Corrosion Characteristics of Rolling Oil on the Rolled Copper Foil
Abstract
1. Introduction
2. Experimental
2.1. Corrosion Test
2.2. Corrosion Products Analysis
3. Results and Discussion
3.1. Corrosion Rate
3.2. Corrosion Products Analysis
3.3. Corrosion Mechanism
4. Conclusions
Author Contributions
Funding
Conflicts of Interest
References
- Lee, C.-Y.; Moon, W.-C.; Jung, S.-B. Surface finishes of rolled copper foil for flexible printed circuit board. Mater. Sci. Eng. A 2008, 483, 723–726. [Google Scholar] [CrossRef]
- Zaraska, L.; Sulka, G.D.; Jaskuła, M. Fabrication of free-standing copper foils covered with highly-ordered copper nanowire arrays. Appl. Surf. Sci. 2012, 258, 7781–7786. [Google Scholar] [CrossRef]
- Sun, J.; Liu, N.; Xia, L.; Wu, D. Research of oil film thickness model and surface quality in cold rolling copper foil. Lubr. Sci. 2013, 26, 95–106. [Google Scholar] [CrossRef]
- Xia, L.; Long, J.; Zhao, Y.; Wu, Z.; Dai, Z.; Wang, L. Molecular Dynamics Simulation on the Aggregation of Lubricant Oxidation Products. Tribol. Lett. 2018, 66, 104. [Google Scholar] [CrossRef]
- Yeh, A.-C.; Huang, C.-C.; Hsiao, C.-C. An Effective Anti-Discoloration Coating for Copper. Mater. Trans. 2011, 52, 268–270. [Google Scholar] [CrossRef]
- Zhang, X.; Wang, Y.; Yao, W.; Sun, J.; Wang, Y. Development and Lubricating Properties of Rolling Oil for Stainless Steel Cold Rolling. China Pet. Process. Pet. 2011, 13, 60–67. [Google Scholar]
- Duan, Q.; Lan, X.; Huang, Z.; Chen, Z. Study on anti-wear additive and hot rolling oil from bio-material. Acta Petrol Sinica (Pet. Process. Sect.) 2015, 31, 583–588. [Google Scholar]
- Xiong, S.; Sun, J. Effect of oil additive containing nitrogen and phosphorus on tribology performance and wear behavior of copper foil during rolling. Chin. J. Nonferrous Met. 2014, 24, 2352–2359. [Google Scholar]
- Choo, J.-H.; Forrest, A.K.; Spikes, H. Influence of Organic Friction Modifier on Liquid Slip: A New Mechanism of Organic Friction Modifier Action. Tribol. Lett. 2007, 27, 239–244. [Google Scholar] [CrossRef]
- Xia, L.; Sun, J.; Zeng, Y.; Zhang, M.; Duan, Q. Research on the Relationship between Molecular Activity of Additives and Lubricating Performance of Aluminum Rolling Oil. China Pet. Process. Pet. 2013, 15, 13–18. [Google Scholar]
- Mangolini, F.; Rossi, A.; Spencer, N.D. Influence of metallic and oxidized iron/steel on the reactivity of triphenyl phosphorothionate in oil solution. Tribol. Int. 2011, 44, 670–683. [Google Scholar] [CrossRef]
