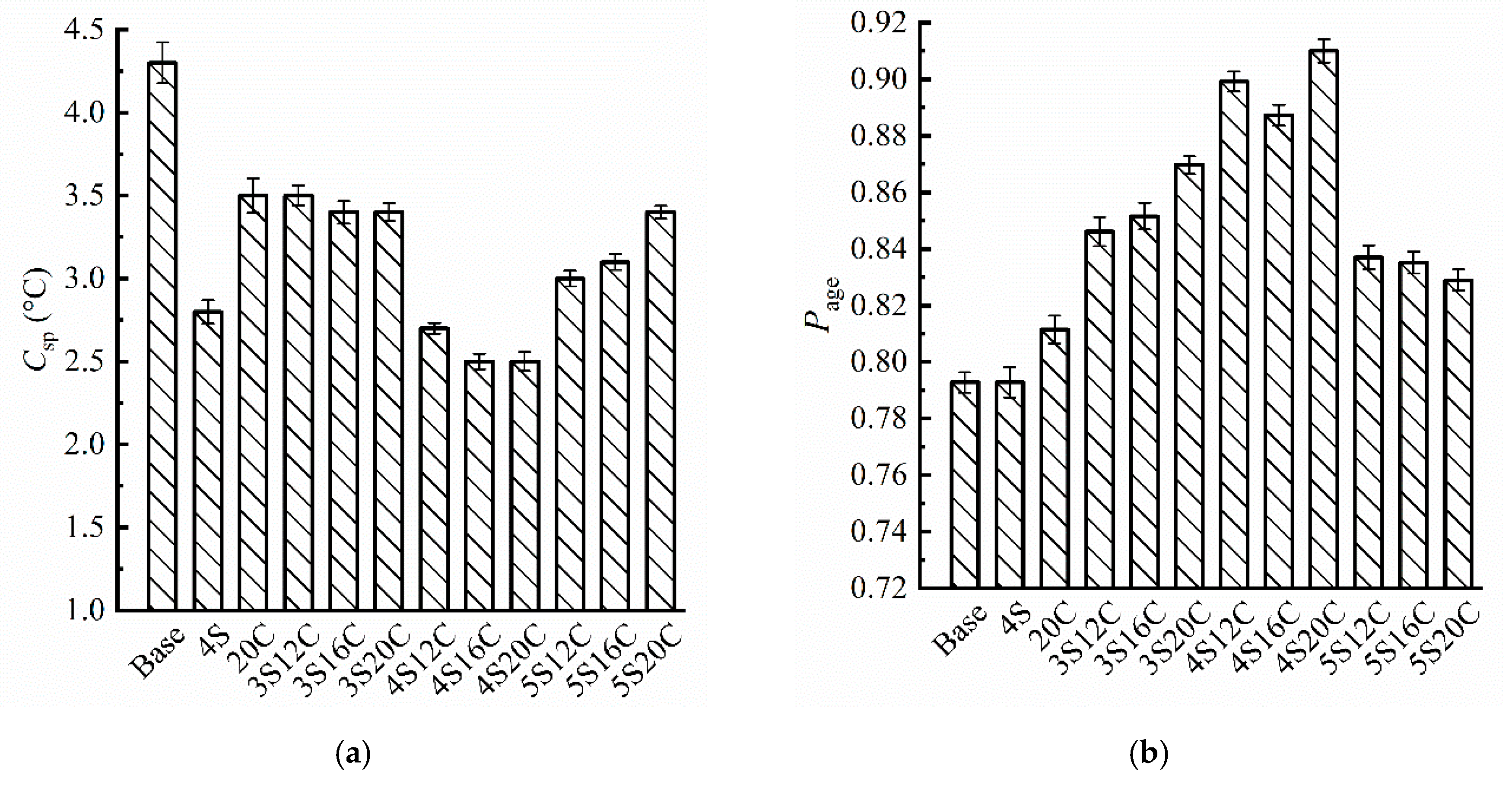
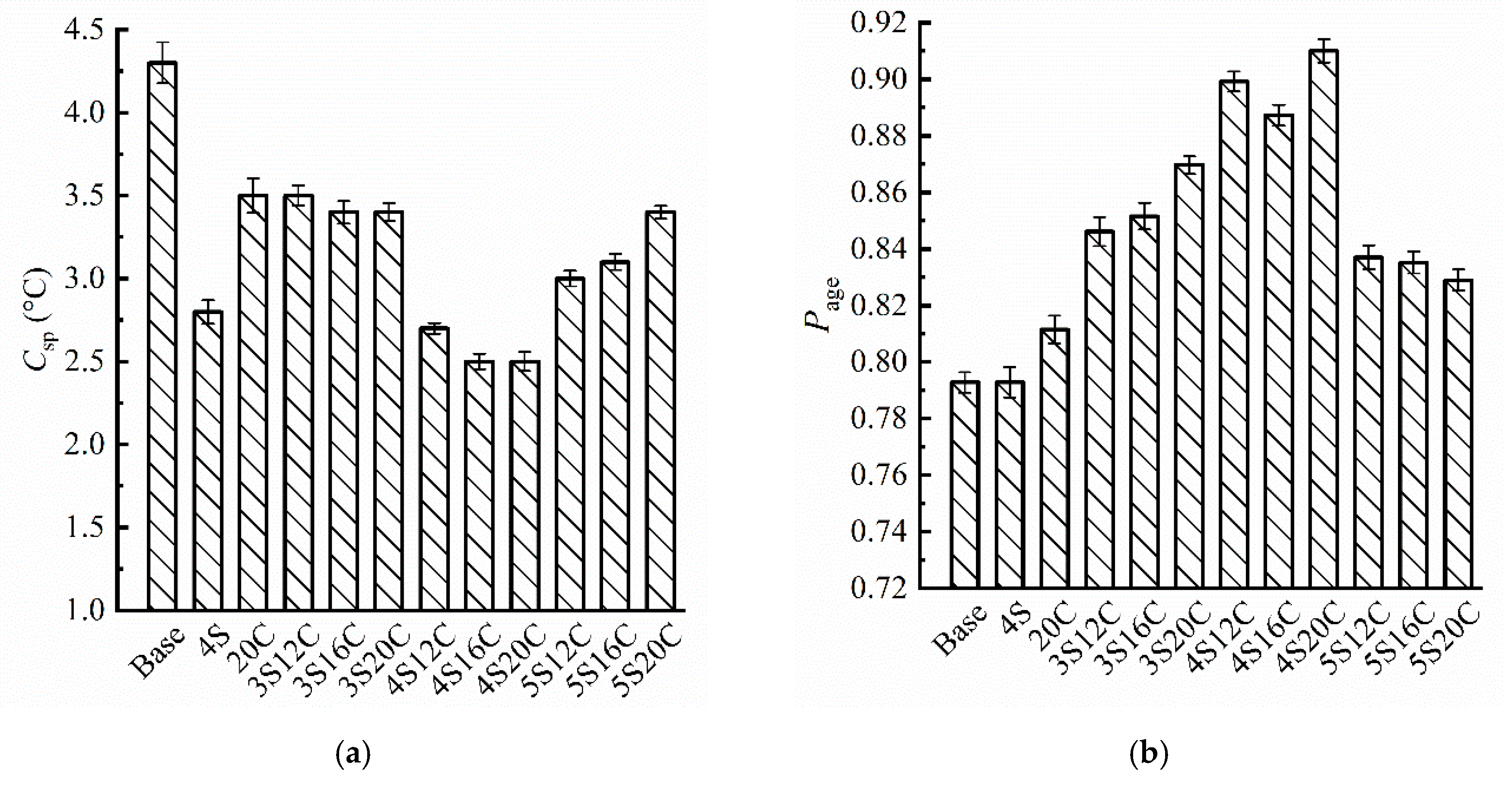
4.2.3. Stiffness Modulus Aging Index
5. Conclusions
Author Contributions
Funding
Acknowledgments
Conflicts of Interest
References
- Ghavibazoo, A.; Abdelrahman, M.; Ragab, M. Effect of Crumb Rubber Modifier Dissolution on Storage Stability of Crumb Rubber–Modified Asphalt. Transp. Res. Rec. J. Transp. Res. Board 2013, 2370, 109–115. [Google Scholar] [CrossRef]
- Jin, J.; Liu, L.; Liu, R.; Wei, H.; Qian, G.; Zheng, J.; Xie, W.; Lin, F.; Xie, J. Preparation and thermal performance of binary fatty acid with diatomite as form-stable composite phase change material for cooling asphalt pavements. Constr. Build. Mater. 2019, 226, 616–624. [Google Scholar] [CrossRef]
- Liu, H.; Yang, X.; Jiang, L.; You, L.; Huang, T.; Yang, Y. Fatigue-creep damage interaction model of asphalt mixture under the semi-sine cycle loading. Constr. Build. Mater. 2020, 251, 119070. [Google Scholar] [CrossRef]
- Wang, D.; Falchetto, A.C.; Riccardi, C.; Poulikakos, L.; Hofko, B.; Porot, L.; Wistuba, M.P.; Baaj, H.; Mikhailenko, P.; Moon, K.H. Investigation on the combined effect of aging temperatures and cooling medium on rheological properties of asphalt binder based on DSR and BBR. Road Mater. Pavement Des. 2019, 20, S409–S433. [Google Scholar] [CrossRef]
- Qian, G.; Yu, H.; Jin, D.; Bai, X.; Gong, X. Different water environment coupled with ultraviolet radiation on ageing of asphalt binder. Road Mater. Pavement Des. 2020, 1–14. [Google Scholar] [CrossRef]
- Koyun, A.; Büchner, J.; Wistuba, M.P.; Grothe, H. Rheological, spectroscopic and microscopic assessment of asphalt binder ageing. Road Mater. Pavement Des. 2020, 1–18. [Google Scholar] [CrossRef]
- Yu, H.; Bai, X.; Qian, G.; Wei, H.; Gong, X.; Jin, J.; Li, Z. Impact of Ultraviolet Radiation on the Aging Properties of SBS-Modified Asphalt Binders. Polymers 2019, 11, 1111. [Google Scholar] [CrossRef] [PubMed]
- Jin, J.; Tan, Y.; Liu, R.; Zheng, J.; Zhang, J. Synergy Effect of Attapulgite, Rubber, and Diatomite on Organic Montmorillonite-Modified Asphalt. J. Mater. Civ. Eng. 2019, 31, 04018388. [Google Scholar] [CrossRef]
