Crystallization Kinetics of Modified Basalt Glass
Abstract
1. Introduction
2. Materials and Methods
2.1. Experimental Materials
2.2. Material Characterization
3. Results and Discussion
3.1. Petrographic Features of the Basalt Rocks
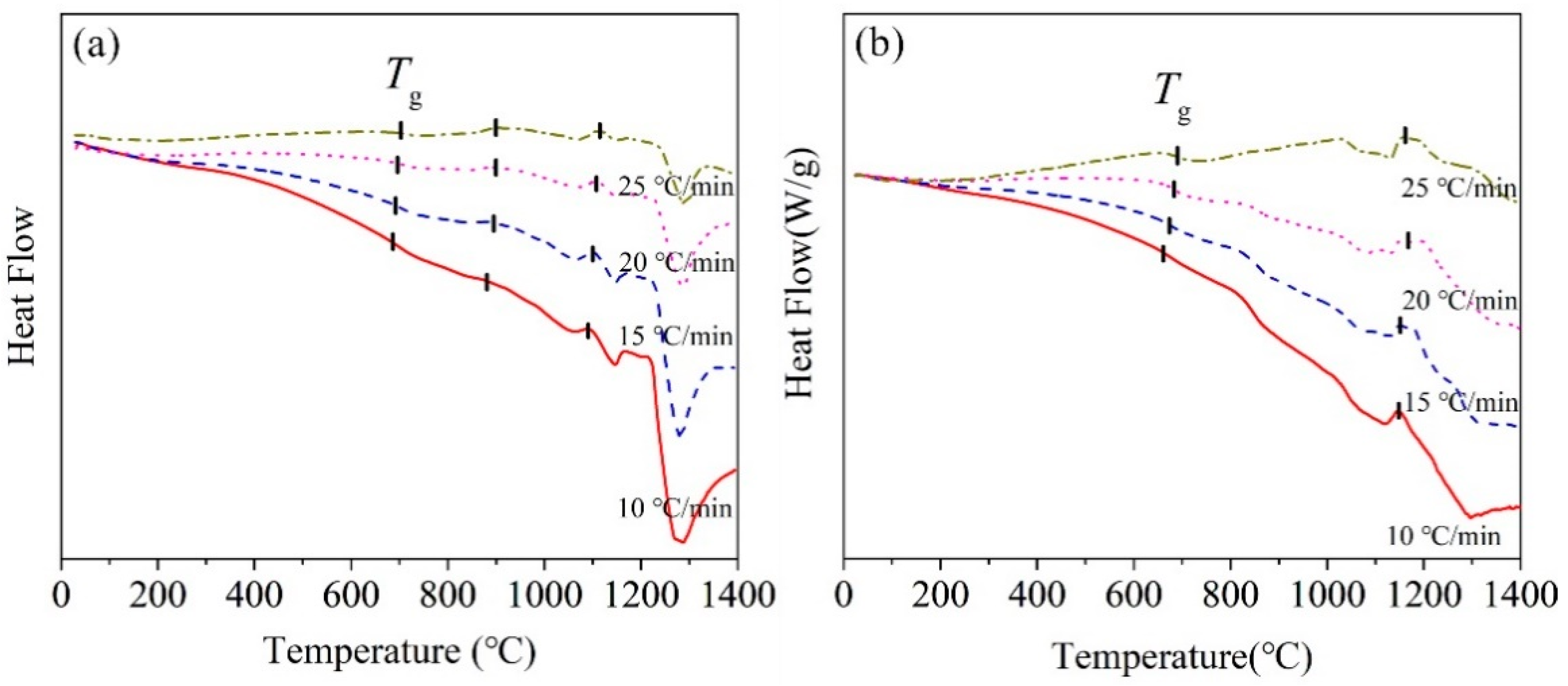
3.2. Crystallization Kinetics
3.3. XRD of Crystalline Phase
3.4. SEM of the Crystalline Phase
3.5. Discussion
4. Conclusions
Author Contributions
Funding
Conflicts of Interest
References
- Ding, B.M.; Zhang, L.; Liu, J.Q. Development trend of basalt fiber material industry in China. China Min. Mag. 2019, 28, 1–5. [Google Scholar]
- Fiore, V.; Scalici, T.; Bella, G.D.; Valenza, A. A review on basalt fibre and its composites. Compos. Part B 2015, 74, 74–94. [Google Scholar] [CrossRef]
- Liu, J.X.; Cui, Y.; Yang, J.P. The Effect of basalt components and mineral phase on high temperature melting process of basal. J. Yanshan Univ. 2017, 41, 323–328. [Google Scholar]
- Li, B.W.; Du, Y.S.; Zhang, X.F.; Jia, X.L.; Zhao, M.; Chen, H. Effects of iron oxide on the crystallization kinetics of Baiyunebo Tailing glass-ceramics. Trans. Indian Ceram. Soc. 2013, 72, 119–123. [Google Scholar]
- Yu, Q.C.; Yan, C.P.; Deng, Y. Effect of Fe2O3 on non-isothermal crystallization of CaO–MgO–Al2O3–SiO2 glass. Trans. Nonferrous Met. Soc. China 2015, 25, 2279–2284. [Google Scholar] [CrossRef]
- Kong, D.-Y.; Chen, L.-Z.; Lv, N.-W.; Tian, Q.B. Influence of Fe2O3 content on the crystallization of SiO2-Al2O3-MgO-F Glass Ceramic. J. Synth. Cryst. 2013, 8, 1649–1652. [Google Scholar] [CrossRef]
- Walker, D.; Kirkpatrick, R.J.; Longhi, J.; Hays, J.F. Crystallization history of lunar picritic basalt sample 12002: Phase-equilibria and cooling-rate studies. GSA Bull. 1976, 87, 646–656. [Google Scholar] [CrossRef]
- Namur, O.; Charlie, B.; Toplis, M.J.; Higgins, M.D.; Liégeois, J.P.; Jacqueline, V.A. Crystallization sequence and magma chamber processes in the Ferrobasaltic Sept Iles Layered Intrusion, Quebec, Canada. J. Petrol. 2010, 51, 1203–1236. [Google Scholar] [CrossRef]
- Tripoli, B.; Manga, M.; Mayeux, J.; Barnard, H. The Effects of deformation on the early crystallization kinetics of basaltic magmas. Front. Earth Sci. 2019, 7, 1–10. [Google Scholar] [CrossRef]
- Gu, Q.B.; Tang, L.Y.; Cheng, J.S. Study on crystallization properties of basalt melt. Fiberglass 2007, 5, 6–11. [Google Scholar]
