In Situ Growth Behavior of SiC Whiskers with High Aspect Ratio in the Synthesis of ZrB2-SiC Composite Powders
Abstract
1. Introduction
2. Materials and Methods
3. Results and Discussion
3.1. Thermodynamic Calculation
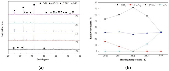
3.2. Phase Composition Evolution of Composite Powders
3.3. Microstructure of ZrB2-SiC Composite Powders with In Situ Grown SiC Whiskers
3.4. Morphology Evolution of SiC Whiskers
3.5. Growth Mechanisms of SiC Whiskers in ZrB2-SiC Composite Powders
- (1)
- Preparation stage. At a low temperature, B2O3 and NaCl melted. They accelerated the decomposition of ZrSiO4 into m-ZrO2 and amorphous SiO2 by promoting the mass transfer of raw materials.
- (2)
- Nucleation stage. Ferrous particles catalyzed Reactions (7) and (8) by increasing the reactivity of SiO2, C, SiO gas, and CO gas, resulting in the nucleation of SiC whiskers at a certain temperature lower than 1573 K. Meanwhile, carbon black with high reactivity was beneficial to the nucleation of ZrB2 grains through Reaction (2). The effect of NaCl molten salt was not evident here because the temperature approached its boiling point.
- (3)
- Growth stage. SiC whiskers grew along <111> on the solid surface of the SiC nucleus through Reaction (8) on the condition of appropriate heating temperature and ferrous catalyst amount. Some SiC nuclei which nucleated on the carbon black particles through Reaction (9) were more likely to grow into SiC nanoparticles. ZrB2 tabular grains continued to nucleate and grow.
4. Conclusions
- (1)
- Phase-pure ZrB2-SiC composite powders were obtained when the molten ratio of raw materials was 0.2:0.5:1:1.5:8.4 (Fe:NaCl:ZrSiO4:B2O3:C) and the heating temperature was 1723 K, in which β-SiC whiskers were single crystalline with a mean diameter of 0.15 μm and aspect ratio of 70–120.
- (2)
- Heating temperature and ferrous catalyst amount obviously influenced the phase composition and microstructure of ZrB2-SiC composite powders, especially for the morphology of SiC whiskers. With increasing heating temperature (1523–1723 K) and molar ratio of Fe to ZrSiO4 (0:1 to 0.2:1), the aspect ratio of SiC whiskers increased significantly while the relative content of SiC phase changed little, and the relative content of ZrB2 phase increased continuously. Excess ferrous catalysts resulted in the formation of ZrC phase and serious grain agglomeration at 1723 K.
- (3)
- Molten-salt-assisted iron-catalyzed vapor–solid mechanism was promoted for the growth mechanism of in situ grown SiC whiskers in ZrB2-SiC composite powders. Ferrous catalysts played a major role in increasing the reactivity of SiO2, C, SiO gas, and CO gas, further realized by the low temperature nucleation and high aspect ratio of SiC whiskers.
- (1)
- Growth behavior of ZrB2-SiC composite powders with different molar ratios of ZrO2 to SiO2;
- (2)
- Evaluation of toughening effects of in situ grown SiC whiskers on ZrB2-SiC composite ceramics, as well as the corresponding toughening mechanisms.
