The Crystallization Mechanism of Zr-Based Bulk Metallic Glass during Electron Beam Remelting
Abstract
1. Introduction
2. Materials and Methods
3. Results
Microstructures of the EB Remelted Zr-Based BMG
4. Discussion
5. Conclusions
- (1)
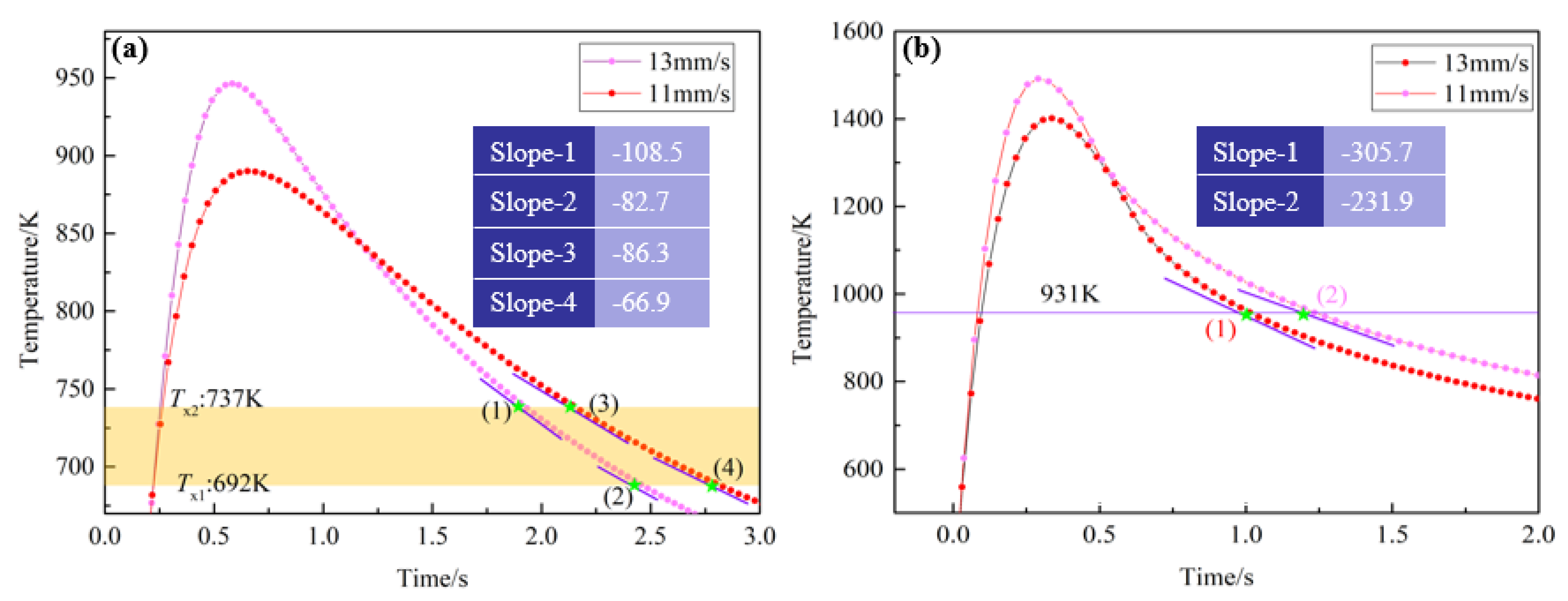
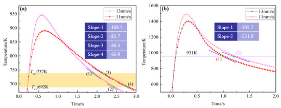
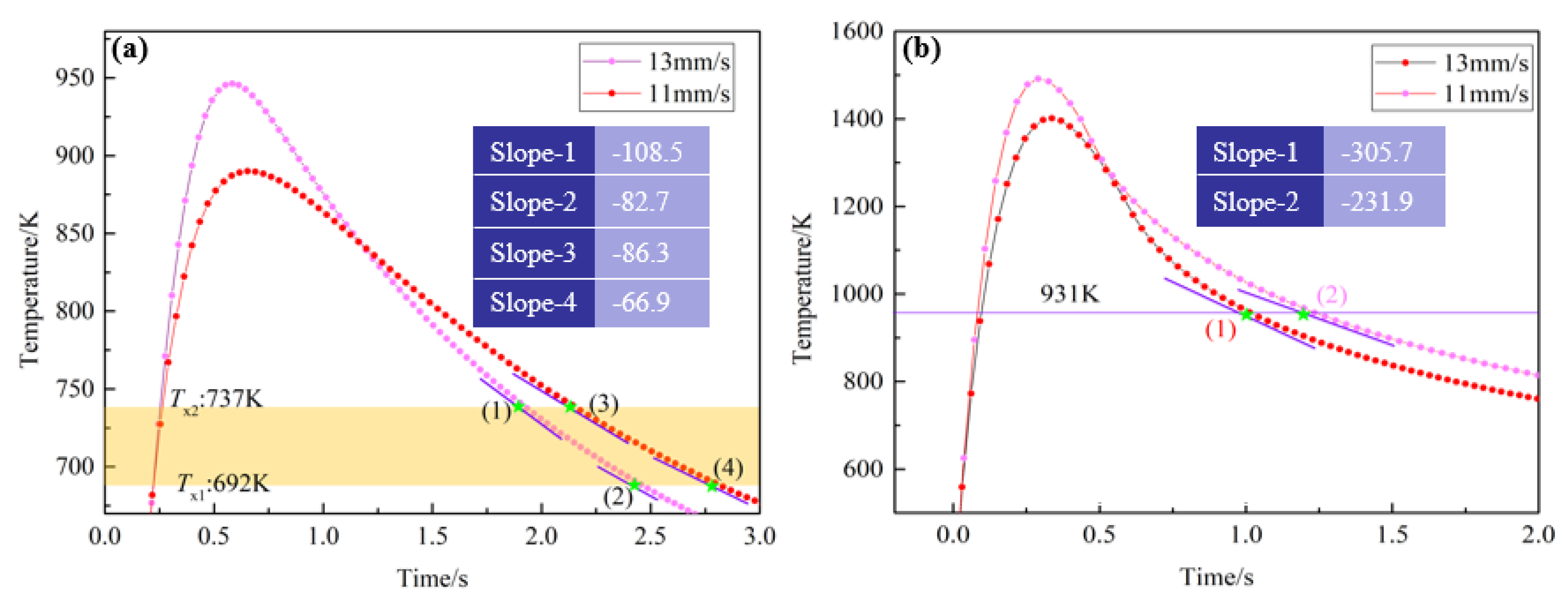
- The Zr41.2Ti13.8Cu12.5Ni10Be22.5 in the HAZ undergoes severe crystallization, while the Zr41.2Ti13.8Cu12.5Ni10Be22.5 in the RZ keeps its amorphous state after the remelting process. The crystallized phase was verified as (Ti, Zr)2(Cu, Ni);
- (2)
- The critical heating or cooling rate of Zr41.2Ti13.8Cu12.5Ni10Be22.5 to avoid crystallization by solid–solid phase transformation was 218 K/s. The critical cooling rate to avoid crystallization by liquid-solid phase transition was calculated as 1.2 K/s;
- (3)
- The heating rates at Tx in the HAZ are faster than the critical heating rate (218 K/s), while the cooling rates at Tx in the HAZ are lower than critical cooling rate. The HAZ crystallized during the cooling process. The cooling rate around the melting point is faster than the calculated critical cooling rate (1.2 K/s). The Zr-based BMGs in the RZ keep their amorphous state after the remelting process.
Author Contributions
Funding
Conflicts of Interest
References
- Telford, M. The case for bulk metallic glass. Mater. Today 2004, 7, 36–43. [Google Scholar] [CrossRef]
- Gong, P.; Zhao, S.; Wang, X. Non-isothermal crystallization kinetics and glass-forming ability of Ti41Zr25Be28Fe6 bulk metallic glass investigated by differential scanning calorimetry. Appl. Phys. A 2015, 120, 145–153. [Google Scholar] [CrossRef]
- Bizhanova, G.; Li, F.W.; Ma, Y.F. Development and crystallization kinetics of novel near-equiatomic high-entropy bulk metallic glasses. J. Alloy. Compd. 2019, 779, 474–486. [Google Scholar] [CrossRef]
- Shen, Y.; Li, Y.; Tsai, H.L. Effect of pre-existing nuclei on crystallization during laser welding of Zr-based metallic glass. J. Non Cryst. Solids 2019, 513, 55–63. [Google Scholar] [CrossRef]
- Yokoyama, Y.; Abe, N.; Fukaura, K. Electron-beam welding of Zr50Cu30Ni10Al10 bulk glassy alloys. Mater. Sci. Eng. A 2004, 375, 422–426. [Google Scholar] [CrossRef]
- Kawahito, Y.; Terajima, T.; Kimura, H. High-power fiber laser welding and its application to metallic glass Zr55Al10Ni5Cu30. Mater. Sci. Eng. B 2008, 148, 105–109. [Google Scholar] [CrossRef]