- Fan, T.; Tong, Q.; Ye, W.L. Composition morphology and melting crystallization characteristics of basalt fiber minerals. J. Cent. South Univ. Sci. Technol. 2013, 10, 358–362. [Google Scholar]
- Tong, Q.; Fan, T.; Wang, H.M. Study on basalt characteristics and melting crystallization performance. China Non-Met. Miner. Ind. 2013, 6, 27–29. [Google Scholar]
- Yu, S.F.; Tan, L.; Sun, Z.H. Talking about the production technology and application of basalt continuous fiber. Fiberglass 2019, 4, 36–43. [Google Scholar]
- Liang, K.M.; Cheng, K.G.; Duan, R.G. Study on kinetics of non-isothermal crystallization of glass. Tsinghua Univ. Sci. Techol. 1998, 6, 97–101. (In Chinese) [Google Scholar]
- Zhao, H.S.; Zhou, W.C. Research progress of glass nucleation and crystallization. Mater. Rep. 2003, 17, 9–11. [Google Scholar]
- Wang, N.; Hou, S.; Jin, H.Y. Crystallization behavior of heat-treated basalt fiber. Adv. Mater. Res. 2012, 560, 3–7. [Google Scholar] [CrossRef]
- Gutnikov, S.I.; Manylov, M.S.; Lipatov, Y.V.; Lazoryak, B.I.; Pokholok, K.V. Effect of the reduction treatment on the basalt continuous fiber crystallization properties. J. Non-Cryst. Solids 2013, 368, 45–50. [Google Scholar] [CrossRef]
- Liu, H.P.; Huang, X.F.; Ma, L.P. Study on crystallization kinetics of yellow phosphorus slag glass-ceramics with different cooling methods. J. Synth. Cryst. 2016, 45, 1937–1942. [Google Scholar]
- Ozawa, T. Kinetics of non-isothermal crystallization. Polym. J. 1971, 12, 150–158. [Google Scholar] [CrossRef]
- Yang, Q.H.; Jiang, Z.A. The study of criterion for glass crystallization kinetics. J. Chin. Ceram. Soc. 1994, 22, 419–426. [Google Scholar]
- Wang, Y.C.; Yu, W.W.; Zhang, J.L. Crystallization kinetics and microstructure analysis of glass-ceramics from blast furnace slag of Baotou Steel. Trans. Mater. Heat Treat. 2014, 35, 88–93. [Google Scholar]
- Kelton, K.F. Analysis of crystallization kinetics. Mater. Sci. Eng. A Struct. Mater. Prop. Microstruct. Process. 1997, 226, 142–150. [Google Scholar] [CrossRef]
- Yinnon, H.; Uhlmann, D.R. Applications of thermoanalytical techniques to the study of crystallization kinetics in glass-forming liquids, part I: Theory. J. Non-Cryst. Solids 1983, 54, 253–275. [Google Scholar] [CrossRef]
- Henderson, D.W. Thermal analysis of non-isothermal crystallization kinetics in glass forming liquids. J. Non-Cryst. Solids 1979, 30, 301–315. [Google Scholar] [CrossRef]