Author Contributions
Funding
Conflicts of Interest
References
- Fahrenholtz, W.G.; Hilmas, G.E.; Talmy, I.G.; Zaykoski, J.A. Refractory diborides of zirconium and hafnium. J. Am. Ceram. Soc. 2007, 90, 1347–1364. [Google Scholar] [CrossRef]
- Fahrenholtz, W.G.; Hilmas, G.E. Ultra-high temperature ceramics: Materials for extreme environments. Scr. Mater. 2017, 129, 94–99. [Google Scholar] [CrossRef]
- Squire, T.H.; Marschall, J. Material property requirements for analysis and design of UHTC components in hypersonic applications. J. Eur. Ceram. Soc. 2010, 3, 2239–2251. [Google Scholar] [CrossRef]
- Guo, S.Q. Densification of ZrB2-based composites and their mechanical and physical properties: A review. J. Eur. Ceram. Soc. 2009, 29, 995–1011. [Google Scholar] [CrossRef]
- Silvestroni, L.; Sciti, D.; Melandri, C.; Guicciardi, S. Toughened ZrB2-based ceramics through SiC whisker or SiC chopped fiber additions. J. Eur. Ceram. Soc. 2010, 30, 2155–2164. [Google Scholar] [CrossRef]
- Sciti, D.; Silvestroni, L. Processing, sintering and oxidation behavior of SiC fibers reinforced ZrB2 composites. J. Eur. Ceram. Soc. 2012, 32, 1933–1940. [Google Scholar] [CrossRef]
- Bai, Y.H.; Sun, M.Y.; Li, M.X.; Fan, S.W.; Cheng, L.F. Improved fracture toughness of laminated ZrB2-SiC-MoSi2 ceramics using SiC whisker. Ceram. Int. 2018, 44, 8890–8897. [Google Scholar] [CrossRef]
- Zimmermann, J.W.; Hilmas, G.E.; Fahrenholtz, W.G.; Monteverde, F.; Bellosi, A. Fabrication and properties of reactively hot pressed ZrB2–SiC ceramics. J. Eur. Ceram. Soc. 2007, 27, 2729–2736. [Google Scholar] [CrossRef]
- Du, S.; Cao, Y.N.; Zhang, Z.C.; Zhang, H.J.; Li, F.L.; Liu, L.L.; Zhang, S.W. Preparation of ZrB2–SiC composite powders by carbothermal reduction of ZrSiO4. J. Chin. Ceram. Soc. 2014, 42, 779–784. [Google Scholar]
- Xie, B.Y.; Ma, L.; Lin, X.; Liu, Y.; Zhang, Y.J.; Gong, H.Y.; Zhang, W.M. Synthesis of ZrB2-SiC powders in one-step reduction process. Ceram. Int. 2018, 44, 19522–19525. [Google Scholar] [CrossRef]
- Li, F.L.; Tan, C.; Liu, J.H.; Wang, J.K.; Jia, Q.L.; Zhang, H.J. Low temperature synthesis of ZrB2-SiC powders by molten salt magnesiothermic reduction and their oxidation resistance. Ceram. Int. 2019, 45, 9611–9617. [Google Scholar] [CrossRef]
- Cao, Y.N.; Zhang, H.J.; Li, F.L.; Lu, L.L.; Zhang, S.W. Preparation and characterization of ultrafine ZrB2–SiC composite powders by a combined sol–gel and microwave boro-carbothermal reduction method. Ceram. Int. 2015, 41, 7823–7829. [Google Scholar] [CrossRef]
- He, J.B.; Gao, Y.; Wang, Y.G.; Fang, J.Y.; An, L.A. Synthesis of ZrB2-SiC nano-composite powder via polymeric precursor route. Ceram. Int. 2017, 43, 1602–1607. [Google Scholar] [CrossRef]
- Ryu, H.Y.; Nersisyan, H.H.; Lee, J.H. Preparation of zirconium-based ceramic and composite fine-grained powders. Int. J. Refract. Met. Hard Mater. 2012, 30, 33–138. [Google Scholar] [CrossRef]