- Mousavian, R.T.; JZavašnik, H.A. Development of BMG-B2 nanocomposite structure in HAZ during laser surface processing of ZrCuNiAlTi bulk metallic glasses. Appl. Surf. Sci. 2019, 505, 144535. [Google Scholar] [CrossRef]
- Sung, H.H.; Jeong, T.K.; Sang, C.M. Influence of spherical particles and interfacial stress distribution on viscous flow behavior of Ti-Cu-Ni-Zr-Sn bulk metallic glass composites. Intermetallics 2017, 91, 90–94. [Google Scholar]
- Peng, Q.; Xie, Y.; Zhu, B. Joining mechanism of bulk metallic glasses in their supercooled liquid region. J. Mater. Process Tech. 2020, 279, 116–123. [Google Scholar] [CrossRef]
- Wang, G.; Huang, Y.; Cao, W. Microstructure and crystallization mechanism of Ti-based bulk metallic glass by electron beam welding. J. Manuf. Process 2018, 32, 93–99. [Google Scholar] [CrossRef]
- Wang, H.S.; Li, T.H.; Chen, H.G. Microstructural evolution and properties of laser spot-welded ZrAlCoTa bulk metallic glass under various initial welding temperatures. Intermetallics 2019, 108, 39–44. [Google Scholar] [CrossRef]
- Pilarczyk, W. Structure and properties of Zr-based bulk metallic glasses in as-cast state and after laser welding. Materials 2018, 11, 1117. [Google Scholar] [CrossRef] [PubMed]
- Xue, P.; Pauly, S.; Gan, W.M. Enhanced tensile plasticity of a CuZr-based bulk metallic glass composite induced by ion irradiation. J. Mater. Sci. Technol. 2019, 35, 2221–2226. [Google Scholar] [CrossRef]
- Sun, H.; Ning, Z.; Ren, J. Serration and shear avalanches in a ZrCu based bulk metallic glass composite in different loading methods. J. Mater. Sci. Technol. 2019, 35, 2079–2085. [Google Scholar] [CrossRef]
- Zhang, B.G.; Zhao, J.; Li, X.P. Effects of filler wire on residual stress in electron beam welded QCr0. 8 copper alloy to 304 stainless steel joints. Appl. Therm. Eng. 2015, 80, 261–268. [Google Scholar] [CrossRef]
- Wang, T.; Li, X.; Zhang, Y. Regulating the interfacial morphology of electron beam welded pure Ti/2024Al dissimilar joint. J. Mater. Process. Technol. 2017, 245, 227–231. [Google Scholar] [CrossRef]
- Yamasaki, M.; Kagao, S.; Kawamura, Y. Thermal diffusivity and conductivity of supercooled liquid in Zr 41 Ti 14 Cu 12 Ni 10 Be 23 metallic glass. Appl. Phys. Lett. 2004, 84, 4653–4655. [Google Scholar] [CrossRef]