- Shen, J.; Cheng, J.; Jiang, H.; Li, J. Study on the relationship between extreme pressure properties and component contents of high pressured sulfurized isobutylene. Ind. Lubr. Tribol. 2018, 70, 527–531. [Google Scholar] [CrossRef]
- Malinovskii, G.T.; Lebedev, É.V.; Temnenko, V.P.; Maskaev, A.K.; Zalesskaya, A.G. Mutual effects of sulfur-, chlorine-, and phosphorus-containing additives on the antiwear and extreme-pressure properties of oil formulations. Chem. Technol. Fuels Oils 1979, 15, 660–661. [Google Scholar] [CrossRef]
- Xu, X.; Hu, J.-Q.; Xie, F.; Guo, L.; Ma, J.; Yang, S.-Z. The Synergistic Antiwear Performances of Organic Titanium Compounds Containing Sulfur with Borate Ester Additive. J. Spectrosc. 2018, 2018, 1–9. [Google Scholar] [CrossRef]
- Zhang, Y.; Zeng, X.; Wu, H.; Li, Z.; Ren, T.; Zhao, Y. The Tribological Chemistry of a Novel Borate Ester Additive and Its Interaction with ZDDP Using XANES and XPS. Tribol. Lett. 2014, 53, 533–542. [Google Scholar] [CrossRef]
- Xiong, S.; Sun, J.; Yan, X.; Xu, Y. Inhibition effect of azole derivate on corrosion activity of copper in rolling oil. Surf. Interface Anal. 2015, 48, 88–98. [Google Scholar] [CrossRef]
- Xiong, S.; Sun, J.; Xu, Y.; Yan, X. Adsorption behavior of tautomeric forms of 2-aminino-5-mercato-1,3,4–thiadizole as corrosion inhibitor on copper surface. Anti-Corrosion Methods Mater. 2016, 63, 452–460. [Google Scholar] [CrossRef]
- Khaled, K.; Fadl-Allah, S.A.; Hammouti, B. Some benzotriazole derivatives as corrosion inhibitors for copper in acidic medium: Experimental and quantum chemical molecular dynamics approach. Mater. Chem. Phys. 2009, 117, 148–155. [Google Scholar] [CrossRef]
- Khaled, K.; Amin, M.A. Dry and wet lab studies for some benzotriazole derivatives as possible corrosion inhibitors for copper in 1.0M HNO3. Corros. Sci. 2009, 51, 2098–2106. [Google Scholar] [CrossRef]
- Xia, L.; Li, Y.; Ma, L.; Zhang, H.; Li, N.; Jiang, Z. Li Influence of O2 on the Erosion-Corrosion Performance of 3Cr Steels in CO2 Containing Environment. Materials 2020, 13, 791. [Google Scholar] [CrossRef]
- Khadom, A.A.; Yaro, A.S.; Kadum, A.A.H.; Altaie, A.S.; Musa, A.Y. The Effect of Temperature and Acid Concentration on Corrosion of Low Carbon Steel in Hydrochloric Acid Media. Am. J. Appl. Sci. 2009, 6, 1403–1409. [Google Scholar] [CrossRef]