- Cheraghian, G.; Wu, Q.; Mostofi, M.; Li, M.-C.; Afrand, M.; Sangwai, S.J. Effect of a novel clay/silica nanocomposite on water-based drilling fluids: Improvements in rheological and filtration properties. Colloids Surfaces A Physicochem. Eng. Asp. 2018, 555, 339–350. [Google Scholar] [CrossRef]
- Yang, J.; Tighe, S.L. A Review of Advances of Nanotechnology in Asphalt Mixtures. Procedia Soc. Behav. Sci. 2013, 96, 1269–1276. [Google Scholar] [CrossRef]
- Yu, J.; Ren, Z.; Yu, H.; Wang, D.; Svetlana, S.; Korolev, E.; Gao, Z.; Guo, F. Modification of Asphalt Rubber with Nanoclay towards Enhanced Storage Stability. Materials 2018, 11, 2093. [Google Scholar] [CrossRef] [PubMed]
- Jin, J.; Chen, B.; Liu, L.; Liu, R.; Qian, G.; Wei, H.; Zheng, J.-L. A Study on Modified Bitumen with Metal Doped Nano-TiO2 Pillared Montmorillonite. Materials 2019, 12, 1910. [Google Scholar] [CrossRef] [PubMed]
- Cheraghian, G.; Falchetto, A.C.; You, Z.; Chen, S.; Kim, Y.S.; Westerhoff, J.; Moon, K.H.; Wistuba, M.P. Warm mix asphalt technology: An up to date review. J. Clean. Prod. 2020, 268, 122128. [Google Scholar] [CrossRef]
- Zhang, L.; Hajikarimi, P.; Rahi, M.; Nejad, F.M. Physiochemical, Rheological, and Oxidative Aging Characteristics of Asphalt Binder in the Presence of Mesoporous Silica Nanoparticles. J. Mater. Civ. Eng. 2016, 28, 04015133. [Google Scholar] [CrossRef]
- Cheraghian, G.; Wistuba, M.P. Ultraviolet aging study on bitumen modified by a composite of clay and fumed silica nanoparticles. Sci. Rep. 2020, 10, 1–17. [Google Scholar] [CrossRef]
- Yao, H.; You, Z.; Li, L.; Lee, C.H.; Wingard, D.; Yap, Y.K.; Shi, X.; Goh, S.W. Rheological Properties and Chemical Bonding of Asphalt Modified with Nanosilica. J. Mater. Civ. Eng. 2013, 25, 1619–1630. [Google Scholar] [CrossRef]
- Shafabakhsh, G.; Mirabdolazimi, S.; Sadeghnejad, M. Evaluation the effect of nano-TiO2 on the rutting and fatigue behavior of asphalt mixtures. Constr. Build. Mater. 2014, 54, 566–571. [Google Scholar] [CrossRef]
