Manufacturing of Mg-Ti Couples at Different Heat Treatment Temperatures and Their Corrosion Behavior in Chloride Solutions
Abstract
1. Introduction
2. Materials and Methods
2.1. Fabrication of Magnesium-Titanium Couples
2.2. Coating Cu on Mg and Ti Alloy
2.3. Coupling Mg-Ti Samples
2.4. Chemicals, Materials, and Electrochemical Cell
2.5. Weight-Loss, pH, and Electrochemical Experiments
2.6. Surface Examinations
3. Results and Discussion
3.1. OCP Curves
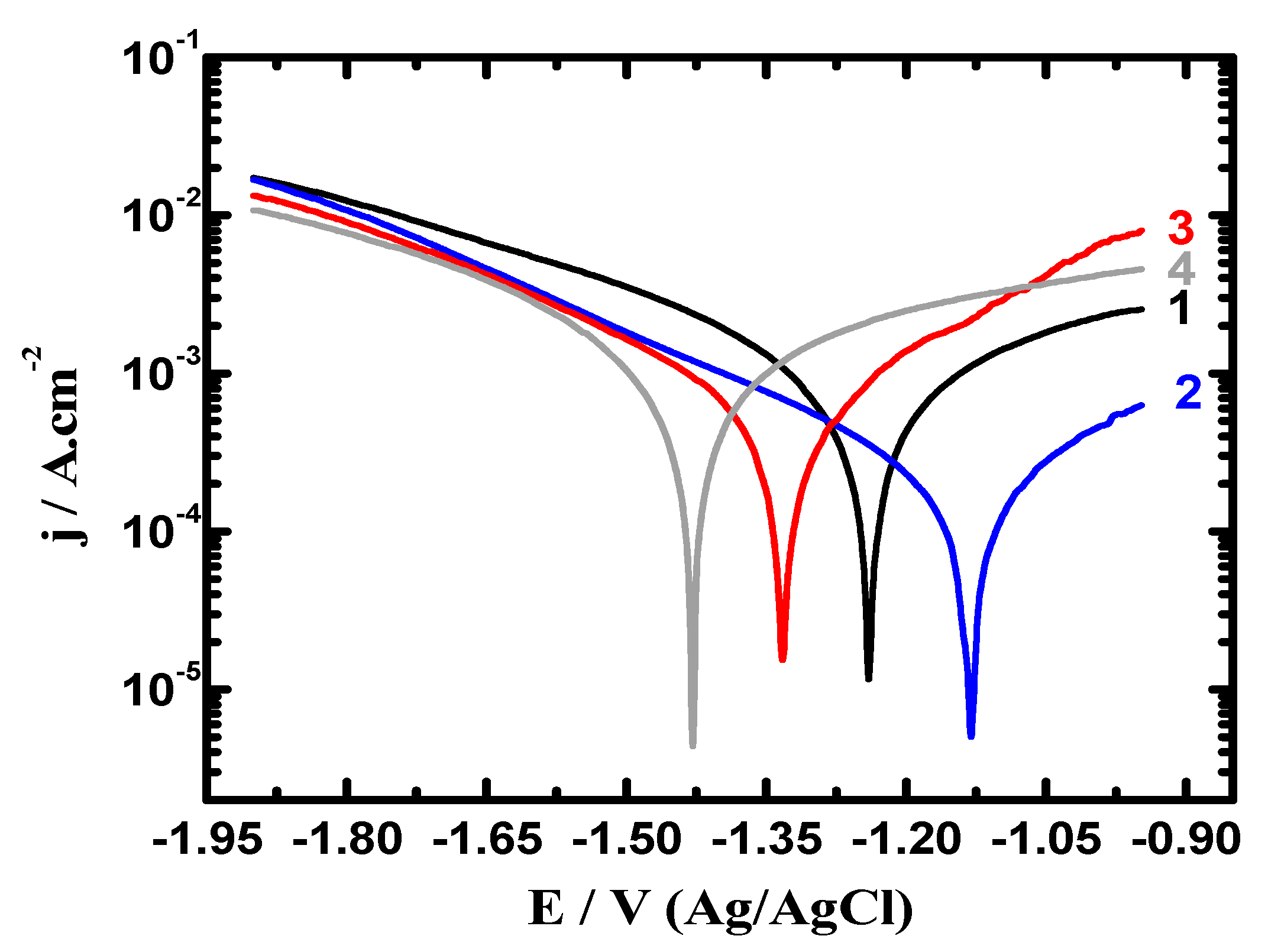
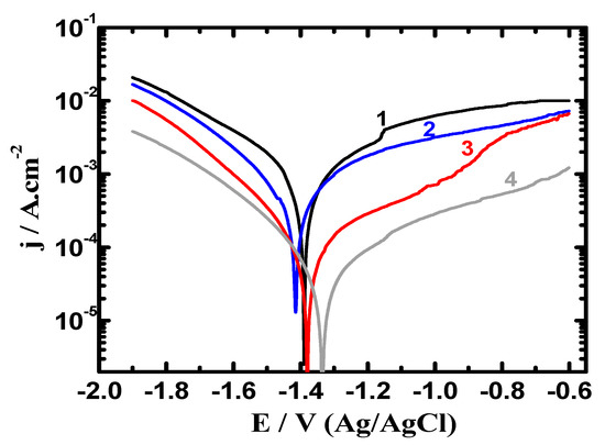
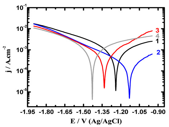
3.2. Polarization Data
3.3. EIS Measurements
3.4. Weight-Loss, pH, SEM Images, and EDX Investigations
4. Conclusions
Author Contributions
Funding
Acknowledgments
Conflicts of Interest
References
- Kainer, K.U.; Kaiser, F. (Eds.) Magnesium Alloys and Technology; Wiley-VCH Gmb: Weinheim, UK, 2003. [Google Scholar]
- Oktay, G.; Urgen, M. Corrosion behaviour of magnesium AZ31 sheet produced by twin roll casting. Corros. Eng. Sci. Technol. 2015, 50, 380–389. [Google Scholar] [CrossRef]
- Shashikala, A.R.; Umarani, R.; Mayanna, S.M.; Sharma, A.K. Chemical Conversion Coatings on Magnesium Alloys—A Comparative Study. Int. J. Electrochem. Sci. 2008, 3, 993–1004. [Google Scholar]
- Roberts, C.S. Magnesium and Its Alloys; John Wiley and Sons: New York, NY, USA, 1960. [Google Scholar]
- Friedrich, H.E.; Mordike, M.L. (Eds.) Magnesium Technology; Springer: Berlin/Heidelberg, Germany, 2006. [Google Scholar]
- Emley, E.F. Principles of Magnesium Technology; Pergamon Press: London, UK, 1966. [Google Scholar]
- Sherif, E.-S.M.; Almajid, A.A. Corrosion of Magnesium/Manganese Alloy in Chloride Solutions and its Inhibition by 5-(3-Aminophenyl)-tetrazole. Int. J. Electrochem. Sci. 2011, 6, 2131–2148. [Google Scholar]
- Jang, Y.; Owuor, D.; Waterman, J.T.; White, L.; Collins, B.; Sanak, J.; Gilbert, T.W.; Yun, Y. Effect of Mucin and Bicarbonate Ion on Corrosion Behavior of AZ31 Magnesium Alloy for Airway Stents. Materials 2014, 7, 5866–5882. [Google Scholar] [CrossRef]
- Chino, Y.; Hoshika, T.; Mabuchi, M. Mechanical and Corrosion Properties of AZ31 Magnesium Alloy Repeatedly Recycled by Hot Extrusion. Mater. Trans. 2006, 47, 1040–1046. [Google Scholar] [CrossRef]
- Cao, X.; Jahazi, M.; Immarigeon, J.P.; Wallace, W. A review of laser welding techniques for magnesium alloy. J. Mater. Process. Technol. 2006, 171, 188–204. [Google Scholar] [CrossRef]