- Lin, Y.H.; Liu, J.H.; Song, S.L.; Liu, J.B.; Bashir, S.; Guo, Y.; Zhen, Q. Microstructure evolution and growth behavior of rod-shaped ZrB2 in situ preparation of ZrB2-SiC composite powders. Ceram. Int. 2019, 45, 4016–4021. [Google Scholar] [CrossRef]
- Zhong, Z.X.; Yan, L.W.; Liu, L.; Xu, B.S. Fabrication of modified ultrahigh-temperature ceramic hybrid powders using in situ grown SiC nanowires. Ceram. Int. 2017, 43, 3462–3464. [Google Scholar] [CrossRef]
- Zhang, J.; Li, W.; Jia, Q.L.; Lin, L.X.; Huang, J.T.; Zhang, S.W. Molten salt assisted synthesis of 3C–SiC nanowire and its photoluminescence properties. Ceram. Int. 2015, 41, 12614–12620. [Google Scholar] [CrossRef]
- Prakash, J.; Venugopalan, R.; Tripathi, B.M.; Ghosh, S.K.; Chakravartty, J.K.; Tyagi, A.K. Chemistry of one dimensional silicon carbide materials: Principle, production, application and future prospects. Prog. Solid State Chem. 2015, 43, 98–122. [Google Scholar] [CrossRef]
- Kaiser, A.; Lobert, M.; Telle, R. Thermal stability of zircon (ZrSiO4). J. Eur. Ceram. Soc. 2008, 28, 2199–2211. [Google Scholar] [CrossRef]
- Krishnarao, R.V. Preparation of ZrB2 and ZrB2-SiC powders in a single step reduction of zircon (ZrSiO4) with B4C. Ceram. Int. 2017, 43, 1205–1209. [Google Scholar] [CrossRef]
- Guo, C.C.; Cheng, L.F.; Ye, F.; Li, Z.C.; Xu, Z.S. Synthesis and characterization of carbon-poor SiC nanowires via vapor-liquid-solid growth mechanism. Ceram. Int. 2019, 45, 6440–6446. [Google Scholar] [CrossRef]
- Wang, J.K.; Zhang, Y.Z.; Li, S.S.; Ge, S.T.; Song, J.B.; Zhang, H.I. Catalytic carbothermal reduction synthesis and mechanism of 3C-SiC from diatomite with Fe as catalyst. Chin. J. Mater. Res. 2018, 32, 767–774. [Google Scholar]
- Khanr, A.K.; Pathak, L.C.; Godkhindi, M.M. Carbothermal synthesis of zirconium diboride(ZrB2) whiskers. Adv. Appl. Ceram. 2007, 37, 155–160. [Google Scholar] [CrossRef]
- Wang, J.G.; Huang, S.; Liu, S.; Qing, Z. EBSD characterization of the growth mechanism of SiC synthesized via direct microwave heating. Mater. Charact. 2016, 114, 54–61. [Google Scholar] [CrossRef]
- Hu, P.; Pan, R.Q.; Dong, S.; Jin, K.F.; Zhang, X.H. Several millimeters long SiC–SiOx nanowires synthesized by carbon black and silica sol. Ceram. Int. 2016, 42, 3625–3630. [Google Scholar] [CrossRef]
- Liu, C.Q.; Zhang, L.Y.; Li, X.; Chang, X.J.; Wu, Y.T.; Wang, X.F. Synthesis, characterization, and ceramization of a carbon-rich SiCw-ZrC-ZrB2 preceramic polymer precursor. Ceram. Int. 2019, 45, 16097–16104. [Google Scholar] [CrossRef]
- Hu, P.; Dong, S.; Zhang, D.Y.; Fang, C.; Zhang, X.H. Catalyst-assisted synthesis of core–shell SiC/SiO2 nanowires via a simple method. Ceram. Int. 2016, 42, 1581–1587. [Google Scholar] [CrossRef]