- Fan, W.D.; Yang, Q.W.; Guo, B.; Liu, B.; Zhang, S.G. Crystallization mechanism of glass-ceramics prepared from stainless steel slag. Rare Met. 2018, 37, 1–8. [Google Scholar] [CrossRef]
- Li, B.C. Study on Heat Treatment System of Glass-Ceramics from Blast Furnace Slag of Baotou Steel. Master’s Thesis, Inner Mongolia University of Science and Technology, Baotou, China, June 2015. [Google Scholar]
- Cheng, K.G.; Wan, J.L.; Liang, K.M. Study on the crystallization kinetics of mica glass ceramics. J. Chin. Ceram. Soc. 1997, 25, 567–572. [Google Scholar]
- Vázquez, J.; González-Palma, R.; Villares, P.; Jimenez-Garay, R. Theoretical study on the glass–crystal transformation and deduction of its kinetic parameters by DSC, using non-isothermal regime. Physica B 2003, 336, 297–307. [Google Scholar] [CrossRef]
- Yin, H.R.; Lv, C.Z.; Li, H. Study on phase transition kinetics of zero expansion LAS transparent glass-ceramics with phosphorus. Funct. Mater. 2009, 40, 92–96. [Google Scholar]
- Lv, C.Z. Study on Phase Transition Mechanism of Low Expansion Li-Al-Si Transparent Glass-Ceramics. Master’s Thesis, Shaanxi University of Science and Technology, Xi’an, China, June 2009. [Google Scholar]
- Guo, H.W.; Wang, X.F.; Gong, Y.X. Non-isothermal crystallization kinetics of Bi2O3-SiO2 System Glass. J. Chin. Ceram. Soc. 2010, 9, 245–249. [Google Scholar]
- Tian, T.L.; Zhang, Y.Z.; Long, Y. Kinetic analysis of non-isothermal crystallization of blast furnace slag fiber. Trans. Mater. Heat Treat. 2016, 37, 237–240. [Google Scholar]
- Sharma, K.; Deo, M.N.; Kothiyal, G.P. Effect of iron oxide addition on structural properties of calcium silico phosphate glass/glass-ceramics. J. Non-Cryst. Solids 2012, 358, 1886–1891. [Google Scholar] [CrossRef]
- Chen, W.C.; Zhang, X.Y. Crystallization of Penglai basalt cast stone. J. Chin. Ceram. Soc. 1982, 10, 454–461. [Google Scholar]
- Huang, L.H.; Hu, Y.F.; Yao, L. Study on the mechanism of Fe2O3 affecting crystallization and magnetic properties of tailings glass-ceramics. China Ceram. 2018, 54, 28–33. [Google Scholar]
- Du, Y.S.; Yang, X.W.; Zhang, H.X.; Chen, H.; Li, B.W. Effect of Fe2O3 on crystallization and fracture characteristics of CaO-Al2O3-MgO-SiO2 glass-ceramics. J.Synth. Cryst. 2016, 45, 2472–2477. [Google Scholar]