- Ismail, A.; Adan, N.H. Effect of Oxygen Concentration on Corrosion Rate of Carbon Steel in Seawater. Am. J. Eng. Res. 2014, 3, 64–67. [Google Scholar]
- Timmer, A.; Mönig, H.; Uphoff, M.; Arado, O.D.; Amirjalayer, S.; Fuchs, H.; Moenig, H. Site-Specific Adsorption of Aromatic Molecules on a Metal/Metal Oxide Phase Boundary. Nano Lett. 2018, 18, 4123–4129. [Google Scholar] [CrossRef] [PubMed]
- Martin, B.; Gerrit, T.; Thorsten, B.; Sabrina, R.; Oliver, D.; Natasha, S. The effect of HF-HNO3 chemical polishing on the surface roughness and fatigue life of laser powder bed fusion produced Ti6Al4V. Mater. Today Commun. 2020, 25, 101396. [Google Scholar]
- Al-Kheraif, A.A.A. The effect of mechanical and chemical polishing techniques on the surface roughness of heat-polymerized and visible light-polymerized acrylic denture base resins. Saudi Dent. J. 2014, 26, 56–62. [Google Scholar] [CrossRef]
- Tsai, T.-H.; Yen, S.-C. Localized corrosion effects and modifications of acidic and alkaline slurries on copper chemical mechanical polishing. Appl. Surf. Sci. 2003, 210, 190–205. [Google Scholar] [CrossRef]
- Sharma, S.P. Reaction of Copper and Copper Oxide with H2S. J. Electrochem. Soc. 1980, 127, 21–26. [Google Scholar] [CrossRef]
- Duan, Y.Y. Inhibition of copper corrosion by surface modification. Ph.D Thesis, University of Western Sydney Nepean, Sydney, Australia, January 1995. [Google Scholar]
- Sherif, E.; Park, S.-M. 2-Amino-5-ethyl-1,3,4-thiadiazole as a corrosion inhibitor for copper in 3.0% NaCl solutions. Corros. Sci. 2006, 48, 4065–4079. [Google Scholar] [CrossRef]
- Antonijević, M.M.; Milić, S.M.; Petrović, M.B. Films formed on copper surface in chloride media in the presence of azoles. Corros. Sci. 2009, 51, 1228–1237. [Google Scholar] [CrossRef]
- Rumble, J.R.; Bickham, D.M.; Powell, C.J. The NIST X-ray photoelectron spectroscopy database. Surf. Interface Anal. 1992, 19, 241–246. [Google Scholar] [CrossRef]








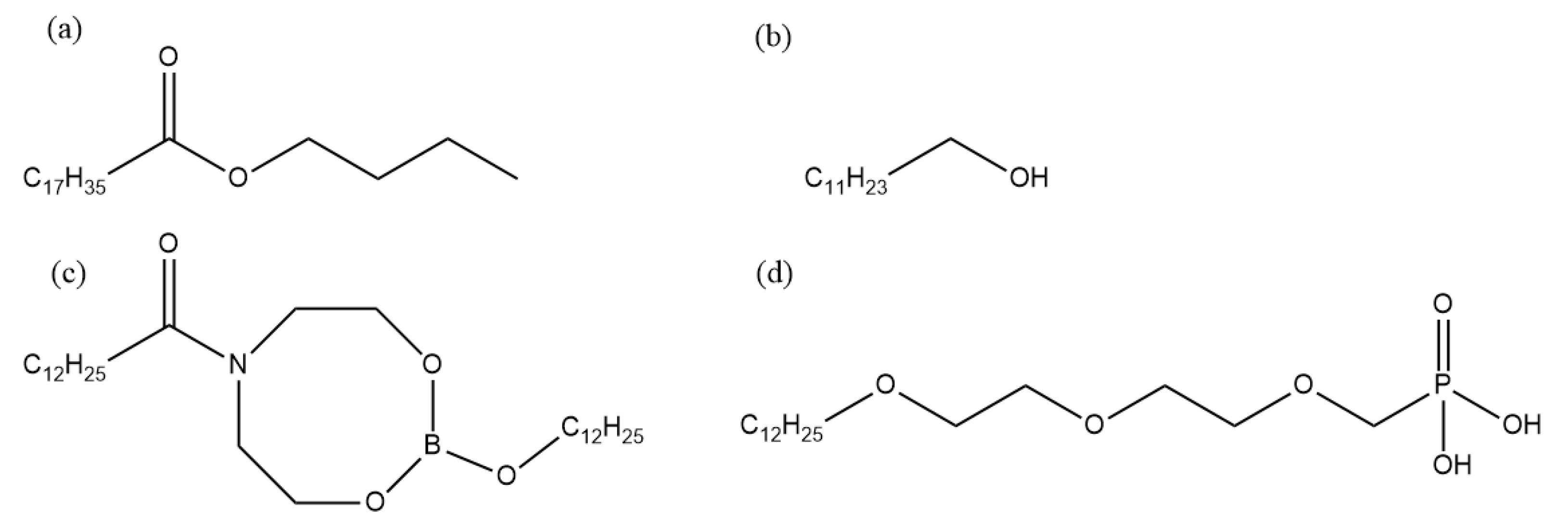
| Conditions | Base Stock/g | Dodecanol/g | Butyl Stearate/g | Nitrogen-Containing Borate/g | Phosphate/g |
|---|---|---|---|---|---|
| A | 95.5 | 1.0 | 1.5 | 0.5 | 1.5 |
| B | 95.5 | – | – | – | – |
| C | 95.5 | 1.0 | – | – | – |
| D | 95.5 | – | 1.5 | – | – |
| E | 95.5 | – | – | 0.5 | – |
| F | 95.5 | – | – | – | 1.5 |
| Number | Content/Error | Cu | C | O | B | N |
|---|---|---|---|---|---|---|
| a | Content/wt % | 99.38 | 0.62 | – | – | – |
| Error/wt % | 4.6 | 0.4 | – | – | – | |
| b | Content/wt % | 100 | – | – | – | – |