- Hakamada, M.; Furuta, T.; Chino, Y.; Chen, Y.Q.; Kusuda, H.; Mabuchi, M. Life cycle inventory study on magnesium alloy substitution in vehicles. Energy 2007, 32, 1352–1360. [Google Scholar] [CrossRef]
- AlHazaa, A.N.; Sherif, E.-S.M.; Abdo, H.S. Galvanic corrosion in 3.5 wt. % NaCl solutions of magnesium alloy AZ31 coupled with Ni after different bonding periods of time. Int. J. Electrochem. Sci. 2015, 10, 5420–5433. [Google Scholar]
- Feliu, S., Jr.; Maffiotte, C.; Samaniego, A.; Galván, J.C.; Barranco, V. Effect of naturally formed oxide films and other variables in the early stages of Mg-alloy corrosion in NaCl solution. Electrochim. Acta 2011, 56, 4554–4565. [Google Scholar] [CrossRef]
- Sherif, E.-S.M. Effects of 5-(3-Aminophenyl)-tetrazole as a Corrosion Inhibitor on the Corrosion of Mg/Mn alloy in Arabian Gulf Water. Int. J. Electrochem. Sci. 2011, 6, 5372–5387. [Google Scholar]
- Staiger, M.P.; Pietak, A.M.; Huadmai, J.; Dias, G. Magnesium and its alloys as orthopedic biomaterials: A review. Biomaterials 2006, 27, 1728–1734. [Google Scholar] [CrossRef] [PubMed]
- Blawert, C.; Hort, N.; Kainer, K.U. Automotive applications of magnesium and its alloys. Trans. Indian Inst. Met. 2004, 57, 397–408. [Google Scholar]
- Veiga, C.; Davim, J.P.; Loureiro, A.J.R. Properties and applications of titanium alloys: A brief review. Rev. Adv. Mater. Sci. 2012, 32, 133–148. [Google Scholar]
- Sherif, E.-S.M. Corrosion Behavior of Magnesium in Naturally Aerated Stagnant Seawater and 3.5% Sodium Chloride Solutions. Int. J. Electrochem. Sci. 2012, 7, 4235–4249. [Google Scholar]
- Cimpoeşu, N.; Săndulache, F.; Istrate, B.; Cimpoeşu, R.; Zegan, G. Electrochemical Behavior of Biodegradable FeMnSi–MgCa Alloy. Metals 2018, 8, 541. [Google Scholar] [CrossRef]
- El-Dahshan, M.E.; Shams El Din, A.M.; Haggag, H.H. Galvanic corrosion in the systems titanium/3 16 L stainless steel/Al brass in Arabian Gulf water. Desalination 2002, 142, 161–169. [Google Scholar] [CrossRef]
- Grosgogeat, B.; Reclaru, L.; Lissac, M.; Dalard, F. Measurement and evaluation of galvanic corrosion between titanium/Ti6A14V implants and dental alloys by electrochemical techniques and auger spectrometry. Biomaterials 1999, 20, 933–941. [Google Scholar] [CrossRef]
- Simões, A.M.; Bastos, A.C.; Ferreira, M.G.; González-García, Y.; González, S.; Souto, R.M. Use of SVET and SECM to study the galvanic corrosion of an iron–zinc cell. Corros. Sci. 2007, 49, 726–739. [Google Scholar] [CrossRef]