- Shafabakhsh, G.; Ani, O.J. Experimental investigation of effect of Nano TiO2/SiO2 modified bitumen on the rutting and fatigue performance of asphalt mixtures containing steel slag aggregates. Constr. Build. Mater. 2015, 98, 692–702. [Google Scholar] [CrossRef]
- Qian, G.; Yu, H.; Gong, X.; Zhao, L. Impact of Nano-TiO2 on the NO2 degradation and rheological performance of asphalt pavement. Constr. Build. Mater. 2019, 218, 53–63. [Google Scholar] [CrossRef]
- Ashish, P.K.; Singh, D. Development of empirical model for predicting G∗/Sinδ and viscosity value for nanoclay and Carbon Nano Tube modified asphalt binder. Constr. Build. Mater. 2018, 165, 363–371. [Google Scholar] [CrossRef]
- Wang, T.; Xiao, F.; Zhu, X.; Huang, B.; Wang, J.; Amirkhanian, S. Energy consumption and environmental impact of rubberized asphalt pavement. J. Clean. Prod. 2018, 180, 139–158. [Google Scholar] [CrossRef]
- Xiang, L.; Cheng, J.; Kang, S. Thermal oxidative aging mechanism of crumb rubber/SBS composite modified asphalt. Constr. Build. Mater. 2015, 75, 169–175. [Google Scholar] [CrossRef]
- Pang, L.; Liu, K.; Wu, S.; Lei, M.; Chen, Z. Effect of LDHs on the aging resistance of crumb rubber modified asphalt. Constr. Build. Mater. 2014, 67, 239–243. [Google Scholar] [CrossRef]
- Xiao, F.; Amirkhanian, S.; Putman, B.; Shen, J. Laboratory investigation of engineering properties of rubberized asphalt mixtures containing reclaimed asphalt pavement. Can. J. Civ. Eng. 2010, 37, 1414–1422. [Google Scholar] [CrossRef]
- Ma, Y.; Hu, W.; Polaczyk, P.A.; Han, B.; Xiao, R.; Zhang, M.; Huang, B. Rheological and aging characteristics of the recycled asphalt binders with different rejuvenator incorporation methods. J. Clean. Prod. 2020, 262, 121249. [Google Scholar] [CrossRef]
- Saltan, M.; Terzi, S.; Karahancer, S. Examination of hot mix asphalt and binder performance modified with nano silica. Constr. Build. Mater. 2017, 156, 976–984. [Google Scholar] [CrossRef]