| Error/wt % | 4.7 | – | – | – | – | |
| c | Content/wt % | 98.04 | 1.96 | – | – | – |
| Error/wt % | 4.4 | 0.8 | – | – | – | |
| d | Content/wt % | 98.32 | 1.68 | – | – | – |
| Error/wt % | 4.6 | 0.7 | – | – | – | |
| e | Content/wt % | 98.45 | 1.55 | – | – | – |
| Error/wt % | 4.5 | 0.7 | – | – | – | |
| f | Content/wt % | 98.17 | 1.83 | – | – | – |
| Error/wt % | 4.4 | 0.8 | – | – | – | |
| g | Content/wt % | 98.33 | 1.67 | – | – | – |
| Error/wt % | 4.7 | 0.7 | – | – | – | |
| h | Content/wt % | 98.28 | 1.72 | – | – | – |
| Error/wt % | 4.5 | 0.7 | – | – | – | |
| i | Content/wt % | 81.75 | 9.77 | 2.73 | 5.26 | 0.49 |
| Error/wt % | 3.7 | 2.6 | 0.7 | 2.3 | 0.3 | |
| j | Content/wt % | 85.06 | 7.96 | 6.98 | – | – |
| Error/wt % | 3.6 | 2.4 | 1.7 | – | – | |
| k | Content/wt % | 98.22 | 1.78 | – | – | – |
| Error/wt % | 4.4 | 0.8 | – | – | – | |
| l | Content/wt % | 98.16 | 1.84 | – | – | – |
| Error/wt % | 4.4 | 0.8 | – | – | – | |
| m | Content/wt % | 97.87 | 2.13 | – | – | – |
| Error/wt % | 4.7 | 1.0 | – | – | – | |
| n | Content/wt % | 89.44 | 7.96 | 1.77 | – | 0.83 |
| Error/wt % | 4.2 | 2.1 | 0.4 | – | 0.5 | |
| o | Content/wt % | 91.55 | 6.16 | 2.29 | – | – |
| Error/wt % | 4.1 | 1.7 | 0.7 | – | – | |
| p | Content/wt % | 95.43 | 4.57 | – | – | – |
| Error/wt % | 4.4 | 1.2 | – | – | – |
Publisher’s Note: MDPI stays neutral with regard to jurisdictional claims in published maps and institutional affiliations. |
© 2020 by the authors. Licensee MDPI, Basel, Switzerland. This article is an open access article distributed under the terms and conditions of the Creative Commons Attribution (CC BY) license (http://creativecommons.org/licenses/by/4.0/).
Share and Cite
Xia, L.; Li, Y.; Zhao, S.; Xiong, S.; Jiang, Z. Corrosion Characteristics of Rolling Oil on the Rolled Copper Foil. Materials 2020, 13, 4933. https://doi.org/10.3390/ma13214933
Xia L, Li Y, Zhao S, Xiong S, Jiang Z. Corrosion Characteristics of Rolling Oil on the Rolled Copper Foil. Materials. 2020; 13(21):4933. https://doi.org/10.3390/ma13214933
Chicago/Turabian StyleXia, Lei, Yan Li, Shen Zhao, Sang Xiong, and Zhengyi Jiang. 2020. "Corrosion Characteristics of Rolling Oil on the Rolled Copper Foil" Materials 13, no. 21: 4933. https://doi.org/10.3390/ma13214933
APA StyleXia, L., Li, Y., Zhao, S., Xiong, S., & Jiang, Z. (2020). Corrosion Characteristics of Rolling Oil on the Rolled Copper Foil. Materials, 13(21), 4933. https://doi.org/10.3390/ma13214933