- Song, G.; Atrens, A. Corrosion Mechanisms of Magnesium Alloys. Adv. Eng. Mater. 1999, 1, 11–33. [Google Scholar] [CrossRef]
- Parthiban, G.T.; Bharanidharan, K.; Dhayanand, D.; Parthiban, T.; Palaniswamy, N.; Sivan, V. Influence of Sacrificial Cathodic Protection on the Chloride Profile in Concrete. Int. J. Electrochem. Sci. 2008, 3, 1162–1168. [Google Scholar]
- Song, G. Recent Progress in Corrosion and Protection of Magnesium Alloys. Adv. Eng. Mater. 2005, 7, 563–586. [Google Scholar] [CrossRef]
- Sherif, E.M.; Park, S.-M. 2-Amino-5-ethyl-1,3,4-thiadiazole as a corrosion inhibitor for copper in 3.0% NaCl solutions. Corros. Sci. 2006, 48, 4065–4079. [Google Scholar] [CrossRef]
- Sherif, E.-S.M. A Comparative Study on the Effects of 5-(3-Aminophenyl)-tetrazole on the Inhibition of Magnesium Corrosion in Natural Seawater and 3.5 wt.% NaCl Solutions. Int. J. Electrochem. Sci. 2012, 7, 5084–5099. [Google Scholar]
- Öteyaka, M.Ö.; Ghali, E.; Tremblay, R. Corrosion behaviour of AZ and ZA magnesium alloys in alkaline chloride media. Int. J. Corros. 2012, 2012. [Google Scholar] [CrossRef]
- Bender, S.; Goellner, J.; Heyn, A.; Boese, E. Corrosion and corrosion testing of magnesium alloys. Mater. Corros. 2007, 58, 977–982. [Google Scholar] [CrossRef]
- Sherif, E.-S.M.; Abdo, H.S.; Zein El Abedin, S. Corrosion Inhibition of Cast Iron in Arabian Gulf Seawater by Two Different Ionic Liquids. Materials 2015, 8, 3883–3895. [Google Scholar] [CrossRef] [PubMed]
- Sherif, E.M.; Park, S.-M. Inhibition of copper corrosion in 3.0% NaCl solution by N-phenyl-1,4-phenylenediamine. J. Electrochem. Soc. 2005, 152, B428–B433. [Google Scholar] [CrossRef]
- Szklarska-Smialowska, Z. (Ed.) Pitting Corrosion of Metals; NACE International: Houston, TX, USA, 1986. [Google Scholar]
- Bard, A.J.; Parsons, B.; Jordon, J. (Eds.) Standard Potentials in Aqueous Solutions; Dekker: New York, NY, USA, 1985. [Google Scholar]
- Milazzo, G.; Caroli, S.; Sharma, V.K. Tables of Standard Electrode Potentials; Wiley: London, UK, 1978. [Google Scholar]
- Swift, E.H.; Butler, E.A. Quantitative Measurements and Chemical Equilibria; Freeman: New York, NY, USA, 1972. [Google Scholar]




















| Sample | βc/mVdec−1 | ECorr/mV | βa/mVdec−1 | jCorr/µAcm−2 | Rp/Ωcm2 | RCorr/mmpy |
|---|---|---|---|---|---|---|
| AZ31 (1 h) | 160 | −1373 | 165 | 675 | 0.078 | 9.47 |