- Saltan, M.; Terzi, S.; Karahancer, S. Performance analysis of nano modified bitumen and hot mix asphalt. Constr. Build. Mater. 2018, 173, 228–237. [Google Scholar] [CrossRef]
- Bhat, F.S.; Mir, M.S. Performance evaluation of nanosilica-modified asphalt binder. Innov. Infrastruct. Solutions 2019, 4, 63. [Google Scholar] [CrossRef]
- Shi, X.; Cai, L.; Xu, W.; Fan, J.; Wang, X. Effects of nano-silica and rock asphalt on rheological properties of modified bitumen. Constr. Build. Mater. 2018, 161, 705–714. [Google Scholar] [CrossRef]
- Rezaei, S.; Ziari, H.; Nowbakht, S. Low temperature functional analysis of bitumen modified with composite of nano-SiO 2 and styrene butadiene styrene polymer. Pet. Sci. Technol. 2016, 34, 415–421. [Google Scholar] [CrossRef]
- Tanzadeh, J.; Shahrezagamasaei, R. Laboratory Assessment of Hybrid Fiber and Nano-silica on Reinforced Porous Asphalt Mixtures. Constr. Build. Mater. 2017, 144, 260–270. [Google Scholar] [CrossRef]
- Kiser, J.V.L. Asphalt rubber: Overcoming the obstacles. Scrap 2003, 46–52. [Google Scholar]
- Abdelmagid, A.A.A.; Feng, C.P. Evaluating the Effect of Rice-Husk Ash and Crumb-Rubber Powder on the High-Temperature Performance of Asphalt Binder. J. Mater. Civ. Eng. 2019, 31, 04019296. [Google Scholar] [CrossRef]
- Zhang, L.; Xing, C.; Gao, F.; Li, T.-S.; Tan, Y.-Q. Using DSR and MSCR tests to characterize high temperature performance of different rubber modified asphalt. Constr. Build. Mater. 2016, 127, 466–474. [Google Scholar] [CrossRef]
- Navarro, F.; Partal, P.; Martínez-Boza, F.; Valencia, C.; Gallegos, C. Rheological characteristics of ground tire rubber-modified bitumens. Chem. Eng. J. 2002, 89, 53–61. [Google Scholar] [CrossRef]
- Xuanrui, G. Research on the influence factors of asphalt rubber mixture fatigue performance. In Proceedings of the IEEE International Conference of Online Analysis and Computing Science (ICOACS), Chongqing, China, 28 May 2016. [Google Scholar]
- China Ministry of Transport. JT/T 798-2011 Asphalt Rubber for Highway Engineering; China Communications Press: Beijing, China, 2011.