- Schroers, J.; Busch, R.; Johnson, W.L. Crystallization of Zr41Ti14Cu12Ni10Be23 Melts. J. Meta. Nanocrys. Mater. 2000, 8, 167–172. [Google Scholar]
- Li, Y.; Ng, S.C.; Ong, C.K. Glass forming ability of bulk glass forming alloys. Scripta. Mater. 1997, 36, 11–15. [Google Scholar] [CrossRef]
- Kissinger, H.E. Reaction kinetics in differential thermal analysis. Anal. Chem. 1957, 29, 1702–1706. [Google Scholar] [CrossRef]
- Barandiaran, J.M.; Colmenero, J. Continuous cooling approximation for the formation of a glass. J. Non Cryst. Solids 1981, 46, 277–287. [Google Scholar] [CrossRef]










| Heating or Cooling Rate (B/(K/min)) | Specific Temperature | |
|---|---|---|
| Crystallization Temperature in during Heating Process (Tx/K) | Crystallization Temperature in during Cooling Process (Txc/K) | |
| 10 | 692.05 | 931.57 |
| 20 | 704.16 | 927.95 |
| 30 | 715.54 | 925.88 |
| 40 | 723.68 | / |
| 50 | 737.35 | 919.70 |
| Heating Rate (B/(K/min)) | Crystallization Temperature in during Heating Process (Tx/K) | Heating Time (t/s) |
|---|---|---|
| 10 | 692.05 | 2400 |
| 20 | 704.16 | 1236 |
| 30 | 715.54 | 848 |
| 40 | 723.68 | 648 |
| 50 | 737.35 | 533 |
© 2020 by the authors. Licensee MDPI, Basel, Switzerland. This article is an open access article distributed under the terms and conditions of the Creative Commons Attribution (CC BY) license (http://creativecommons.org/licenses/by/4.0/).
Share and Cite
Li, X.; Zhang, Z.; Yang, Y.; Fan, J.; Kong, J.; Wang, K. The Crystallization Mechanism of Zr-Based Bulk Metallic Glass during Electron Beam Remelting. Materials 2020, 13, 3488. https://doi.org/10.3390/ma13163488
Li X, Zhang Z, Yang Y, Fan J, Kong J, Wang K. The Crystallization Mechanism of Zr-Based Bulk Metallic Glass during Electron Beam Remelting. Materials. 2020; 13(16):3488. https://doi.org/10.3390/ma13163488
Chicago/Turabian StyleLi, Xiaopeng, Zeyu Zhang, Yi Yang, Jikang Fan, Jian Kong, and Kehong Wang. 2020. "The Crystallization Mechanism of Zr-Based Bulk Metallic Glass during Electron Beam Remelting" Materials 13, no. 16: 3488. https://doi.org/10.3390/ma13163488
APA StyleLi, X., Zhang, Z., Yang, Y., Fan, J., Kong, J., & Wang, K. (2020). The Crystallization Mechanism of Zr-Based Bulk Metallic Glass during Electron Beam Remelting. Materials, 13(16), 3488. https://doi.org/10.3390/ma13163488