| Mg-Ti 540 °C (1 h) | 155 | −1400 | 160 | 360 | 0.129 | 5.05 |
| Mg-Ti 570 °C (1 h) | 165 | −1365 | 155 | 75 | 0.572 | 1.05 |
| Mg-Ti 600 °C (1 h) | 170 | −1330 | 140 | 35 | 1.115 | 0.49 |
| AZ31 (48 h) | 165 | −1382 | 130 | 480 | 0.076 | 6.73 |
| Mg-Ti 540 °C (48 h) | 155 | −1420 | 140 | 260 | 0.132 | 3.65 |
| Mg-Ti 570 °C (48 h) | 150 | −1370 | 135 | 62 | 0.535 | 0.87 |
| Mg-Ti 600 °C (48 h) | 145 | −1335 | 130 | 23 | 1.371 | 0.32 |
| Parameter | |||||||
|---|---|---|---|---|---|---|---|
| Solution | RS/Ω cm2 | Q1 | RP1/Ω cm2 | Q2 | RP2/Ω cm2 | ||
| YQ1/µF cm−2 | n | YQ2/µF cm −2 | n | ||||
| AZ31 (1 h) | 9.99 | 0.8198 | 1.00 | 356 | 0.2223 | 0.91 | 1423 |
| Mg-Ti 540 °C (1 h) | 12.43 | 0.5632 | 1.00 | 469 | 0.1996 | 0.89 | 1789 |
| Mg-Ti 570 °C (1 h) | 13.25 | 0.2914 | 1.00 | 655 | 0.1182 | 0.87 | 2964 |
| Mg-Ti 600 °C (1 h) | 15.12 | 0.05196 | 1.00 | 833 | 0.06801 | 0.94 | 3198 |
| AZ31 (48 h) | 12.49 | 0.1556 | 0.89 | 538 | 0.5321 | 0.94 | 669 |
| Mg-Ti 540 °C (48 h) | 21.26 | 0.083 | 0.90 | 732 | 0.4753 | 0.81 | 2125 |
| Mg-Ti 570 °C (48 h) | 16.65 | 0.2604 | 0.80 | 891 | 0.0924 | 0.84 | 2720 |
| Mg-Ti 600 °C (48 h) | 19.78 | 0.021 | 0.92 | 927 | 0.0258 | 087 | 2963 |
© 2019 by the authors. Licensee MDPI, Basel, Switzerland. This article is an open access article distributed under the terms and conditions of the Creative Commons Attribution (CC BY) license (http://creativecommons.org/licenses/by/4.0/).
Share and Cite
Sherif, E.-S.M.; AlHazaa, A.N.; Abdo, H.S. Manufacturing of Mg-Ti Couples at Different Heat Treatment Temperatures and Their Corrosion Behavior in Chloride Solutions. Materials 2019, 12, 1300. https://doi.org/10.3390/ma12081300
Sherif E-SM, AlHazaa AN, Abdo HS. Manufacturing of Mg-Ti Couples at Different Heat Treatment Temperatures and Their Corrosion Behavior in Chloride Solutions. Materials. 2019; 12(8):1300. https://doi.org/10.3390/ma12081300
Chicago/Turabian StyleSherif, El-Sayed M., Abdulaziz N. AlHazaa, and Hany S. Abdo. 2019. "Manufacturing of Mg-Ti Couples at Different Heat Treatment Temperatures and Their Corrosion Behavior in Chloride Solutions" Materials 12, no. 8: 1300. https://doi.org/10.3390/ma12081300
APA StyleSherif, E.-S. M., AlHazaa, A. N., & Abdo, H. S. (2019). Manufacturing of Mg-Ti Couples at Different Heat Treatment Temperatures and Their Corrosion Behavior in Chloride Solutions. Materials, 12(8), 1300. https://doi.org/10.3390/ma12081300