| Items | Unit | Testing Result |
|---|---|---|
| Outer diameter | nm | 10~20 |
| Purity | weight, % | >99.8 |
| Molecular weight | — | 60.08 |
| PH | — | 5~7 |
| Tap density | m2/g | 250 |
| Items | Passing Rate | Water Content | Ash Content | Metal Content | Carbon Black Content | Rubber Hydrocarbon |
|---|---|---|---|---|---|---|
| Testing results | 97 | 0.72 | 7 | 0.004 | 30 | 34 |
| Limit | >96 | <1 | <8 | <0.01 | >28 | >30 |
| Specification code | GB/T1 9208-2008 | GB/T1 9208-2008 | GB/T4 498-1997 | GB/T1 9208-2008 | GB/T1 4837-1993 | GB/T1 4837-1993 |
| Items | Technical Limit | Test Result | Specification Code |
|---|---|---|---|
| Penetration (25 °C, 100 g, 5 s), 0.1mm | 60~80 | 65.2 | T0604 |
| Penetration index | −1.5~+1.0 | 0.73 | T0604 |
| Softening point, °C | ≥46 | 48 | T0606 |
| Density (15 °C), g/cm3 | — | 1.034 | T0603 |
| Ductility (15 °C, 5 cm/min), cm | ≥100 | >100 | T0605 |
| Wax content, % | ≤2.2 | 2 | T0615 |
| Dynamic viscosity (60 °C), Pa·s | ≥180 | 215 | T0620 |
Publisher’s Note: MDPI stays neutral with regard to jurisdictional claims in published maps and institutional affiliations. |
© 2020 by the authors. Licensee MDPI, Basel, Switzerland. This article is an open access article distributed under the terms and conditions of the Creative Commons Attribution (CC BY) license (http://creativecommons.org/licenses/by/4.0/).
Share and Cite
Qian, G.; Yang, C.; Huang, H.; Gong, X.; Yu, H. Resistance to Ultraviolet Aging of Nano-SiO2 and Rubber Powder Compound Modified Asphalt. Materials 2020, 13, 5067. https://doi.org/10.3390/ma13225067
Qian G, Yang C, Huang H, Gong X, Yu H. Resistance to Ultraviolet Aging of Nano-SiO2 and Rubber Powder Compound Modified Asphalt. Materials. 2020; 13(22):5067. https://doi.org/10.3390/ma13225067
Chicago/Turabian StyleQian, Guoping, Changdong Yang, Haidong Huang, Xiangbing Gong, and Huanan Yu. 2020. "Resistance to Ultraviolet Aging of Nano-SiO2 and Rubber Powder Compound Modified Asphalt" Materials 13, no. 22: 5067. https://doi.org/10.3390/ma13225067
APA StyleQian, G., Yang, C., Huang, H., Gong, X., & Yu, H. (2020). Resistance to Ultraviolet Aging of Nano-SiO2 and Rubber Powder Compound Modified Asphalt. Materials, 13(22), 5067. https://doi.org/10.3390/ma13225067