- Wang, D.; Xue, C.; Bai, H.; Jiang, N. Silicon carbide nanowires grown on graphene sheets. Ceram. Int. 2015, 41, 5473–5477. [Google Scholar] [CrossRef]
- Wang, H.F.; Li, H.S.; Zhang, H.J.; Bi, Y.; Liu, J.H.; Zhang, S.W. Nickel-catalyzed preparation of self-bonded SiC refractories with improved microstructure and properties. J. Eur. Ceram. Soc. 2018, 38, 5219–5227. [Google Scholar] [CrossRef]
- Mao, Y.B.; Park, T.J.; Zhang, F.; Zhou, H.J.; Wong, S.S. Environmentally friendly methodologies of nanostructure synthesis. Small 2007, 7, 1122–1139. [Google Scholar] [CrossRef]
- Urretavizcaya, G.; López, P.J.M. Growth of SiC whiskers by VLS process. J. Mater. Res. 1994, 9, 2981–2986. [Google Scholar] [CrossRef]
- Li, X.; Zhang, G.Q.; Tronstad, R.; Ostrovskic, O. Synthesis of SiC whiskers by VLS and VS process. Ceram. Int. 2016, 42, 5668–5676. [Google Scholar] [CrossRef]







| Sample No. | Molar Ratios of Raw Materials | ||||
|---|---|---|---|---|---|
| ZrSiO4 | B2O3 | C | Fe | NaCl | |
| ZS0 | 1 | 1.5 | 8.4 | 0 | 0.5 |
| ZS1 | 1 | 1.5 | 8.4 | 0.1 | 0.5 |
| ZS2 | 1 | 1.5 | 8.4 | 0.2 | 0.5 |
| ZS3 | 1 | 1.5 | 8.4 | 0.3 | 0.5 |
| ZS4 | 1 | 1.5 | 8.4 | 0.4 | 0.5 |
| Reactions | /KJ·mol−1 |
|---|---|
| (2) | |
| (3) | |
| (4) | |
| (5) | |
| (6) |
| Sample No. | n(Fe):n(ZrSiO4) | Temperature/K | Morphology Parameters | ||
|---|---|---|---|---|---|
| Shape | Mean Diameter/μm | Aspect Ratio | |||
| Z2 | 0.2:1 | 1623 K | straight whisker | 0.15 | 20–40 |
| Z0 | 0:1 | 1723 K | straight whisker | 0.1–0.3 | 20–40 |
| Z1 | 0.1:1 | 1723 K | straight whisker | 0.15 | 40–50 |
| Z2 | 0.2:1 | 1723 K | straight whisker | 0.15 | 70–120 |
| Z3 | 0.3:1 | 1723 K | bent whisker | 0.3 | 5–10 |
| Z4 | 0.4:1 | 1723 K | short rod | 0.3 | <5 |
© 2020 by the authors. Licensee MDPI, Basel, Switzerland. This article is an open access article distributed under the terms and conditions of the Creative Commons Attribution (CC BY) license (http://creativecommons.org/licenses/by/4.0/).
Share and Cite
Lian, X.; Hua, X.; Wang, X.; Deng, L. In Situ Growth Behavior of SiC Whiskers with High Aspect Ratio in the Synthesis of ZrB2-SiC Composite Powders. Materials 2020, 13, 3502. https://doi.org/10.3390/ma13163502
Lian X, Hua X, Wang X, Deng L. In Situ Growth Behavior of SiC Whiskers with High Aspect Ratio in the Synthesis of ZrB2-SiC Composite Powders. Materials. 2020; 13(16):3502. https://doi.org/10.3390/ma13163502
Chicago/Turabian StyleLian, Xiaoqing, Xiaohu Hua, Xiaogang Wang, and Lirong Deng. 2020. "In Situ Growth Behavior of SiC Whiskers with High Aspect Ratio in the Synthesis of ZrB2-SiC Composite Powders" Materials 13, no. 16: 3502. https://doi.org/10.3390/ma13163502
APA StyleLian, X., Hua, X., Wang, X., & Deng, L. (2020). In Situ Growth Behavior of SiC Whiskers with High Aspect Ratio in the Synthesis of ZrB2-SiC Composite Powders. Materials, 13(16), 3502. https://doi.org/10.3390/ma13163502