- Lonnroth, N.; Yue, Y.Z. Structural order and crystallization of an iron-rich aluminosilicate liquid under oxidizing condition. J. Non-Cryst. Solids 2008, 354, 1190–1193. [Google Scholar] [CrossRef]
- Bai, Z.M.; Deng, Y.X. Physical Chemistry of Silicate; Chemical Industry Press: Beijing, China, 2017; pp. 219–220. [Google Scholar]
- Si, W.; Ding, C. An Investigation on crystallization property, thermodynamics and kinetics of Wollastonite glass ceramics crystallization characteristics, thermodynamics and kinetics of wollastonite glass-ceramics. J. Cent. South Univ. 2018, 25, 1888–1894. [Google Scholar] [CrossRef]








| Raw Materials | Chemical Components, wt% | |||||||
|---|---|---|---|---|---|---|---|---|
| SiO2 | Al2O3 | TFe | CaO | MgO | Na2O + K2O | TiO2 | Others | |
| Basalt | 49.87 | 15.11 | 13.61 | 9.34 | 3.91 | 3.46 | 1.97 | 2.73 |
| Pyrophyllite | 68.58 | 22.82 | - | - | - | 0.35 | - | 8.25 |
| Diopside | 59.15 | 1.96 | 0.25 | 21.50 | 13.10 | 0.40 | 0.89 | 2.75 |
| Calcium carbonate | - | - | - | 55.88 | - | - | - | - |
| Samples | Chemical Composition, wt% | |||||||
|---|---|---|---|---|---|---|---|---|
| SiO2 | Al2O3 | TFe | CaO | MgO | Na2O | K2O | TiO2 | |
| B | 49.87 | 15.11 | 13.61 | 9.34 | 3.91 | 2.40 | 1.06 | 1.97 |
| BG | 50.10 | 15. 28 | 14.01 | 9.44 | 4.09 | 2.51 | 1.21 | 2.12 |
| MBG-1 | 54.32 | 14.27 | 9.62 | 12.17 | 4.25 | 1.54 | 0.98 | 1.62 |
| MBG-2 | 54.90 | 14.50 | 7.62 | 12.60 | 4.80 | 1.25 | 0.96 | 1.83 |
| MBG-3 | 54.65 | 15.83 | 5.72 | 12.42 | 4.98 | 1.35 | 1.01 | 1.93 |
| Samples | Si2O | Al2O3 | TFe | CaO | MgO | Na2O + K2O | TiO2 |
|---|---|---|---|---|---|---|---|
| Basalt (55%) | 27.43 | 8.31 | 7.48 | 5.14 | 2.15 | 1.90 | 1.08 |
| Pyrophyllite (25%) | 17.15 | 5.71 | - | - | - | 0.09 | - |
| Diopside (17%) | 10.06 | 0.33 | 0.04 | 3.66 | 2.23 | 0.07 | 0.15 |
| Calcium carbonate (3%) | - | - | - | 2.99 | - | - | - |
| MBG | 54.64 | 14.35 | 7.52 | 11.79 | 4.38 | 2.06 | 1.23 |
| Samples | Tp/°C | |||
|---|---|---|---|---|
| 10 °C/min | 15 °C/min | 20 °C/min | 25 °C/min | |
| BG | 872 | 877.68 | 891.26 | 906.91 |
| 1089.09 | 1099.57 | 1106.13 | 1113.58 | |
| MBG | 1146.23 | 1150.22 | 1152.75 | 1157.01 |
| Sample | Tx/°C | Tg/°C | ΔT/°C | H’ |
|---|---|---|---|---|
| BG | 843.7 | 698.54 | 145.16 | 0.15 |
| 1059.5 | - | 360.96 | 0.37 | |
| MBG | 1118.88 | 620.67 | 498.21 | 0.56 |
| Sample | E (kJ/mol) | |
|---|---|---|
| BG | 251.91 | 699.14 |
| MBG | 1432.90 | - |
| Sample | n | Average | |||
|---|---|---|---|---|---|
| 10 °C/min | 15 °C/min | 20 °C/min | 25 °C/min | ||
| BG | 1.43 | 1.86 | 1.91 | 2.26 | 1.87 |
| 1.28 | 1.35 | 1.44 | 1.55 | 1.41 | |
| MBG | 1.01 | 0.62 | 0.44 | 0.44 | 0.63 |
| Element | Atomic% | ||||||||||||
|---|---|---|---|---|---|---|---|---|---|---|---|---|---|
| ① | ② | ③ | ④ | ⑤ | ⑥ | ⑦ | ⑧ | ⑨ | ⑩ | ⑪ | ⑫ | ⑬ | |
| O | 30.96 | 57.21 | 60.02 | 40.07 | 48.44 | 60.94 | 62.36 | 57.64 | 54.36 | 59.68 | 53.17 | 56.24 | 52.43 |
| Mg | 1.91 | / | / | / | / | / | / | 12.09 | 12.72 | 10.17 | 15.48 | 16.95 | 14.70 |
| Al | / | / | / | 13.99 | 9.51 | 9.86 | / | 4.08 | 4.65 | 3.96 | / | / | / |
| Si | 17.19 | / | 31.13 | 31.07 | 29.21 | / | / | / | / | / | / | / | |
| Ca | 49.94 | / | / | 14.81 | 10.98 | / | / | / | / | / | / | / | / |
| Ti | / | / | 6.06 | / | / | / | / | / | / | / | / | / | / |
| Fe | / | 42.79 | 33.92 | / | / | / | 37.64 | 26.19 | 28.28 | 26.18 | 31.35 | 26.80 | 32.84 |
| Element | Atomic% | |
|---|---|---|
| ⑭ | ⑮ | |
| O | 64.25 | 53.70 |
| Mg | 2.29 | / |
| Al | 4.13 | 5.74 |
| Si | 16.33 | 32.51 |
| Ca | 12.99 | 8.05 |
Publisher’s Note: MDPI stays neutral with regard to jurisdictional claims in published maps and institutional affiliations. |
© 2020 by the authors. Licensee MDPI, Basel, Switzerland. This article is an open access article distributed under the terms and conditions of the Creative Commons Attribution (CC BY) license (http://creativecommons.org/licenses/by/4.0/).
Share and Cite
Huo, Y.; Qin, G.; Huo, J.; Zhang, X.; Guo, B.; Zhang, K.; Li, J.; Kang, M.; Zou, Y. Crystallization Kinetics of Modified Basalt Glass. Materials 2020, 13, 5043. https://doi.org/10.3390/ma13215043
Huo Y, Qin G, Huo J, Zhang X, Guo B, Zhang K, Li J, Kang M, Zou Y. Crystallization Kinetics of Modified Basalt Glass. Materials. 2020; 13(21):5043. https://doi.org/10.3390/ma13215043
Chicago/Turabian StyleHuo, Yonglin, Guilu Qin, Jichuan Huo, Xingquan Zhang, Baogang Guo, Kaijun Zhang, Jun Li, Ming Kang, and Yanhui Zou. 2020. "Crystallization Kinetics of Modified Basalt Glass" Materials 13, no. 21: 5043. https://doi.org/10.3390/ma13215043
APA StyleHuo, Y., Qin, G., Huo, J., Zhang, X., Guo, B., Zhang, K., Li, J., Kang, M., & Zou, Y. (2020). Crystallization Kinetics of Modified Basalt Glass. Materials, 13(21), 5043. https://doi.org/10.3390/ma13215043
